Metal-oxide-semiconductor (MOS) devices are a key driver of modern technologies. Of particular importance are MOS field-effect transistors (MOSFETs), which act as binary switches for electrical currents by exploiting the field effect. It is through the embedding of
billions of these devices into single chips that the extensive computation that underpins modern life is made possible. A major design challenge within these technologies is to ensure maximal performance while simultaneously guaranteeing reliable behavior throughout
the entire projected lifetime of the device. Of chief importance are instabilities which are sensitive to the gate bias voltage and the temperature. This phenomenon is termed bias temperature instability (BTI) and is one of several reliability issues related to charge trapping
in the oxide layer of these devices.
The first reports of BTI were presented more than 50 years ago, but despite ongoing research efforts and continual economic interest, the fundamental physics is still not fully understood. From early on, diffusive processes and thermally activated reactions have been
deemed responsible for BTI, and since then, the question as to which of these two processes governs the degradation kinetics remains controversial. Recent technology advancements have shed some light on these processes, and it has since been shown that many
reliability phenomena can be consistently described through non-radiative multi-phonon (NMP) theory. In particular, the 4-state NMP model was successfully applied to describe degradation due to pre-existing oxide defects. In addition to these pre-existing defects, there
is some evidence of a more elusive degradation mechanism, which is believed to be related to defect generation and transformation involving the relocation of hydrogen in the oxide.
In this work, the 4-state NMP model will be employed to reproduce a broad range of experimental degradation data. Starting with an analysis of pre-existing defects in simple SiO2 oxides at negative bias temperature instability (NBTI) conditions, a unified modeling
approach will be presented for such defects in devices with high-κ gate stacks at NBTI and positive bias temperature instability (PBTI) conditions.
Furthermore, it will be shown that the essential physics of these rather complex degradation mechanisms can be captured with high accuracy through a more simplified model. This condensed physical description is implemented within a new modeling framework
called Comphy , short for “compact-physics”. With this framework, the key physical properties of oxide defects in SiO2 and HfO2 oxides for various device processes are extracted and consistent results for both NBTI and PBTI stress are obtained. For
transparency, all parameters used in the Comphy-based studies will also be listed in this work.
The detailed insights into the governing physics of pre-existing oxide defects developed here can aid future studies of the still elusive degradation mechanisms within oxides in MOS devices. Furthermore, by complementing the physical model for pre-existing oxide
defects with a phenomenological description of defect generation and transformation, fast and accurate predictions of device lifetimes can be obtained. Thus, the Comphy framework presented in this thesis can contribute to the continuing improvement of MOS
technology.
Metal-Oxid-Halbleiter (MOS)-Bauelemente sind Schlüsselfaktoren moderner Technologien. Vor allem ihre Eigenschaft, Ströme mittels Feldeffekt ein- und auszuschalten, wird in nahezu allen elektronischen Geräten verwendet und das Zusammenspiel von Milliarden
dieser MOS-Feldeffekttransistoren (MOSFETs) auf kleinen Computerchips ermöglicht die komplexen Berechnungen, die nunmehr Teil unseres Alltags sind. Eine der größten Herausforderungen dieser Technologien ist es, Geräte bei höchstmöglicher Leistung, aber
zugleich auch ausreichender Zuverlässigkeit über die vorgesehene Lebensdauer hinweg zu betreiben. Besonders entscheidend sind dabei Instabilitäten die stark von der Biasspannung und der Temperatur abhängen. Dieses Phänomen wird Bias-Temperaturinstabilität (BTI)
genannt und stellt eines von mehreren Zuverlässigkeitsproblemen dar, die auf das Einfangen von Ladungen in den Oxiden dieser Bauelemente zurückzuführen sind.
BTI wurde bereits vor mehr als 50 Jahren dokumentiert, aber trotz andauernder Forschung und wirtschaftlichem Interesse sind die grundlegenden physikalischen Mechanismen nicht zur Gänze geklärt. Schon früh wurden diffusive Prozesse und temperaturaktivierte
Reaktionen für BTI verantwortlich gemacht, kontrovers ist jedoch, welcher dieser beiden Mechanismen den zeitlichen Verlauf der Degradation dominiert. Moderne Technologien erlauben detailliertere Studien dieser Prozesse und es wurde gezeigt, dass die Theorie der
nichtstrahlenden Multiphononen (NMP) viele dieser Zuverlässigkeitsprobleme widerspruchsfrei beschreibt. Speziell mittels des 4-State-NMP-Modells konnte die Degradation aufgrund von präexistenten Defekten erfolgreich beschrieben werden. Zusätzlich zu diesen
präexistenten Defekten wird ein schwerer zu erfassender Mechanismus beobachtet. Es wird vermutet, dass dieser Mechanismus mit der Defektgeneration und -transformation und einer damit einhergehenden Umverteilung von Wasserstoff in Verbindung steht.
In dieser Arbeit wird eine Vielzahl von verschiedenen experimentellen Degradationsdaten mittels des 4-State-NMP-Modells untersucht. Nach der Analyse von präexistenten Defekten in einfachen SiO2 -Oxiden unter BTI-Bedingungen mit negativer Biasspannung
(NBTI) wird eine einheitliche Modellierung solcher Defekte in high-κ-Gate-Schichtstapeln bei negativen und positiven BTI-Bedingungen (PBTI) präsentiert.
Weiters wird gezeigt, dass die Essenz dieser durchaus komplexen Degradationsmechanismen mit hoher Genauigkeit und unter weitgehender Beibehaltung des physikalischen Gehalts abstrahiert werden kann. Diese auf das Wesentliche beschränkten Beschreibungen
werden in einem neuen Modellierungssystem namens Comphy , einer Kurzform von „compact-physic“, eingebettet. Mit diesem Modellierungssystem werden die grundlegenden physikalischen Eigenschaften von Defekten in SiO2 - und HfO2 -Oxiden bestimmt
und konsistente NBTI- und PBTI-Simulationen für verschiedenartige Prozessierungen durchgeführt. Um diese Studien nachvollziehbar zu machen, werden alle Parameter der Comphy-Simulationen aufgelistet.
Das detaillierte Verständnis der Physik und der Eigenschaften präexistenter Oxiddefekte kann zukünftige Studien der noch ungeklärten Degradationsmechanismen von Oxiden in MOS-Bauelementen erleichtern. Darüber hinaus erlaubt die Ergänzung des
physikalischen Modells für präexistente Defekte mit einem phänomenologischen Modell zur Beschreibung der Defektgeneration und -transformation eine sehr genaue und performante Berechnung der Lebensdauer von MOS-Bauteilen. Damit kann das in dieser
Dissertation dargestellte Comphy-Modellierungssystem zu der Entwicklung und Verbesserung von MOS-Technologien beitragen.
While studying at TU Wien, I have always appreciated the university’s administrative efficiency, and this has remained the case even during my final days as a PhD student. Dietlinde Egger has helped to arrange my defense on
short notice, and I am proud and thankful to have Prof. Felice Crupi , Prof. Luca Larcher and Prof. Wolfgang Gawlik on the examination committee.
