![]() |
|
||||
BiographyD.Sc. Dr. Mihail Nedjalkov, born in Sofia, Bulgaria received the Master degree in semiconductor physics at the Sofia University "Kl. Ohridski", a Ph.D. (Dr.) degree in Physics (1990), Habilitation (2001) and Doctor of Science (D.Sc.) degree in Mathematics (2011) at the Bulgarian Academy of Sciences (BAS). He is Associate Professor with the Institute of Information and Communication Technologies, BAS. He held visiting research positions at the University of Modena (1994), University of Frankfurt (1998), Arizona State University (2004) and mainly at the Institute for Microelectronics, TU Wien, supported by the following European and Austrian projects: EC Project NANOTCAD (2000-03),"Österreichische Forschungsgemeinschaft MOEL 239 and 173 (2007-08), FWF (Austrian Science Fund) P13333-TEC (1998-99), P21685-N22 (2010-2014), P27214-N27(2017- date), START (2005-06), P-21685 (2009-2014), EC-FP7 Project SUPERTHEME and the current H2020 Project SUPERAID7. He has served as a lecturer at the 2004 International School of Physics 'Enrico Fermi', Varenna, Italy, and has over 200 publications as a first or second author, among them one book and 35 book contributions. His research interests include physics and modeling of classical and quantum carrier transport in semiconductor materials, devices and nanostructures, collective phenomena, theory and application of stochastic methods. |
|||||
Wigner Particle Concepts Applied to Spatially Varying Magnetic Fields
Modern patterning technologies are able to manufacture structures with electromagnetic properties that spatially vary on the nanoscale (e.g. magnetic super-lattices, wires and impurities). These spatial variations produce novel transport phenomena, such as edge states, charge carrier tunneling through magnetic barriers and snake states rectification. The typical approach to describing these physical phenomena is to apply stationary Schroedinger theory and then to analyze the corresponding eigenfunctions and energy spectra. Processes focusing on open inhomogeneous electromagnetic systems and high frequency transients equire an evolution-based description, however, which can be provided by the Wigner formalism.
Wigner mechanics is usually formulated for electrostatic conditions. The formalism enshrines many classical concepts that were leveraged in order to develop the Wigner signed particle model, which provides a computationally efficient heuristic description of quantum phenomena. This open source model has been implemented in the Institute's simulator, ViennaWD.
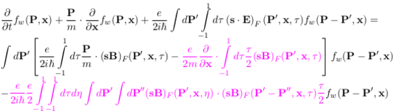
As a next step, the simulator will be extended to handle electromagnetic problems. However, the existing electromagnetic Wigner theories either rely on the assumption of a particular gauge or are implicitly formulated in terms of pseudo-differential operators, which hampers numerical implementation. Recently, we derived a gauge-invariant Wigner electron transport equation for general electromagnetic fields that exhibits promising numerical features. For homogeneous magnetic conditions, electron dynamics are governed by the local Lorentz force. In this case, a moderate modification of the signed particle method grants ViennaWD magnetic field "awareness". For inhomogeneous magnetic conditions, however, the equation becomes non-local. Integral terms with kernels containing the magnetic field appear.
The simulator ViennaWD needs to be generalized to become relevant for non-local electron dynamics. Novel concepts and notions that go beyond the current signed particle model are of ultimate importance in order to incorporate non-local magnetic effects. The development of a Wigner-based electromagnetic (EM) model relies on numerical Monte Carlo theory as applied to Fredholm integral equations of the second kind. This model will be integrated into ViennaWD and used to simulate and analyze electron transport in magnetic quantum wires, quantum Hall systems and Aharonov-Bohm (AB) rings.
The EM Wigner formalism provides an alternative perspective on the role of force and potential fields in quantum mechanics. Since the time of D. Bohm and R. Feynman, there has been an evergreen debate on this subject, highlighting the fundamental importance of the problem. The central argument is that while the fundamental equations of the classical evolution can be expressed in terms of fields, the canonical formalism of the wave quantum mechanics involves potentials, which cannot be eliminated from the basic equations. Indeed, in an AB type of experiment, an electron is affected by the magnetic environment even if no classical magnetic force acts in the region of the electron's evolution. Only the vector potential is non-zero there and hence becomes the primary quantity. From the point of view of Wigner mechanics, however, we observe that the equation can be equally well written in terms of EM potentials and EM fields. Such an analysis will provide heuristic insights into the problem.
Fig. 1: The gauge-invariant Wigner equation for general electromagnetic fields. Terms in magenta account for the spatial dependence of the magnetic field and introduce quantum non-locality.



