![]() |
|
Biography
Al-Moatasem El-Sayed was born in Sheffield, United Kingdom in 1988. He completed his Masters in chemistry at the University of Manchester in 2010. He went on to do his Ph.D in physics at University College, London, focussing on atomistic modeling of point defects in oxides. He then joined the Institute of Microelectronics in June 2015, his current research interests are modeling of point defects in oxides and their effect on electronic devices.
Atomistic Modeling of Defects in Semiconductor Oxides
Computer simulations are an invaluable tool to help us understand and improve electronic devices. Due to the extraordinarily small dimensions of modern electronic devices, their properties can be affected by small changes in the system at an atomic level. We therefore focus on using atomistic simulations of materials to calculate relevant properties for electronic device issues. In particular, my research uses state-of-the-art density functional theory codes to identify relevant point defects and their mechanisms in semiconductors and oxides.
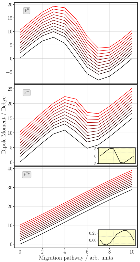
Recent work has revolved around the effect of an electric field on defect processes in oxides. Typically, atomistic calculations are made at zero temperature and zero field conditions, which is in stark contrast to the relatively high electric fields regularly experienced by the material during an electronic device's operation. Results from calculations made under zero field suggest that electric fields play an extremely important role and can even spontaneously dissociate bonds in oxides. These results are based on a parameter known as the effective dipole moment, which has so far been calculated using a number of methods that extend the dipole moment concept from molecules to the solid state.
Our recent work employs a new definition of the effective dipole moment, however, which is calculated from the bulk polarization obtained from the Berry phase of the Bloch states. This definition gives the effective dipole moment a solid grounding in solid state physics as opposed to extending atomic and molecular concepts. Using this effective dipole moment, we can study defect processes in materials such as magnesium oxide and silicon dioxide. We have found that for many processes in the literature, the calculated effective dipole moments far exceeded those obtained from the Berry phase polarization. As a result, new mechanisms have been explored to explain the experimental effective dipole moments.
Fig. 1: The effect of an electric field on vacancy migration in MgO. Clearly, the effect of the electric field is much stronger for the charged vacancies.
Fig. 2: The change in the Berry phase dipole moment with applied field.