Certainly, my deepest gratitude goes to those whom I have befriended and with whom I share so many good memories. Unfortunately, there is not enough space to thank each of you, and even if there was, I am not sure I could find the words to adequately express my
gratitude. Instead, I shall thank each of you in person and limit my acknowledgments below to the more technical aspects of this thesis’ development.
achievements of this research group. I am deeply grateful to Ben Kaczer who broadened my technical and cultural horizons and contributed to this thesis like no other. His ideas served as the initial impetus of the Comphy
framework and he coined its name. The technical comprehension of Jacopo Franco is beyond striking and he contributed extensively to this modeling framework and to my wonderful time at imec. Philippe J.
Roussel and his mathematical expertise was important for the efficiency of Comphy and he is gratefully acknowledged for establishing Eq. (4.36), (4.37), (4.55), and (4.56). When it comes to the efficiency of Comphy, the refactoring of the Python code by Geert Hellings exceeded all expectations and enabled its success. I am truly grateful to my colleagues at the DRE group for the good times and their contributions to this thesis through experimental work and technical discussions. Thank you
Simon Van Beek , Roman Boschke , Erik Bury , Adrian Vaisman Chasin , Shih-Hung
Chen , Kent Chuang , Robin Degraeve , Myriam Janowski , Mirko Scholz , Vamsi
Putcha , Marko Simicic , Alexandre Subirats , Barry O’Sullivan , Bart Vermeulen , and Pieter Weckx .
Zusammenfassung
Kurzfassung
Acknowledgement
1 Introduction
1.1 MOS Devices and Oxide Defects
1.1.1 Random Telegraph Noise
1.1.2 Gate Leakage Currents
1.1.3 Time-Dependent Dielectric Breakdown
1.1.4 Stress-Induced Leakage Currents
1.1.5 Hot-Carrier Degradation
1.1.6 Bias Temperature Instabilities
1.2 Identifying Defect Structures
1.3 BTI Modeling and Controversies
1.4 About this Work
1.4.1 Motivation and Outline
1.4.2 Scope
1.4.3 Structure
1.4.4 Contributions Made in this Thesis
2 Measurement Techniques
2.1 Transfer Characteristics
2.1.1 Transconductance
2.1.2 Threshold Voltage
2.1.3 Subthreshold Swing
2.1.4 Hysteresis
2.2 Measure-Stress-Measure Scheme
2.2.1 Extended MSM Technique
2.2.2 Capture-Emission Time Map Visualization
2.3 On-The-Fly Measurements
2.4 From Noise to Single Defects
2.4.1 Anomalous RTN
2.4.2 Temporary RTN
2.4.3 Reversal RTN
2.4.4 Correlated Drain and Gate RTN
2.4.5 Deep-Level Transient Spectroscopy on Single Defects
2.4.6 Time Dependent Defect Spectroscopy
3 Models
3.1 Power Law Extrapolation
3.2 Exponential-Poisson Distribution
3.3 Simple Descriptions of the Quasi-Permanent Part
3.3.1 Brower’s Simple Thermal Model
3.3.2 Field-Dependent Thermal Transition
3.4 Non-Radiative Multi-Phonon Models
3.4.1 Early Applications to MOS Devices
3.4.2 4-State NMP Model
3.4.3 Gate-Sided Hydrogen Release Model
4 Compact-Physics Framework: Comphy
4.1 Electrostatics
4.1.1 Band Gap
4.1.2 Effective Carrier Masses
4.1.3 Effective Density of States
4.1.4 Carrier Concentrations at Thermal Equilibrium
4.1.5 Electrostatics of a 1D MOS Device
4.2 Tunneling
4.2.1 Band Edges in the Vicinity of Interfaces
4.3 2-State NMP Model
4.3.1 Comparison of 2 and 4-State Models
4.3.2 Modeling of Single Defects
4.3.3 Ensembles of Defects
4.3.4 Effective 3-State Frequency Dependence
4.4 Double-Well Model
4.5 Efficient Solution for AC Stress
5 Experiments and Simulations
5.1 General Material and Simulation Settings
5.1.1 Defect Parameter Extraction
5.1.2 General Comphy Settings
5.2 List of Investigated Technologies
5.2.1 Commercial 130 nm SiON Technology (Tech. A )
5.2.2 Commercial 28 nm High- Technology (Tech. B )
5.2.3 14 nm High- FinFET Technology (Tech. C )
5.2.4 DRAM Logic Technology (Tech. D )
5.3 From Noise to BTI
5.4 Recoverable and Quasi-Permanent NBTI
5.4.1 Experimental Data
5.4.2 Modeling with TCAD
5.4.3 Modeling with Comphy
5.5 Recoverable BTI of High- Devices
5.5.1 Experimental Data
5.5.2 Unified TCAD Simulations
5.5.3 Contributions of Shallow HfO and Deep SiO Defects
5.6 Full BTI of High- Devices
1 Introduction
A deceptively simple stack of three materials has changed the world at an arguably unprecedented pace: metal-oxide-semiconductor (MOS) structures constitute the essential parts of most electronic devices which are used in everyday life. Of particular importance are
MOS devices which exploit the field effect to switch currents on and off. The combination of billions of these MOS field-effect transistors (MOSFETs) on microelectronic chips is at the heart of electronic devices as it is responsible for computations. Unfortunately, the
speed and the lifetime of these devices is governed by imperfections in the oxide layer. This amorphous material is prone to capture charges under operating conditions which alter the characteristics of MOS devices. This chapter outlines the corresponding degradation
phenomena, the responsible mechanisms, and the related modeling attempts. Furthermore, it will be summarized how this thesis contributes to a better understanding of the above and, thus, enables improvements of the reliability and performance of MOS devices.
1.1 MOS Devices and Oxide Defects
Already a few years after the first demonstration of a point-contact transistor in 1947, the noise theory established by Schottky [1] was applied to investigate deviations from the thermal noise of these devices where an increase of
the noise spectrum towards lower frequencies was observed. A review on that problem was published in 1952 where Petritz et al . summarized that this noise was found to be consistent with “superimposing
spectra of the type ” and that
“a law can be approximated over a large frequency interval
if a sufficiently large distribution of lifetimes is used ” [2]. Only the nature of this modulation remained speculative at that point and was eventually experimentally verified in 1985 by Uren et al . as “individual
carrier trapping events ” [3]. These carrier trapping events are the common underlying source of several reliability phenomena which will be outlined in the following.
1.1.1 Random Telegraph Noise
After the noise on large devices was identified as the superposition of
the noise from individual carrier trapping events, much effort was put into the study of random-telegraph-noise (RTN) on devices with small gate areas. In these small devices, single carriers trapped in the interfacial region between the oxide and the channel can modulate
the drain current substantially. The analysis of these discrete steps and their stochastic properties give insights on the underlying defect kinetics. Such studies were conducted within the framework of non-radiative multi-phonon (NMP) theory already in 1988 [4].
