6.5.3 Optimization of Device Characteristics

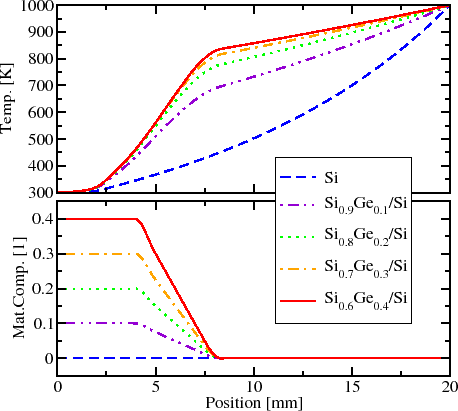
Figure 6.36: Spatial distribution of material composition and temperature for a Ge length of 6mm (Structure 1).
\includegraphics[width=10cm]{figures/simulation/graded_analysis/mat_temp_0p3.eps}

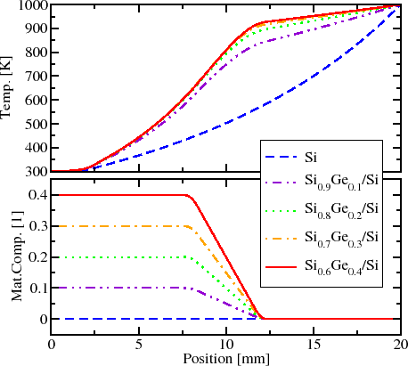
A combination of graded material alloys and suitable trap profiles is a promising approach for optimized devices. In the sequel, a simulation study on different configurations of Si/SiGe structures with spatial variable germanium content are investigated and compared to corresponding structures with constant germanium content throughout the entire device. Furthermore, the influence of additionally introduced traps is demonstrated. The structures under investigation differ in the material composition profile as illustrated in Fig. 6.36, Fig. 6.37, and Fig. 6.38, where the according temperature profiles for increasing germanium content can be found as well. Each of the three structures, which differ in different lengths of their SiGe parts, is analyzed for varied germanium contents and with or without additional traps. Increasing lengths of the SiGe part are indicated by increasing numbers in their designation. The considered trap profiles are adapted to the material profiles, thus a constant trap distribution of $ 10^{17}\,\ensuremath{\mathrm{cm}}^{-3}$ is considered within the silicon segment of the devices.

Figure 6.37: Spatial distribution of material composition and temperature for a Ge length of 10mm (Structure 2).
\includegraphics[width=10cm]{figures/simulation/graded_analysis/mat_temp_0p5.eps}

Figure 6.38: Spatial distribution of material composition and temperature for a Ge length of 13mm (Structure 3).
\includegraphics[width=10cm]{figures/simulation/graded_analysis/mat_temp_0p7.eps}

In the sequel, the influence of germanium content, material composition profile, and additional trap states on electric and thermal device behavior is investigated. Fig. 6.39 depicts the heat flux throughout the structures with respect to the germanium content within the SiGe part. The decreasing thermal conductivity with increasing germanium content of silicon-rich SiGe alloys, as illustrated in Fig. 4.3, leads to decreasing heat fluxes as well. The material composition's influence is diminished by longer silicon segments.

Figure 6.39: Heat flux vs. germanium content for different material composition profiles.
\includegraphics[width=10cm]{figures/simulation/graded_analysis/pn_hf.eps}

Fig. 6.40 illustrates the power output of several structures under investigation. For the homogeneous device, which is depicted by the dotted line, the power output decreases continuously with increasing germanium content due to the detrimental effect of increasing germanium content on the carrier mobility. For the staged structures, two effects can be noticed, whose dominance depend on the germanium content. First, the elevated germanium content results in a shift of the temperature distribution, as indicated in Fig. 6.36, Fig. 6.37, and Fig. 6.38. Thus, the conductive part of the pn-junction is enlarged, which results in higher power output. For further increased germanium content, the decreased mobility becomes the limiting factor, which results in declining power output. Structure 3 (Fig. 6.38) exhibits the highest sensitivity on the germanium content, which decreases with decreasing SiGe segment length.

Fig. 6.41 visualizes the conversion efficiency. The pure silicon structures show the lowest efficiency of about $ 0.4\%$ because of the very high heat flux. For the staged samples, the efficiency is influenced by the temperature distribution, the conductivity relations, as well as the overall thermal conductivity. For all structures, additional traps increase the power output over the entire range. Since their effect on the thermal conductivity is negligible, the increased power directly leads to increased efficiencies as well. For Structure 3, the maximum efficiency is elevated from $ 2.0\,\%$ to $ 2.75\,\%$ .

Figure 6.40: Electric power output vs. germanium content for different material composition profiles.
\includegraphics[width=10cm]{figures/simulation/graded_analysis/pn_power.eps}

Figure 6.41: Conversion efficiency vs. germanium content for different material composition profiles.
\includegraphics[width=10cm]{figures/simulation/graded_analysis/pn_eff.eps}

In Fig. 6.39, Fig. 6.40, and Fig. 6.41, it can be seen that devices with different material partitioning feature comparable conversion efficiencies while the heat conductivity and power output vary about a factor of two. This behavior can be used to adjust the power and heat flux density to given boundary conditions while maintaining the same geometry of the generator or to reduce costs by changing the geometry but not the conversion efficiency. The large amount of design parameters allows a good adjustment of large area pn-junction thermoelectric generators to specific thermal and geometrical environments.

M. Wagner: Simulation of Thermoelectric Devices