next up previous contents
Next: 5.3 Two-Dimensional Vector Finite Up: 5.2 Three-Dimensional Vector Finite Previous: 5.2.2 Linear Vector Shape   Contents

5.2.3 Assembling

Similarly as presented in Section 4.1 the matrices $ \left[A\right]$ , $ \left[B\right]$ and $ \left[C\right]$ and the right hand side vector $ \left\{b\right\}$ are assembled from the corresponding element matrices for each tetrahedron Fig. <4.7>. For the first term on the right hand side of (5.38) the rotor operator must be applied to the element edge functions $ \vec{N}^e_i$ . For the first one, $ \vec{N}^e_1$ , it can be written

\begin{displaymath}\begin{split}\vec{\nabla}\times\vec{N}^e_1 & = 2l_1\vec{\nabl...
...6{V_e}^2}\vec{r}_66V_e = \frac{l_1}{3V_e}\vec{r}_6. \end{split}\end{displaymath}    

Analogously the rotor operator of all element edge functions can be expressed by

$\displaystyle \vec{\nabla}\times\vec{N}^e_i = \frac{l_i}{3V_e} \vec{r}_{7-i},  i\in[1;6].$ (5.52)

Thus the element matrix of the first term on the right hand side of (5.38) can be given by the expression

\begin{displaymath}\begin{split}S^e_{ij} & = \int_{\mathcal{V}_e}\left(\vec{\nab...
..._{7-i}\cdot\vec{r}_{7-j},  i\in[1;6], j\in[1;6]. \end{split}\end{displaymath} (5.53)

In (5.53) it is assumed that $ \gamma$ is scalar and constant at each element. A constant elemental $ \gamma$ is not an essential restriction, since the simulation domain is discretized sufficiently fine, which is anyway necessary for an accurate result. In regions, in which it is expected that $ 1/\gamma$ will seriously change, it can be required that a finer mesh is used.

For the second term of (5.38) the following elemental matrix is regarded

$\displaystyle M^e_{ij} = \int_{\mathcal{V}_e}\mu\vec{N}^e_i\cdot\vec{N}^e_j \mathrm{d}V.$ (5.54)

As an example the member with $ i=1$ and $ j=2$ of the elemental matrix $ \left[M^e\right]$ is calculated to demonstrate the proceeding:

\begin{displaymath}\begin{split}M^e_{12} & = \int_{\mathcal{V}_e}\mu\vec{N}^e_1\...
...{\mathcal{V}_e}\lambda^e_2\lambda^e_3 \mathrm{d}V. \end{split}\end{displaymath} (5.55)

For the evaluation of the above expression it is necessary to calculate the integral

$\displaystyle \int_{\mathcal{V}_e}\lambda^e_i\lambda^e_j \mathrm{d}V, i\in[1;4] j\in[1;4].$    

For this purpose the domain transformation (A.9) and (A.10) discussed in Appendix A is used

$\displaystyle \int_{\mathcal{V}_e}\lambda^e_i\lambda^e_j \mathrm{d}V = \int_0^...
...ambda^e_2}\lambda^e_i\lambda^e_j J  d\lambda^e_3 d\lambda^e_2 d\lambda^e_1.$ (5.56)

Using (4.79) the Jacobi matrix is given by the expression

$\displaystyle J= \left\vert\begin{array}{ccc} \frac{\partial{}x}{\partial{}\lam...
...e_2} & \frac{\partial{}z}{\partial{}\lambda^e_3} \end{array}\right\vert = 6V_e.$ (5.57)

Thus the integral above results in

$\displaystyle \int_{\mathcal{V}_e}\lambda^e_i\lambda^e_j \mathrm{d}V = \left\{...
...m} &  \frac{V_e}{10}, & i = j \end{array} \right. ,  i\in[1;4], j\in[1;4]$ (5.58)

and $ M^e_{12}$ can now be expressed as

$\displaystyle M^e_{12} = \frac{\mu{} l_1 l_2 V_e}{20}(2\vec{\nabla}\lambda^e...
...\vec{\nabla}\lambda^e_3 + \vec{\nabla}\lambda^e_1\cdot\vec{\nabla}\lambda^e_1).$ (5.59)