1.1.2 Gate Leakage Currents
Oxides of regular MOS devices are supposed to insulate the gate from the channel. However, not only fundamental mechanisms such as quantum mechanical tunneling and high energetic carriers can deteriorate this ideal property: The carrier trapping events discussed
above can be directional, meaning that carriers are trapped from the channel and released to the gate. This will be observed as RTN and at the same time such defects act as tunneling centers which induce a gate leakage current [5], also referred to as
trap-assisted tunneling (TAT) [6].
1.1.3 Time-Dependent Dielectric Breakdown
The leakage mechanism described in the previous subsection is stochastic but apart from that independent of time. However, it was observed that the leakage currents through dielectrics of MOS structures strongly depend on the stress time and eventually cause a
breakdown of the insulator. Already in 1973, the role of defect creation was discussed as the responsible mechanism for this phenomenon but only the barrier lowering due to these charges was considered [7]. In 1995, Degraeve et
al . proposed a model which considered both, the creation of traps and their role as tunneling centers to consistently describe time-dependent dielectric breakdown (TDDB) [8].
1.1.4 Stress-Induced Leakage Currents
While TDDB deals with tunneling currents at stress conditions, an increased tunneling current is also observed at low electric fields after stressing a MOS device. This phenomenon was reported in 1988 as stress-induced leakage current (SILC) and found to
be not due to positive charge generation [9]. Experimentally, it is difficult to separate the mechanisms causing TDDB and SILC because generated defects will affect both. Accordingly, Crupi et al. demonstrated
a correlation of SILC and defect generation in the HfO2 layer of high-κ technologies in 2004 [10]. This finding was confirmed by later studies [11] and the subtle differences between defect generation and the transformation of pre-existing defects were discussed by
Veksler et al. in 2014 [12]. The latter employed the NMP theory as applied to model SILC already in 2001 by Larcher et al. [13] and extended it by metastable states.
1.1.5 Hot-Carrier Degradation
All the abovementioned degradation phenomena related to leakage currents are due to defects in the oxide of MOS devices and are accelerated by elevated oxide fields. As opposed to that, at low oxide fields, defects in the oxide are of much less concern. However,
highly energetic (“hot”) carriers can affect defects in the interfacial region of MOS structures. This hot-carrier degradation (HCD) mechanism is typically observed on MOSFETs when stress voltages are applied between the source and the drain [14, 15]. Since the work
Hu in 1985, the depassivation of silicon-hydrogen bonds at the interface between the channel and the oxide have been discussed as the underlying cause [16], however, there is an ongoing controversy about the detailed
mechanism [17].
1.1.6 Bias Temperature Instabilities
As discussed above, pre-existing and newly created defects in the oxide of MOS devices can capture charges, in particular at elevated oxide fields. Reports on the temperature dependence of transistors around the year 1952 [18] were followed by studies of interface
state creation in 1963 [19] and of oxide vacancies in 1964 [20], all based on experimental investigations of SiO2 under elevated bias voltage and temperature conditions. This degradation effect is now referred to as bias temperature instability (BTI).1
Historically, this effect has become of particular importance for negative gates voltages and is termed negative bias temperature instability (NBTI). Several modern technologies are also considerably affected by oxide charges which accumulate at
positive gate voltages and, thus, positive bias temperature instability (PBTI) became relevant as well. Whether and to which extend BTI and HCD act on the same defects is not fully established [23, GRJ1].
Recoverable and Quasi-Permanent BTI
Early experimental studies neglected the fast recovery of NBTI until Ershov et al. reported a recoverable and a permanent component in 2003 [24]. In the following years, this phenomenon was
studied intensively [25], however, has remained elusive from both an experimental and a theoretical point of view: Up to date, no experimental technique is accepted to determine these components separately. Some studies suggested, that the permanent component is due
to centers at the Si/SiO2 interface and the recoverable
component is due to oxide defects [26]. While this assumption is debated as such [27], even the experimental separation of centers cannot be conducted rigorously since oxide defect
close to the Si/SiO2 interface can have very similar properties to “real” interface states and contribute to CV measurements, DCIV measurements, etc.
A pragmatic solution to treat these two components of BTI separately is based on a pulse into accumulation which is applied after NBTI stress: It was observed that pMOS devices recover considerably during short periods of positive gate voltages after
stress phases with negative gate voltages [28, 29]. Conveniently, the part which recovers during this pulse roughly correlates with what was considered to be the recoverable component . With respect to defect physics, this means that the mechanism which
constitutes the recoverable component has emission time constants which are sensitive to the applied gate voltage which is not the case for the mechanism constituting the permanent component.
Note that the permanent component is to a large part not really permanent but recovers very slowly [GRC1] and we will refer to it as “quasi-permanent” component in this work.
Anomalous BTI
Typically, pre-existing oxide defects get positively charged during NBTI stress which induces a shift of the threshold voltage of MOS devices towards negative voltages. Vice versa, pre-existing oxide defects get negatively charged during PBTI stress which
induces a shift of the threshold voltage towards positive voltages. Both of the above is a result of defects interacting with carriers in the channel . In contrast, if defects capture charges from the gate , opposite shifts of the threshold voltage
are observed: positive shift during NBTI stress and negative shift during PBTI stress. This phenomenon is called anomalous BTI and was reported for the case of NBTI by [30] and for PBTI by [31, 32].
1.2 Identifying Defect Structures
The fact that all reliability phenomena listed above are consistent with individual carrier trapping events explains the frantic search for underlying defect structures. All kind of experimental and theoretical means have been employed to identify
the culprit, a selection of which is given below.
• Electron-spin resonance (ESR) spectrometry [33] and spin-dependent recombination (SDR) technique [34] to probe paramagnetic point defects
• Resonant nuclear reaction analysis (NRA) to detect hydrogen [35]
• Transmission electron microscopy (TEM) [36] and scanning tunneling microscopy (STM) [37] to analyze the surface structure and thickness of layers
• Secondary ion mass spectrometry (SIMS) to analyze the composition of thin films [38]
• Charge pumping [39] and DCIV [40, 41] to estimate the concentration of fast interfacial states
• CV curves to profile the energy, density, and time constants of defects [42, 43]
• Density functional theory (DFT) for theoretical investigation of defect properties [44]
However, up to date, there is no consent in the literature on defect structures. Certainly, physical mechanisms have been proposed which describe some of the phenomena very well, but no model is consistent with all experimental observations. Even the
simple case of MOS devices with a plain SiO2 oxide and its well studied interface to the Si channel is debated: While the passivation and depassivation of Si dangling bonds with hydrogen most certainly plays a role, the details of the physical processes and the location of
hydrogen before and after such a reaction are not fully established [45–47].
For defects in the SiO2 layer of these devices, the situation is even less established, indicating that either a) a multitude of defect mechanisms or b) one rather complex defect mechanism is responsible for the degradation in this case.
