next up previous contents
Next: 6.2 Documentation and Training Up: 6. Industrial Application of Previous: 6. Industrial Application of


6.1 Transfer of Semiconductor Diffusion and Oxidation Process Recipes Between 4" and 8" Wafer Fabrication Facilities

TCAD has found to be very useful in reducing the risks of semiconductor process flow transfer between different fabrication facilities [154]. When transferring diffusion or oxidation process recipes from one type of equipment (e.g. 4" diffusion furnace) to another type of equipment (e.g. 8" diffusion furnace), it is generally not possible to copy the diffusion recipe without modifications. Especially, the temperature ramp rates for 8" diffusion recipes are usually significantly slower than for 4" equipment. The main reason for this difference is the different mechanical stability of 8'' and 4'' wafers. A plastic deformation of the 8'' wafers called ``Furnace Slip'' is occurring during high temperature processing, if the temperature ramp rates are too steep [155]. A table of maximum allowable temperature ramp rates for a vertical 8'' furnace is given in Table 6.1.

Table 6.1: Maximum allowable temperature ramp rates for vertical 8'' furnaces
Temperature Ramp-Up Temperature Ramp-Down
Range Rate Range Rate
$ 750 ^\circ C$ - $ 1000 ^\circ C$ $ 7 ^\circ C$/min $ 1200 ^\circ C$ - $ 1150 ^\circ C$ $ 1 ^\circ C$/min
$ 1000 ^\circ C$ - $ 1100 ^\circ C$ $ 3 ^\circ C$/min $ 1150 ^\circ C$ - $ 1100 ^\circ C$ $ 2 ^\circ C$/min
$ 1100 ^\circ C$ - $ 1150 ^\circ C$ $ 2 ^\circ C$/min $ 1100 ^\circ C$ - $ 1000 ^\circ C$ $ 3 ^\circ C$/min
$ 1150 ^\circ C$ - $ 1200 ^\circ C$ $ 1 ^\circ C$/min $ 1000 ^\circ C$ - $ 750 ^\circ C$ $ 3 ^\circ C$/min


Although, because of this constraint, the recipes might differ significantly, the impact on the wafer has to be nearly identical for 4" and 8" equipment. Thus optimization of the diffusion recipes is needed in order to make the differences in dopant distribution and oxide thickness between 4" and 8" recipes as small as possible.
The following procedure was followed to optimize the 8'' recipes:
  1. The original 4'' recipe is changed according to the new maximum ramp rates allowed.
  2. The main step contributing mainly to the overall thermal budget is identified.
  3. A score function giving a minimization target for the optimization was defined.
  4. The length of the main program step in the process simulation was varied in an optimization loop until the score function was minimized.
This algorithm was described already in Section 3.4, Figure 3.7. For optimization the framework SIESTA [144] was used. As a score function

$\displaystyle \int_0^{x_{max}} \vert \ln N_{D,4''}(x) - \ln N_{D,8''}(x) \vert dx$ (6.1)

was chosen. $ x$ is the depth measured from the surface into the wafer, $ x_{max}$ is the maximum depth of the process simulation region. $ N_{D,4''}(x)$ is the resulting doping profile from the process simulation of the 4'' recipe. $ N_{D,8''}(x)$ is the resulting doping profile from the process simulation of the 8'' recipe.
In Figure 6.1 the initial and final 8'' doping profile of a typical well diffusion recipe are shown.
Figure 6.1: Doping profile for a 4" diffusion furnace compared to a 8" diffusion furnace before and after optimization
\includegraphics[origin=c,width=1.0\textwidth,clip=true]{figures/4inch_8inch_dopant_profile.rot.ps}
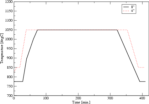
The resulting 8'' diffusion recipe is shown in Figure 6.2 in comparison to the 4'' recipe. The reduced temperature ramp rates of the 8'' recipe can be seen clearly.
Figure 6.2: Graphical comparison between the 4" and 8" diffusion recipe for a typical p-well diffusion
\includegraphics[origin=c,width=1.0\textwidth,clip=true]{figures/4inch_8inch_thermal_profile.rot.ps}
For optimization of doping profiles with junctions (e.g. to the substrate) a different score function, the well depth $ x_j=x(N_d=N_a)$ may be used. As an example a typical n-well diffusion program in a p-type substrate wafer is shown in Figure 6.3
Figure 6.3: Graphical comparison between the 4" and 8" diffusion recipe for a typical n-well diffusion

\includegraphics[origin=cc,width=1.0\textwidth,clip=true]{figures/E2A787_11787.rot.ps}

The resulting junction depths versus diffusion time are shown in Figure 6.4.
Figure 6.4: N-well junction depth over time of annealing step

\includegraphics[origin=cc,width=1.0\textwidth,clip=true]{figures/LOC17800_Optimization_Data.rot.ps}

Since the dependence of the junction depth on the diffusion time was exactly linear in this case, by fitting a linear equation through the simulated points and extracting the resulting annealing time, the 8'' program can be optimized without any optimization loop like in the previous example.


next up previous contents
Next: 6.2 Documentation and Training Up: 6. Industrial Application of Previous: 6. Industrial Application of

R. Minixhofer: Integrating Technology Simulation into the Semiconductor Manufacturing Environment