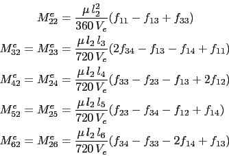
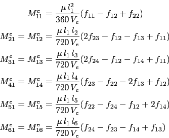
Analogously the element matrix for the six linear edge functions is written as

\begin{displaymath}\begin{split}M^e_{11} & = \frac{\mu l_1^2}{360 V_e}(f_{11} ...
..._6}{720 V_e}(f_{24} - f_{23} - f_{14} + f_{13})  \end{split}\end{displaymath} (5.60)

\begin{displaymath}\begin{split}M^e_{22} & = \frac{\mu l_2^2}{360 V_e}(f_{11} ...
...6}{720 V_e}(f_{34} - f_{33} - 2f_{14} + f_{13})  \end{split}\end{displaymath} (5.61)

\begin{displaymath}\begin{split}M^e_{33} & = \frac{\mu l_3^2}{360 V_e}(f_{11} ...
...6}{720 V_e}(f_{44} - f_{34} - f_{14} + 2f_{13})  \end{split}\end{displaymath} (5.62)

\begin{displaymath}\begin{split}M^e_{44} & = \frac{\mu l_4^2}{360 V_e}(f_{22} ...
...6}{720 V_e}(f_{34} - f_{33} - 2f_{24} + f_{23})  \end{split}\end{displaymath} (5.63)

\begin{displaymath}\begin{split}M^e_{55} & = \frac{\mu l_5^2}{360 V_e}(f_{22} ...
...6}{720 V_e}(f_{24} - 2f_{23} - f_{44} + f_{34})  \end{split}\end{displaymath} (5.64)

\begin{displaymath}\begin{split}M^e_{66} & = \frac{\mu l_6^2}{360 V_e}(f_{33} - f_{34} + f_{44}) \end{split}\end{displaymath} (5.65)

with

\begin{displaymath}\begin{split}f_{11} & = \vec{r_4}^2\vec{r_6}^2 - (\vec{r_4}\c...
...ec{r_1}^2\vec{r_4}^2 - (\vec{r_1}\cdot\vec{r_4})^2. \end{split}\end{displaymath} (5.66)

Thus the entries of the matrix $ [A]$ are given by

$\displaystyle A_{ij} = S_{ij} + \jmath\omega{}M_{ij}.$ (5.67)

The matrix with the partial derivatives is usually called stiffness matrix and is notated with $ [S]$ . The matrix which does not contain any derivatives is the mass matrix $ [M]$ . However, the designations $ [S]$ and $ [M]$ come from the field of mechanics and bear on scalar fields. Analogously in (5.67) the same notations $ [S]$ and $ [M]$ are used for the derivative and non-derivative matrix, this time for the vector field $ \vec{H}$ .

For element wise assembling of the matrix $ [B]$ from (5.39), it is also assumed that the magnetic permeability $ \mu$ is constant in each element. The first entry is calculated in the following way

\begin{displaymath}\begin{split}B^e_{11} & = \mu\int_{\mathcal{V}_e}\vec{N}^e_1\...
...int_{\mathcal{V}_e}\lambda^e_2 \mathrm{d}V\right]. \end{split}\end{displaymath} (5.68)

The remaining entries are obtained analogously. The integral expressions in (5.68) are computed using the integral domain transformation (A.9) and (A.10) from Appendix A, where the Jacobi matrix is calculated from (4.79) and given by (5.57)

$\displaystyle \int_{\mathcal{V}_e}\lambda^e_i \mathrm{d}V = 6V_e\int_0^1  \i...
...bda^e_i  d\lambda^e_3 d\lambda^e_2 d\lambda^e_1 = \frac{V_e}{4}, i\in[1;4].$ (5.69)

Now the entries of the element matrix $ B^e_{ij}$ can be expressed as

\begin{displaymath}\begin{split}B^e_{1j} & = \frac{\mu l_1}{144 V_e}(f_{2j} - ...
... l_6}{144 V_e}(f_{4j} - f_{3j}),  j\in[1;4],  \end{split}\end{displaymath} (5.70)

where $ f_{ij}$ are given by (5.66).

The matrix $ [C]$ from (5.40) is assembled from the element matrix $ [C]^e$ . The entries of the element matrix $ C_{ij}^e$ are obtained from (5.40)

$\displaystyle C_{ij}^e = \jmath\omega\mu{} \vec{\nabla}\lambda^e_i\cdot\vec{\n...
...ambda^e_j V_e = \frac{\jmath\omega\mu}{36 V_e}f_{ij}, i\in[1;4], j\in[1;4].$ (5.71)


next up previous contents
Next: 5.3 Two-Dimensional Vector Finite Up: 5.2 Three-Dimensional Vector Finite Previous: 5.2.2 Linear Vector Shape   Contents

A. Nentchev: Numerical Analysis and Simulation in Microelectronics by Vector Finite Elements