A selection of defects which are discussed in the context of BTI is given below.
• centers (where Si has a “dangling bond ”) are
often suggested to be the dominant interface trap for both (111) and (100) Si/SiO2 interfaces. Depending on the surface orientation, there are different types of centers [48, 49].
• Oxygen vacancies are a defect structure in SiO2 where two neighboring Si atoms are bonded to three instead of four oxygen atoms and were reported as a promising defect candidate, featuring multiple configurations such as the E’ and center [50].
• Also in hydrogen bridge defects the bond between two neighboring Si atoms in SiO2 is distorted, but here a hydrogen atom replaces the oxygen atom [51].
• Hydroxyl E’ centers are defects in SiO2 where the dangling bond of a threefold-coordinated Si atom faces a hydroxyl O-H group. Similar to the oxygen vacancy and the hydrogen bridge, this defect type exhibits stable and metastable configurations in
two charge states [52].
1.3 BTI Modeling and Controversies
In 1977 Jeppson and Svensson proposed a physical model for NBTI which considered two mechanisms [53]:
• Mechanism A : The depassivation of a Si-H defect at the Si/SiO2 interface during stress forms a center. The released hydrogen forms a hydroxyl group with a
neighboring oxygen atom and diffuses away, leaving a positively charged oxygen vacancy behind.2
• Mechanism B : Holes tunnel from the valence band to defects in the oxide which, through an unknown mechanism, activate surface traps.
As most NBTI models proposed to this day are merely a modification of the above - this would be the end of this section if there was not a vivid controversy on the role of these two mechanisms, fueled by experimental studies of modern MOS technologies [54]. For
many years, the model of Jeppson and Svensson , usually referred to as “reaction-diffusion (R-D) model”3 , was happily accepted as the explanation for the power law dependence of
the degradation and mechanism A was considered to be the dominant contributor [55–58]. Then, the fast recovery after NBTI stress [24] and the observations on small devices where time constants of individual defects were determined [4] shifted the attention
towards mechanism B [59–61]. To some extent, this was accepted by the groups which used to consider mechanism A as the governing contributor to NBTI [62, 63], but eventually, it was heavily disputed whether, under which conditions, and to
which extent NBTI is governed by a [54]
The criticism on the former is related to the unphysical parametrization which is required to describe the degradation of thin oxides as a diffusion-limited process [54]. On the other hand, some early studies of NBTI as a reaction-limited process ignored the role of
interfacial states and defect creation as they relied entirely on pre-existing defects [60]. This was soon corrected [61], still, the reaction-limited description of defect creation is criticized [54]. An overview of BTI models is found in [25, 29, 54, 64, 65, GRC2].
1.4 About this Work
In this section, the central motivation which led to this thesis will be outlined. Furthermore, the scope and structure of this work will be discussed and the original contributions of this thesis will be pointed out.
1.4.1 Motivation and Outline
To this day, there are more than publications on BTI [66] and literature research makes one feel like every degradation
mechanism one could possibly think of has been already proposed. Still, the reliability community is searching for the defect candidate and the industry uses oversimplified power law descriptions or some R-D models of disputed physicality. Thus, a reasonable
approach for “another BTI study” appears to be the following:
• Step 1 : Connect the right dots: Identify and link the degradation mechanisms which are consistent with as many observations as possible.
• Step 2 : As the above will give a very complex picture, abstract the essence to find a concise description which is useful for a broader range of applications.
In the last years, research groups at Infineon (Munich and Villach), imec (Belgium) and at the Institute for Microelectronics, TU Wien, have pursued step 1 with considerable success: After the NMP theory was identified as an important part of the
description of charge trapping in pre-existing oxide defects, the research efforts culminated in the gate-sided hydrogen release model [GRC3]. This model is indeed a consistent and physical one but its parametrization is very challenging and it is
computationally too expensive for fast characterization of multiple technologies.
This led to step 2 where we abstracted the gist of the complex models and created a simple and easy to use framework we call Comphy , short for “compact-physics”. Thereby, not only were the computational expenses reduced (see
Fig. 1.1 ) but also the models were opened to scrutiny by others as they became fully transparent with all parameters listed.
Abbildung 1.1: A schematic evaluation of oxide degradation models. Step 1 indicates the efforts of Grasser et al . to develop an accurate and universal defect
model, irrespective of computational costs. This started with the triple-well model [60], followed by the 2-stage model [61], the 4-state NMP model [67], and culminated in the gate-sided hydrogen release model [GRC3].
Step 2 indicates the abstraction of the complex mechanisms in the concise but still physical framework Comphy [GRJ2]. The existence of an analytic universal supermodel is questioned and the complexities of reality are
acknowledged.
1.4.2 Scope
The models presented in this work describe reaction-limited processes since diffusion of relevant species in thin oxides was found to be too fast to determine transfer rates [54]. Furthermore, only those models and experimental techniques are discussed
which are of direct consequence for the presented results and their interpretation.
While it is tempting to apply a theory to the most advanced techniques, an in-depth understanding of the basic mechanisms has to be established first. This is done in this work by starting the analysis of BTI on simple planar MOS devices with plain SiO2 oxides. After
resolving that, we will increase the complexity step by step towards high-κ FinFETs and different multi-layer gate stacks. We have already demonstrated the applicability of the models to more advanced technologies such as
• SiGe devices [GRC4, GRJ3, GRJ4]
• GaN/AlGaN high-electron-mobility transistors (HEMTs) [GRC5]
• InGaAs MOS devices [GRC6]
• Nanowires [GRC7–GRC9]
• Junctionless devices [GRC10]
• 2D channel devices with black phosphorus (BP) [GRJ5, GRJ6], molybdenum disulfide (MoS2 ) [GRT1, GRJ7, GRJ8, GRC11, GRC12], and graphene [GRJ5]
However, in this work we want to establish the fundamental properties of oxide defects. Most sensibly, such studies are conducted on well characterized and understood MOS devices with Si channels and, thus, limited to those.
The device-to-device variability is inherent to BTI models which describe the charge transfers of single defects [GRC13, GRJ9]. We will study this variability and its time-dependence, but we will not cover across-wafer variability.
1.4.3 Structure
After this introduction, an overview is given of experimental techniques (Chapter 2 ) and models (Chapter 3 ) for
BTI on which this work will build upon. In Chapter 4 , the fundamental theory of 1D MOS devices which is required for physical modeling is presented, followed by a description of the BTI models we have
implemented in the Comphy framework. The results of exemplary technologies are presented in Chapter 5 where we will demonstrate for both, technology computer aided design (TCAD)
simulations and Comphy simulations, that a profound understanding of BTI is established. Finally, the work is summarized in Chapter 6 .
1.4.4 Contributions Made in this Thesis
The first three chapters of this work are a summary of the state of the art and literature research on BTI. This serves as a basis for the Comphy framework presented in Chapter 4 and for the results presented
in Chapter 5 , both established through this PhD research.
