![]() |
|
||||
BiographyJakob Michl was born in Freistadt, Austria, in 1993. He received his MSc degree in Physics from the University of Vienna in 2018. He joined the Institute for Microelectronics in January 2019, where he is currently working on his doctoral degree. |
|||||
Device Reliability at Cryogenic Temperatures
Electronic devices and circuits that operate reliably at cryogenic temperatures below 4.2 K are crucial for various applications in astronomy, high-performance computing or in quantum computers. Especially in the case of the latter, when it comes to scaling up single qubits to complex systems, it is necessary to integrate the control interface directly in the cryostat in order to reduce signal distortion and thermal noise. The integration of the control interface on the same semiconductor chip as the qubits would therefore solve wiring problems, which are - due to clock time issues - currently one of the main difficulties. Interestingly, for advanced complementary metal oxide semiconductor technologies that are being considered for such control interfaces, outstanding characteristics in terms of on-state current, leakage-current subthreshold swing or transconductance have been reported when operated at cryogenic temperatures. However, the explanation of this observed behavior is not trivial. The most significant difference, which might explain the difference in device behavior at room temperature, are effects due to quantum confinement, which play an important role at cryogenic temperatures. Furthermore, suitable physical models for describing the electrostatics also have to account for incomplete ionization in device simulations, an effect that can be neglected at room temperature for Si technology.
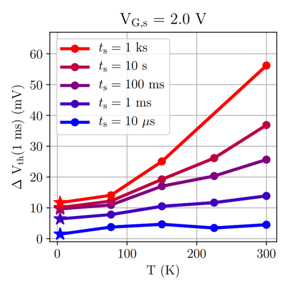
Since the main characteristics (i.e. increasing threshold voltage, sub-threshold slope saturation and increasing on-resistance) change at cryogenic temperatures, it would seem obvious that device reliability will also behave differently at these temperatures. For the experimental exploration of device reliability issues, the extended measure-stress-measure (eMSM) measurement scheme can be used. By repeatedly applying a stress voltage followed by a recovery voltage for successively longer stress and recovery times, it is possible to extract the degradation of the threshold voltage of devices by using their initial IdVg characteristics for mapping. The recorded traces are then modeled through our reliability simulator, Comphy, which allows one to accurately extrapolate the device lifetime, which is a crucial parameter in the evaluation of the long-term stability of a device under various operating conditions.
In the classical limit, Comphy explains device degradation by using classical nonradiative multi-phonon (NMP) theory. According to this theory, overall device degradation is computed as the superposition of the contribution of many traps. Each trap can capture and emit a charge by exciting phonons and can in this way contribute to the degradation of the device. Using this model at cryogenic temperatures, a freeze-out of charge transitions would be predicted, which is in contradiction to measurement results that clearly demonstrate significant bias temperature instability (BTI) degradation even down to 4.2 K. It is therefore necessary to use a quantum mechanical model that includes vibrational tunneling and does not rely on approximations that are only valid in the classical limit for the computation of charge transition rates. In this model, overlapping wave functions allow for the tunneling of carriers through a barrier, which in the classical limit would be much too large, and it thereby prevents charge transitions from freezing out. Since the computation of the full quantum mechanical picture is computationally expensive, too expensive in fact for degradation simulations, a Wentzel-Kramers-Brillouin (WKB) approximation can be used to explain the vibrational tunneling.
So far, the quantum mechanical model, including vibrational tunneling, a WKB-like approximation for this model and a quantum confinement model for the computation of the surface potential have been included in the simulator Comphy. Further models will be included in the near future to explain different effects that become dominant at low temperatures.
Fig. 1: EMSM measurements show that BTI does not freeze out at low temperatures, which cannot be explained using the NMP theory in the classical limit. To explain the threshold voltage degradation, it is then necessary to extend the model through the inclusion of vibrational tunneling mechanisms.
Fig. 2: Vibrational tunneling allows charge transitions below the classical intersection point and prevents charge transitions from freezing out.
Fig. 3: By computing charge transitions using vibrational wave functions, the transition rate (proportional to xi) becomes temperature independent at low temperatures. This prevents charge transitions from freezing out.



