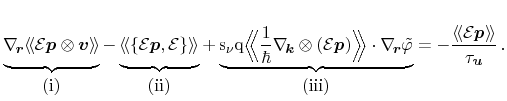
With the weight
, one obtains the energy flux equation
 |
(3.89) |
The first part is straight-forward
 |
(3.90) |
while part (ii) has to be expanded using (A.10). The Poisson bracket
vanishes because of (A.8) as well as the
- term. Thus, the second part becomes
 |
(3.91) |
The derivative in part (iii) has to be expanded using identity (B.6)
 |
(3.92) |
Thus, the equation becomes
 |
(3.93) |
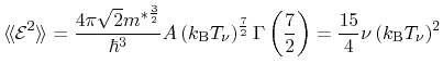
For parabolic bands and a heated, displaced Maxwellian, the average
becomes
 |
(3.94) |
analogously to (3.53). While the parts (i) and (ii) are
straight-forward to handle, the derivative in part (iii) has to be
explicitly expressed which finally also leads to the energy average. Finally,
the mobility definition (3.85) already used in the particle flux
equation is inserted
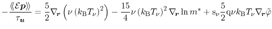
 |
|
|
(3.95) |
 |
|
|
(3.96) |
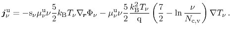
Introducing the electrochemical potential defined in Eqs. (3.60) and (3.62), the
energy flux equation becomes
 |
(3.97) |
M. Wagner: Simulation of Thermoelectric Devices