The main work in Chapter 4 was to find a description which relies on established physics but is efficient to model BTI with all key mechanisms included:
• Section 4.1 : A summary of selected semiconductor physics and how they can be employed to model a 1D MOS device with oxide charges. The latter is original work and was outlined in
[GRJ2].
• Section 4.2 : While the Wentzel-Kramers-Brillouin (WKB) approximation is well established to compute tunneling probabilities in oxides, general formulas are presented here, which, to the best of our
knowledge, were not previously published.
• Section 4.3 : The basic physics of defects with two states in the framework of the NMP theory have been well established for many years. The contribution of this work is how these physics can be
described sufficiently accurate for BTI modeling. In particular, an advanced approximation for the interaction with Fermi-Dirac distributed carriers is presented as previously outlined in [GRJ2]. The part on the effective 3-state frequency dependence is taken from the
literature.
• Section 4.4 : A simple double-well model is presented which is a slightly modified version of previously published models to better capture the experimental evidence. This model was outlined
in [GRJ2].
• Section 4.5 : An efficient way to compute degradation for AC signals is reviewed. The formula for analytic evaluation of digital AC stress was not published before.
In Chapter 5 , a broad range of experimental data and simulations with TCAD and Comphy are presented. For this, we implemented the 4-state NMP model in a commercial TCAD software. Our
implementation of this BTI model can handle arbitrary device geometries and considers the interaction of oxide defects with carriers in the gate and in the channel [GRC14]. Comphy was implemented in a Python framework [GRJ2].
• Section 5.1 : General simulations procedure, parameters, and settings for the simulations.
• Section 5.2 : A summary of the technologies investigated in this chapter.
• Section 5.3 : A TCAD study linking noise to BTI, originally presented in [GRC14].
• Section 5.4 : Previously published data is reproduced with TCAD simulations [GRC15] and Comphy simulations [GRJ2] to demonstrate recoverable and quasi-permanent NBTI.
• Section 5.5 : Experiments conducted through this PhD research are reproduced with TCAD simulations to extract the properties of defects which are responsible for recoverable BTI of high-κ devices
[GRC16]. This study is complemented by previously unpublished experimental data on the variability of small devices.
• Section 5.6 : Experimental data is reproduced with Comphy simulations to investigate the lifetime of commercial high-κ technologies [GRJ2].
• Section 5.7 : The impact of process engineering on the BTI behavior is analyzed by applying Comphy simulations to a broad set of experimental data [GRJ2].
• Section 5.8 : A brief discussion on AC modeling with Comphy and the frequency dependence is presented based on experimental data and simulations, originally outlined in [GRJ2] and complemented by
frequency dependent data which was not published previously.
• Section 5.9 : The key findings are summarized and all Comphy parameters are listed. The parameters were originally published in [GRJ2].
2 Measurement Techniques
In this chapter, we will summarize the most fundamental measurement techniques to quantify BTI and to analyze the properties of single defects.
2.1 Transfer Characteristics
The drain current of a MOSFET as a function of the gate voltage at a given drain voltage is typically referred to as “transfer characteristics”, “ curve”, or simply “IV curve”. This curve is subject to
charges in the oxide and, as such, often used to quantify BTI. Measuring while sweeping at a small might appear straightforward, however, the timing is crucial
since defects with short time constants can charge or discharge during the measurement. This effect can be employed in dedicated experiments such as hysteresis measurements [68], but usually, curves are intended to give a snapshot of the
transistor properties. To minimize the impact of charge capture and emission during sweeps, very fast measurements are desirable [69]. In this
section, common transistor parameters such as the transconductance , the threshold voltage , the subthreshold swing , and the hysteresis width will be outlined on the basis of curves.
2.1.1 Transconductance
The transconductance stands for “transfer conductance” and is the small-signal
conductance for input gate voltage and output drain current as a function of at constant :
Charges close to the interface of the channel affect carriers due to Coulomb scattering and reduces their mobility [70]. Furthermore, it was shown that the mobility degradation due to interface-states can be determined by the mobility at the point of maximum
transconductance [71] and that the transconductance is proportional to the
mobility [72]. Therefore, the degradation of indicates an increase in the concentration of defects in the
near-interfacial region which makes it an important parameter for characterization of oxide degradation.
2.1.2 Threshold Voltage
Naturally, the gate voltage above which a significant drain current is observed in MOSFETs is an important device parameter. However, when it comes to the definition of this threshold voltage , it does not seem to be that natural anymore: There are
several theoretical definitions [73] and many different experimental extraction methods [74, 75]. Common experimental methods will be outlined below. The most popular theoretical definition is that is the gate voltage at which the surface potential of the
channel equals two times the Fermi potential in the bulk. For quantification of BTI, the shift of the threshold voltage is often used since it represents the
impact of all charges in the oxide and at the interface on the transistor performance. However, the extraction of at low gate voltages implies that very fast states in the
near-interfacial region are usually lost in the measurement, depending on their defect level. It was experimentally shown that even ns after NBTI stress, has partially recovered [76]. For this reason, is commonly considered to describe a rigid shift of the
curve while the fast transient features have to be captured
with dedicated techniques.
Constant Current Method
In the simple constant current method, the threshold voltage is identified as the gate voltage where
holds with being the channel width and the channel length as shown in Fig. 2.1 . is the normalized current criterion which is
typically nA but may vary between technologies. This method enables continuous measurement of by tracking with a feedback loop to maintain a constant [69].
Linear Extrapolation Method
If full curves are available, the linear extrapolation
method is most frequently used to determine : From the curve, is computed to obtain the gate voltage of . At this voltage, the curve is extrapolated linearly to zero drain current.
Subtracting from this gate voltages gives [77] as shown in Fig. 2.2 .
Abbildung 2.1: An curve (black) of a pMOSFET from TCAD simulation with
the channel width nm and the length nm. In the constant current method, is extracted at . The reference current is assumed to be nA here.
Abbildung 2.2: For the extraction of with the linear extrapolation method , first the
which corresponds to has to be determined. In this point, the curve is extrapolated to zero drain current and from this gate
voltage is subtracted to obtain [77].
Abbildung 2.3: The second derivative of logarithmic drain current (SDL) method is based on the second derivative (blue) of the logarithm of the drain current (black). The threshold voltage is then defined as the gate voltage at which the second deri-
vative has its minimum [78].
Second Derivative of Logarithmic Drain Current Method
The SDL method [78] addresses the shortcoming of the linear extrapolation method which is its deviation of the extracted from the theoretical value used in compact models.
Furthermore, the SDL method is suitable for both low and high drain voltages. In this method, is defined as the gate voltage at which the second derivative
of the logarithm of the drain current has its minimum, see Fig. 2.3 .
