![]() |
|
||||
BiographyAng Feng was born and raised in Guizhou, China. He specialized in materials physics and chemistry and received his master’s degree from the University of Chinese Academy of Sciences. In May 2022, he earned his Ph.D. in physics from Ghent University for his thesis on charge trapping/detrapping in luminescent materials. Since January 2023 he has been with the Institute for Microelectronics as a postdoctoral researcher, where he focuses on the reliability of SiC MOSFETs. |
|||||
Revealing Trap Parameters in Luminescent Materials
While defects are known to cause degradation in semiconductor devices, they can also have technological benefits. For instance, the presence of defects in glow-in-the-dark materials can cause them to emit light continuously for several hours after being optically stimulated, a phenomenon known as persistent luminescence. This property makes these materials promising for various applications, including bio-imaging, drug delivery, and radiation therapy, due to the potential for precise targeting and accurate dosing. The persistent luminescence profiles, which show the luminance as a function of time after optical excitation, depend on the properties of the involved traps, such as their energy levels, concentration, and recombination rates. Therefore, developing a method for extracting trap properties is essential for designing and optimizing glow-in-the-dark materials.
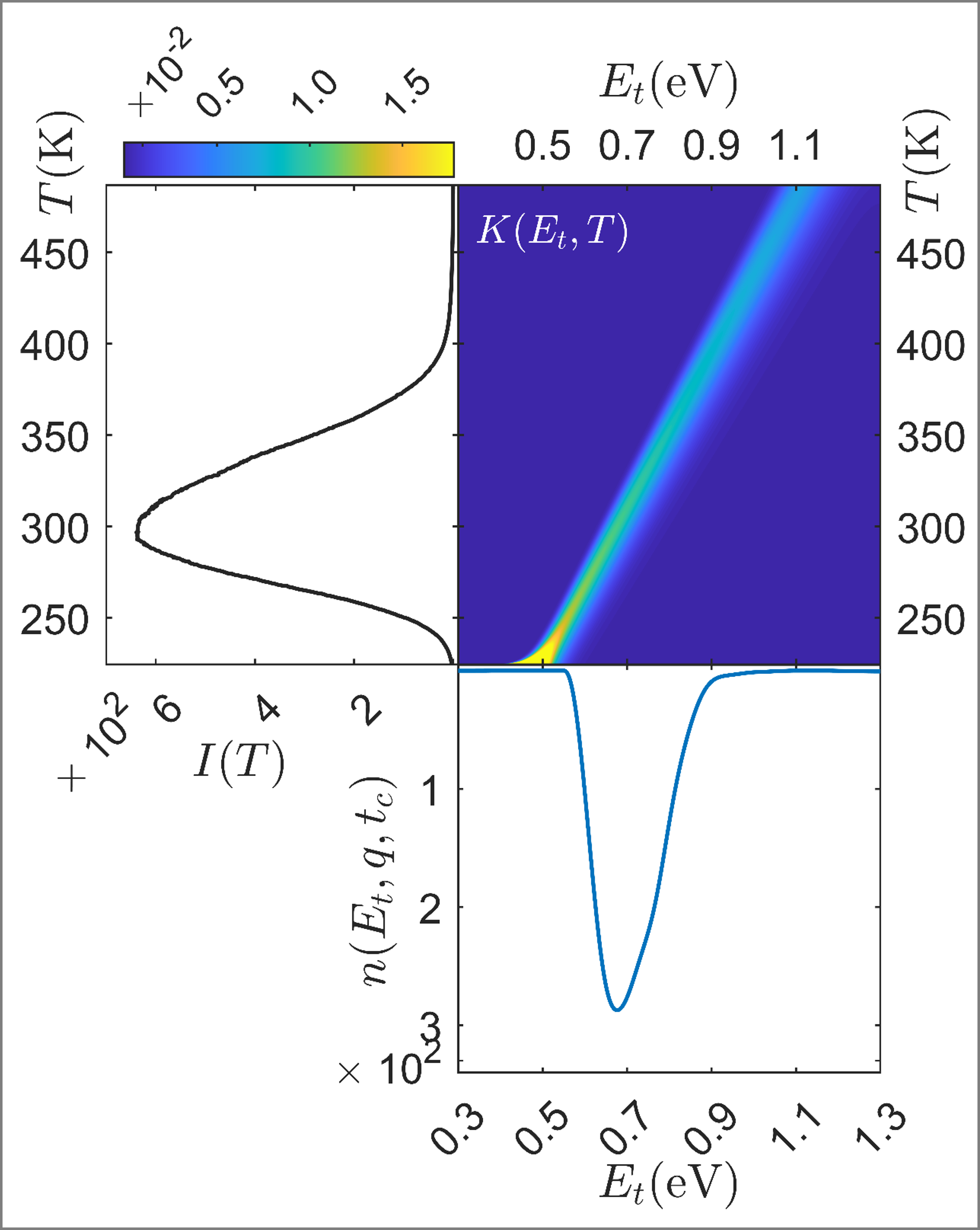
We have developed a method to extract trap properties in glow-in-the-dark materials. In our experimental setup, we optically excite the materials at different temperatures, but with the same irradiance and duration of excitation. At the same time, the glow curves are collected while the materials are heated to elevated temperatures at a fixed rate, as illustrated in Fig. 1. The glow curves, or persistent luminescence profiles, are actually the rates of recombination of holes with electrons which are trapped at defect sites. Using a numerical method called Tikhonov regularization, we convert these glow curves into the distribution of charges in the traps, as shown in Fig. 2. By removing the thermal barrier in charging using a different numerical method, we can finally extract the trap properties by two additional numerical methods. The trap properties include the distribution of trap energy levels and the pre-exponential factor for recombination, as depicted in Fig. 3. The pre-exponential factor can be obtained by analyzing the glow curve and persistent luminescence under the same excitation condition.
By allowing to characterize the properties of the traps, this method provides a powerful tool for the optimization of luminescence profiles and the discovery of new materials by identifying new types of traps. In short, this work is a step forward in the field of developing superior luminescent materials for modern technology applications.
Fig. 1: The protocol of optically exciting the glow-in-the-dark materials. To collect a glow curve, the material is illuminated by ultraviolet (UV) light at a fixed irradiance and temperature Tch for a fixed duration tch. Next, the temperature is lowered linearly to T0 within time tc. The material is then heated to an elevated temperature Tmax (e.g., 220°C), at a fixed heating rate (e.g., 0.5 K/s), while the luminance is recorded. To obtain the trap parameters, a set of glow curves is required, where the temperature Tch varies linearly from Tch0 to Tchm with a step of 5 K.
Fig. 2: Tikhonov regularization. A single glow curve I(T) can be converted into the distribution of charges n(Et, q, tc) in the traps via the Tikhonov regularization method, given the pre-exponential factor v.
Fig. 3: Methods of extracting trap parameters. The distribution of trap levels can be extracted from glow curves by two numerical methods. The pre-exponential factor v can be obtained by regularization which handles glow curves and persistent luminescence profiles at the same time.



