6.5.1 Temperature Control by Graded Material Alloys

As pointed out in the preceding section, carrier generation plays a dominant role for the device characteristics of pn-junction thermoelectric generators. Since the carrier generation is strongly influenced by the lattice temperature, the zone of high generation rates is limited to the hottest parts of the device.

In order to increase the total generation rate, it is beneficial to maintain high temperatures in relatively large parts of the device. In devices consisting of one pure material, the temperature distribution along the pn-junction is concave due to the decrease of the thermal conductivity with increasing temperatures. This results in a steep temperature gradient at the heated end and thus in low areas of high temperature, there limiting carrier generation.

Engineering of the spatial distribution of thermal conductivity is a possibility to increase the area of high temperatures. The introduction of graded material alloys is one way to achieve exactly this. As pointed out in Fig. 4.3, the thermal conductivity drastically increases in SiGe alloys with increasing germanium content up to about $ 50\,\%$ . A material profile with higher germanium contents at the cooled side of the device yields locally lower thermal conductivities and thus shifts the temperature drop to the cooler end. The behavior can be compared to a potential divider in the electric analogon model.

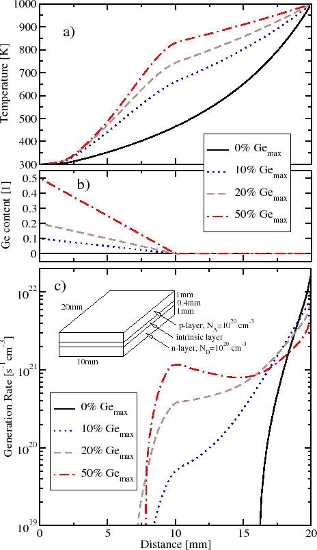
Fig. 6.32 clarifies the situation on the example of a large area pn-junction device. The temperature distribution given in a) results from the assumed spatial distribution of germanium content displayed in b). The concave temperature curve corresponds to pure silicon, whereas an increasing germanium content shifts the temperature distribution more and more to a plateau with a steep gradient at the cooler end. The according spatial distribution of carrier generation rates is presented in c). An enlargement of the area where generation takes place can be identified at already relatively low germanium content. At higher germanium contents, the influence on the temperature profile saturates and the local generation rate is elevated according to the higher temperatures available.

However, besides the high total carrier generation rates, the carriers have to be efficiently transported to the contacts as well. Both doping and geometrical dimensions of the transport layers have to be designed accordingly to avoid recombination at the best. There, geometrically over-sized transport layers also increase the heat flux while the electric properties are not further

Figure 6.32: a) Temperature distribution along the pn-junction caused by the thermal conductivities of different Ge-profiles as shown in b). The generation rate shown in c) is exponentially dependent on the temperature, thus the material composition is used to increase the generation rate.
\includegraphics[width=10cm]{figures/simulation/temps.eps}

improved, which results in a decreasing efficiency. Careful analysis of the interrelation of several effects within the device is a basis for efficient device optimization.

The relation of transport layer thicknesses, available temperature difference, and power output is outlined in Fig. 6.33. The dashed line depicts the maximum power output curve for an initially considered device geometry, while the solid line identifies optimized relations with thicker transport layers. Due to the lower internal resistance, the optimum power output curve shifts to lower load resistances as well. Furthermore, the temperature scale along the maximum power output curve shifts to higher values, thus the same thermal environment yields a noticeably improved power output.

The power output dependence on both n- and p-layer thicknesses is illustrated in Fig. 6.34. For too thin layers, carrier transport is the limiting factor to power output due to increased carrier recombination within the relatively cold zones of the device. The optimum is indicated at an asymmetric device with an accordingly thicker p-layer because of the lower hole mobility.

Figure 6.33: Power output for pn-junction thermoelectric generators vs. load resistance for several temperature differences and two layer thicknesses.
\includegraphics[width=10cm]{figures/simulation/output_temp.eps}

Figure 6.34: Influence of the layer thicknesses on the power output of a pn-junction thermoelectric generator.
\includegraphics[width=12cm]{figures/simulation/dataexplorer.eps}

M. Wagner: Simulation of Thermoelectric Devices