2.1.3 Subthreshold Swing
The shubthreshold swing is defined as the inverse of the subthreshold slope of the curve [79]:
Here, is the depletion capacitance, is the oxide capacitance, and is the capacitance associated with the interface state density
[80]. While the effect of fast near-interfacial defects is
typically not monitored in measurements, it can be observed as a degradation of , accordingly. In the ideal case with F the subthreshold swing evaluates to
which gives the well known lower
limit of mV/dec for room temperature.
2.1.4 Hysteresis
Ideal curves which are not affected by transient charge trapping
give the same reproducible result for a given sweep range, slew rate, and measurement temperature. However, in reality, such measurements are affected by charge trapping and, accordingly, a hysteresis between consecutive up and down-sweeps of will be observed in of MOSFETs. While this effect is usually negligible in silicon
technologies, it can be pronounced for example in less stable 2D technologies where this technique is employed to investigate charge trapping [GRJ5, 81, GRC17]. Similarly, also in more stable high-κ technologies [82] as well as in Ge-based [83] and SiC-based
technologies [68], this effect is investigated.
2.2 Measure-Stress-Measure Scheme
Since the shift of the threshold voltage was accepted as an important measure of BTI, the idea of the measure-stress-measure (MSM) scheme is very obvious: Measure the initial threshold voltage of a MOSFET, apply stress at elevated and temperature for some time, and measure again afterwards to characterize the degradation as . The problem with this naive approach
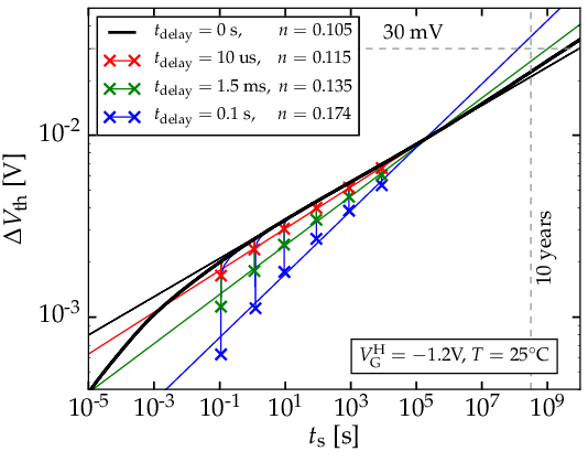
was already identified by Breed in 1975: “a considerable part of the trapped charge disappears as soon as the voltage bias is removed from the sample ” [84], meaning that the measurement delay between the stress phase and the subsequent measurement is
crucial. While apparently this fact was of no concern for many years, the problem resurfaced in 2003 when BTI research gained traction and Ershov reported “an unusual effect - a significant dynamic recovery relaxation of NBTI
degradation after removal of stress voltage ” [85]. This triggered experimental efforts to reduce in order to minimize a loss of information about the actual
degradation during stress: While Ershov measured with s [85], later in 2003 Rangan reported data with ms [86], followed by Reisinger in 2006 with s [69], and finally in 2018 Yu reported an experimental setup with ns which is still not fast enough to measure without recovery effects [76].
2.2.1 Extended MSM Technique
On the one hand, the fast recovery after stress poses difficulties for characterization of BTI, while on the other hand this recovery comprises valuable information about the defect kinetics, a fact employed by the extended measure-stress-measure (eMSM)
technique [87]: Instead of recording for a short period after stress and then applying stress
conditions again, the recovery period is extended to record the recovery behavior of for a long time. After this recovery trace is
recorded, the same stress conditions are applied again with incremental stress times for subsequent stress phases. Conveniently, the subsequent phases are typically not affected by the extended measurement phases if the stress times are increased exponentially with a
factor of about [69] as shown for a measurement in Fig. 2.4 .
Abbildung 2.4: The degradation of a pMOSFET subject to NBTI stress recorded following the eMSM scheme: The stress is interrupted periodically on a logarithmic time scale to record intermediate recovery traces (not shown).
After each recovery measurement, stress is applied again and the degradation quickly follows the same trend as prior to the interruption. After [88].
2.2.2 Capture-Emission Time Map Visualization
The eMSM technique with a recovery trace after each subsequent stress phase contains detailed information on the defects and their time constants which are active at the given stress and recovery conditions [87]. A way to visualize these time constants
and the related degradation intuitively are capture/emission time (CET) maps [89, 90]. These map represent the density as a function of the capture time constant at stress conditions and the emission time constant at recovery conditions and is obtained from the mixed partial
derivative of a set of recovery traces [67]:
Vice versa, the degradation can be computed from as [67]
As such, the density of CET maps represents the time constants of the defects
weighted by their impact on , and can be obtained from these maps for any stress time and recovery time by integrating from s to and from to . Note that this scheme represents data with constant stress and recovery conditions at one
temperature and it is only strictly applicable to visualize first order reactions. Usually, data from large area devices where many defects contribute to is shown in CET maps to obtain a picture of the mean
degradation of a technology at certain stress conditions, see Fig. 2.5 .
Abbildung 2.5: The data from an eMSM experiment (left) is visualized in a CET map (right). Both representations are equivalent and the original data (circles in the left figure) can be reproduced from the density again (lines in the left figure). The CET map allows for direct
evaluation of the time constants of defects and their impact on . After [67].
2.3 On-The-Fly Measurements
In order to overcome the limitation of MSM techniques imposed by the measurement delay after stress, the on-the-fly (OTF) measurement was proposed [91]. In these measurements, the drain current is monitored during stress conditions and the
corresponding degradation is determined without any interrupts. A simple but imprecise scheme allows a mapping of in the linear regime to based on a reference drain current and threshold voltage [92]:
In a more elaborate OTF scheme, a small modulation of the gate voltage around the stress value is employed to measure the transconductance continuously at stress conditions and deduce from that [91]. While the issue with the measurement delay
after stress is resolved by OTF measurements, the drawback of this method compared to MSM schemes is the measurement delay at the beginning of the stress which poses a lower bound for measurable stress times. Furthermore, such experiments
are typically conducted at accelerated stress conditions and at these stress voltages fast interfacial defects could be charged which would not contribute at use conditions and do not affect measured with MSM techniques.
2.4 From Noise to Single Defects
The theory of noise in semiconductors due to charge trapping with distributed transition rates for capture and emission processes and the implications for the noise spectrum was already established in the early 1950s [2, 93] and modeled by McWhorter [94] in 1957. Still, the debate on the origin of the noise spectral density observed on large area MOS devices was
settled much later: In 1985, Uren et al. linked the noise to the RTN observed on devices with small active gate
area [3]. An example is shown in Fig. 2.7 . Thus, analysis of degradation due to defects based on the noise spectra was established and since the noise power scales with the inverse of the gate area [95], much
attention was put into the analysis of RTN of scaled technologies. The time constants as a function of temperature, gate voltage, and drain voltage were studied in the following and the defect levels and the interface distance of defects were deduced [96–98]. These simple
models were extended later to account for NMP processes for a more reliable extraction of defect parameters based on the capture and emission time constants determined by RTN experiments [12, 99, 100].
