5.2.1 Fusing Structure

A typical structure of a fuse consisting of various interconnect materials is shown in Figure 5.11, where the complex material composition is presented. To use interconnect materials only is advantageous because additional costs due to extra layers, masks, and process steps can be minimized by using already available materials and process steps. Moreover, in terms of power and area consumption, fuses which are made of already available interconnect materials are economically more attractive compared to hybrid technologies [340] which have to use different materials and thus additional process steps.

Figure 5.11: Sketch of a fusing device showing the variety of materials included.


The fusing structure consists of two aluminum pads with a dual-layer rod in between, which is forseen to melt during programming. The programming is performed by sending a current pulse through the fuse at an appropriate bias, resulting in an opening of the polycrystalline silicon film in the dual-layer rod due to thermal second-breakdown. The transition takes place when parts of the polycrystalline silicon layer reach the melting point. The molten silicon is transported from the negatively biased side to the positively biased side through the drift of ions [341]. However, before the polySi is completely molten, an electromigration process starts which accelerates the thinning of the rod and therefore the heating and the melting [89].

Because the downscaling process demands also decreased supply voltages, a careful design is required which includes a rigorous optimization of the fusing structure to ensure the reliability of the programming mechanism [342] and to minimize the power consumption during the programming process of the fuse.

Since the fusing mechanism takes place within a very short time (couple of $ 10 $ ns) for an ideal voltage step and several micro seconds for a voltage ramp measurements are hard to obtain [90].

A better insight into the electrical and thermal characteristics is desired for the materials used in the fusing structure as shown in Figure 5.11. In particular, the goal of the parameter extraction is the characteristics of the temperature dependence of the thermal and the electrical conductivity of the key materials polySi and the polycide ( $ \mathrm{WSi}_x$ ). In order to obtain reasonable results from the simulation accurate information about of the test circuit for the fusing device is required [47].

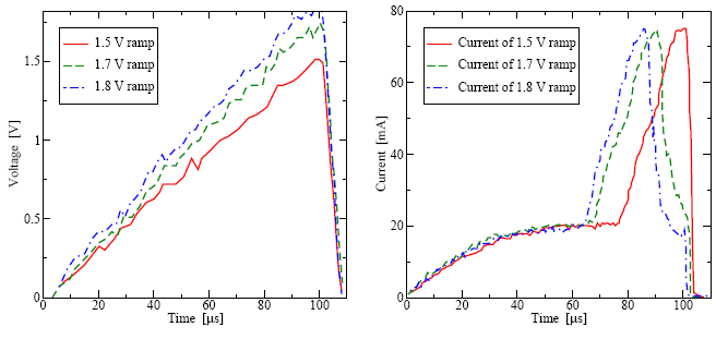
Because the measurement of the programming mechanism has to be carried out within a certain amount of nanoseconds, the programming is artificially prolongated to a couple of microseconds for the fusing time by applying a voltage ramp with a rising period of $ 100 \mu$ s. This procedure allows to measure the fusing current with reasonable accuracy. The corresponding measurement set up is shown in Figure 5.12, where a voltage ramp is applied to a buffer amplifier to minimize the influence (impedance) of the function generator and to provide a high slew rate. The resulting measurements are shown in Figure 5.13. These measurements serve as reference data for the parameter identification procedure.

Figure 5.12: Schematic of the test circuit for the poly crystalline fuse.

At the beginning of the applied voltage ramp (cf. Figure 5.13), the corresponding current shows a non-linear behavior due to the self-heating of the fuse. After a certain time, the structure has been heat up and the current rapidly increases to an externally constraint value which is given by the parasitics of the fuse, the test circuit, and the external measurement equipment. This is the point where the conductivity models used in the simulator will fail. The goal is to predict the thermal evolution of the electrical and thermal conductivity as well as the internal temperature until this point.
Figure 5.13: The different voltage ramps and the corresponding fusing currents.


Stefan Holzer 2007-11-19