2.4.1 Anomalous RTN
MOSFET technologies with small effective gate areas led to an important observation in 1988: Uren et al. analyzed RTN signals and found that some of them show “rapidly switching RTS modulated by an
envelope of the same amplitude ” [4]. In their study, they ruled out possible mechanisms for this anomalous RTN such as a) two traps in the same percolation channel, b) Coulomb interactions between pairs of traps in close proximity and suggested that
this observation manifests c) “a single defect with two reconstruction modes (metastable states) available for the filled trap. ”. In this early work Uren et al. already put forward a corresponding configuration
coordinate (CC) diagram of such a defect featuring three states [3] which became the base of BTI models featuring metastable states described within the NMP theory [101]. An example for a measured anomalous RTN trace is shown in Fig. 2.6 , left, together with a model with three states.
Abbildung 2.6: Both, anomalous RTN (left) and temporary RTN (right) is consistent with a three-state defect which exhibits RTN while switching between two charge states. Additionally,
a metastable state is involved which can interrupt the RTN for some time (anomalous RTN) or end the RTN (temporary RTN). In the latter case, the defect can be forced into its less stable configuration again by applying stress conditions. Top: the three states in negative
(blue), neutral (gray), and positive (red) charge states and the time constants for the transitions between the states for this example. Bottom: Simulated occupancies of the states and the sum of the negative states (last row left) and positive states (last row right) as they would
be recorded experimentally. After [67].
2.4.2 Temporary RTN
In temporary RTN , a regular RTN signal disappears, but in contrast to anomalous RTN, the signal does not reappear at constant bias conditions [67]. Accordingly, temporary RTN has to be triggered and consistent with the interpretation based on three
states, it disappears once the defect relaxes in a more stable configuration as shown in Fig. 2.6 , right.
2.4.3 Reversal RTN
The measurement of RTN traces for long times at high sampling rates revealed a phenomenon called “reversal RTN ” [102]: For some period of time, a signal with two levels exhibits much faster emission time constants compared to the capture time
constants, followed by a period of time where the reverse situation is observed (faster capture time constants compared to emission time constants). These two “zones” alternate even at constant bias and Guo et al. suggested
that this manifests a trapping mechanism with four states, two of which are metastable [102].
2.4.4 Correlated Drain and Gate RTN
In 1988 Olivo et al. investigated SILC and concluded that it “originates from localized defect-related weak spots where the insulator has experienced significant deterioration from electrical stress ” [9].
Similarly, an increase in RTN was understood to manifest defect-related degradation in the oxide during stress. As such, it was speculated that these two phenomena originate from the same mechanism and a correlation of the respective degradation parameters was
expected [10, 11]. Indeed, in 2011 Chen et al. demonstrated direct simultaneous measurements of the drain and gate current and found correlated capture and emission events in the respective RTN traces [103]: Carrier
capture events in the oxide not only affect the drain current but can also open and close tunneling paths through the oxide as they alter the configuration of oxide defects, see Fig 2.7 .
Abbildung 2.7: An RTN measurement where the fluctuations in the gate (upper panel) and drain current (lower panel) were monitored simultaneously. After a capture time , a hole is trapped in the oxide which reduces the drain current
and at the same time increases the gate current as the defect now constitutes a tunneling path. After an emission time , the hole is emitted again and the defect structure restores to its
initial configuration where it no longer acts as a tunneling center. After [104].
2.4.5 Deep-Level Transient Spectroscopy on Single Defects
The analysis of RTN enabled the study of the time constants of single defects in MOSFETs [96]. This approach, however, is limited to defects which exhibit RTN at the respective bias conditions, meaning that their capture and emission time constants have to be on the
same order of magnitude. As such, this approach is not suitable to investigate the full spectrum of defects which constitute BTI. In order to determine the emission time constants in a more general fashion, Karwath and
Schulz extended the deep-level transient spectroscopy (DLTS) proposed by Lang in 1974 [105] to small-area MOSFETs in 1988 [106]. The DLTS on single defects assumes that a)
“the distribution of the (emission time) steps for a specific trap is exponential ” and that b) “the step height differs for each trap ” [106]. Therefore, a repeated stress/recovery experiment and the statistical analysis of the discrete steps in
the recovery traces gives the average emission time constant of single defects. Already in 1988, this technique was applied to analyze defects at different temperatures to derive their activation energy which was linked to NMP processes [106].
2.4.6 Time Dependent Defect Spectroscopy
In 2010 the DLTS on single defects was extended to the time dependent defect spectroscopy (TDDS) which not only determines the emission time constants but also the capture time constants of single defects in MOSFETs at stress
conditions [89, 107]. While originally in the DLTS on single defects it was assumed that all defects are charged after switching to stress conditions without paying much attention to stress times and defects with larger capture time constants, it was later understood that the
occupation probability of defect at the stress conditions are important for such
experiments: Assuming the defect to follow first order reaction kinetics, one obtains the occupation probabilities for equilibrium conditions during stress and recovery
conditions as
with the capture time constant and the emission time constants at stress (denoted with a superscript “ ” for high ) and recovery (superscript “ ” for low ), to determine the transient occupation probability of a defect which
was at prior stress to be
after the stress time . The TDDS employs this relation by applying the DLTS
on single defects multiple times with varying stress times, typically by increasing subsequently by a factor of . For each of these stress times, is deduced from the number of recovery events of a defect and the number of traces
as
Typically, this gives close to zero for very small and close to unity for very large and the capture time constant of this defect can be computed
by fitting the data to Eq. (2.12 ). For convenient visualization of such experimental data, spectral maps were suggested [107]. These maps depict the emission events for multiple recovery experiments and a
given stress time as a function of the step heights of these events, see Fig. 2.8 .
Abbildung 2.8: Discrete events of two recovery traces (black lines in top panel) recorded after identical stress on the same device, are mapped according to their emission times and step heights to a spectral map
(bottom panel). These events (squares) form clusters of active defects in such spectral maps if multiple traces are analyzed. After [107].
3 Models
In this chapter, those models related to BTI which are essential for the discussions in this thesis will be outlined. After a brief presentation of the power law description, the exponential-Poisson model, and thermal transitions in the context of BTI, we will review the
history of charge trapping in the framework of the NMP theory and discuss selected models.
3.1 Power Law Extrapolation
The simple power law in the form of
was already used in 1978 to describe BTI, quantified by the shift of the flatband voltage as a function of stress time and stress voltage by Sinha et
al. as [108]
Here, is the voltage acceleration, the power law time dependence ( in the original work), defines the offset of , and is the activation energy. Since then, the power law
description was applied to BTI extensively to obtain simple and often reasonably accurate estimations of the degradation. Note that the simple power law can be written as
Thus, a power law function appears as a straight line on a log-log plot.
3.2 Exponential-Poisson Distribution
The exponential-Poisson distribution , also referred to as defect-centric description, was introduced by Kaczer et al. in 2010 [109] where “NBTI stress is argued to be a convolution of
exponential distributions of uncorrelated individual charged defects Poisson-distributed in number ” [110].
Abbildung 3.1: The distribution of the step heights of individual defects located at the interface of the oxide is
constant in the simple charge sheet approximation (a) [111]. Considering device electrostatics with a continuous doping profile, a bell shape is obtained for the impact of single charges between source and drain (b) [112]. Experimentally, much wider distributions are
observed which is because of percolation paths due to the discrete dopants (c) [113]. The simulated complementary cumulative distribution function (CCDF) considering random dopant fluctuations features the roughly exponential tail observed experimentally [109] (d).
After [GRC18].
The impact (denoted with a lowercase “ ”, referred to as step height ) of an individual defect on the threshold voltage of a device
depends on the position of the defect in the oxide. Assuming
a continuous doping in the channel and a single layer oxide, scales linearly with the interface distance [111], weighted
by a bell function depending on the lateral position between the source and the drain [112]. Experimentally, much wider distributions of are observed which was found to be due to percolation
paths in the channel [96], caused by discrete dopants [113], see Fig. 3.1 . Whether the resulting distribution is better described by a log-normal distribution [114–116] or an exponential distribution, is another
controversial issue [GRC18]. Any way, the analysis of discrete steps after NBTI stress was found to be described well with exponential distributions as shown in Fig. 3.2 . The corresponding probability density
function (PDF) and cumulative distribution function (CDF) of the individual step heights read [109]
with the mean step height of a single charged defect. Now, for devices with defects, the PDF and CDF of the distributon of evaluates to [109]
with the gamma function . Now, the number of defects is typically assumed to be Poisson distributed with the probability [110, 117]:
with the mean number of defects depending on the effective gate width and length as well as on the defect concentration projected to the interface. To obtain the PDF and the CDF of the distribution assuming such a Poisson distributed number of
defects, the distributions have to be weighted by to obtain [109]
with the hypergeometric function and the Dirac function . Important properties of this distribution are the mean and the variance [109]
which conveniently allow to determine the mean step height and the number of active defects from the distribution of as
Abbildung 3.2: The histogram of step heights of a technology of which 72 pMOSFETs were subject to
NBTI stress for s (empty circles) and s (filled circles), both following an exponential distribution.
Inset: was obtained from discrete steps in recovery traces after
NBTI stress. After [109].
3.3 Simple Descriptions of the Quasi-Permanent Part
The quasi-permanent component of BTI is commonly ascribed to the passivation and depassivation of interface states. Models which are based on the idea of simple thermal activation for these processes are outlined in the following.
3.3.1 Brower’s Simple Thermal Model
As summarized by Stesmans [46], the simple thermal model introduced by Brower in 1988 [118–121] considers rate limited reactions for passivation and depassivation of centers. The rate equations for the passivation of reactive
sites and for the depassivation of reactive sites read
with the transition rates for passivation and depassivation following the Arrhenius equation as
where is the activation energy for passivation and is the activation energy for depassivation. In this
model, the molecular hydrogen was assumed to react with the center without preliminary cracking. Furthermore, the
activation energies where assumed to be single valued in [119, 121]
an approximation which was refined by Stesmans in the generalized simple thermal model [46].
3.3.2 Field-Dependent Thermal Transition
Grasser et al . introduced a phenomenologic field dependence to Brower’s simple thermal model in 2009 to describe the coupling of the stages in the two-stage model [61]. While the
rate equations remained the same, both the passivation and depassivation barrier were modified as
with the electric field and the field dependence as depicted in Fig. 3.3 . Thus, the activation energies of depassivation are reduced at stress conditions whereas the opposite is the case for the activation energy of passivation.
Abbildung 3.3: The field-dependent thermal transition considers two states which describe the passivated ( ) and the depassivated ( ) state of a center in the two-stage model [61]. The activation energy for
depassivation is reduced by while the passivation energy is increased by .
3.4 Non-Radiative Multi-Phonon Models
Charges trapped in oxide defects affect the surrounding electrons and nuclei. As a consequence, the exchange of an electron between an oxide defect and a carrier reservoir such as the channel of a MOSFET not only comprises a) the tunneling of the carrier under b)
conservation of energy but also c) the deformation of the defect site and d) relaxation towards the equilibrium position of the system [122]. Without the latter, the process would be elastic which would imply:
• that the time constants of the carrier exchange would be governed by elastic tunneling which is in contradiction with measurements on devices with thin oxides [123]
• a distinctively weak temperature dependence of the time constants whereas experimentally an Arrhenius-like activation is observed [124]
• that defects closer to the reservoir will be charged faster, which results in a correlation of the stress time and step heights, which is not observed experimentally [100, GRC19]
• a roughly linear bias dependence of the time constants while single defect studies show peculiar bias dependence [107]
All of the above underlines that the deformation of the defect site and the relaxation towards the equilibrium position of the system is indispensable for an accurate description of charge exchange with oxide defects. The physics of this deformation are
governed by electron-phonon coupling : while the distribution of the electrons is determined by the vibration of the atoms, the vibration of the atoms themselves are affected by the number and distributions of the electrons. This problem can be described by
considering the coupling between the wave functions of the two systems which, however, is practically impossible for amorphous oxides.
Conveniently, electronic motion is typically much faster compared to nuclear motion which allows for them to be treated separately in the Born-Oppenheimer approximation [125]. The electronic wave function can then be solved for fixed nuclei positions and the
energy of the system which includes all Coulomb and kinetic energies is obtained for this configuration. This gives the energy as a function of the atomic configuration which is a 3 -dimensional surface for a system with atoms called potential energy surface . For defect structures of amorphous oxides, this is a
highly complex multidimensional surface which computation is barely feasible. However, transitions between states of a potential energy surface are governed by the transitions path with the lowest energy barrier. This allows reducing the 3 -dimensional surface to an effective CC diagram which describes the energy along this dominant
transition path. In order to enable an analytic treatment of problems based on CC diagrams, approximations for potential energy surfaces are desirable. Conveniently, approximating the potential energy surfaces with parabolas results in quantum harmonic oscillators where
the energy of the system in state evaluates to
with the curvature and the equilibrium position at and the energy minimum as depicted in Fig. 3.4 . This approximation is only accurate for sufficiently small displacements from the equilibrium position and appears crude to describe transitions between charge states of oxide defects, still it is widely used and gives
reasonable results [67]. The excitation and relaxation of defect structures in MOS devices can be radiative for example in measurements where defects are excited using photons. However, in conventional applications, the excitations and relaxations are due to phonon
interaction which is described by the NMP theory [122, 126, 127].
Abbildung 3.4: A schematic CC diagram of a system with a neutral state (thick black line) and a positive charge state (thick red line). Transitions can be radiative for example by pho-
ton excitation or non-radiative due to phonon interaction. For the latter, the relaxation energy from state to state and from state to state are depicted.
In the harmonic approximation both the electronic and the nuclear wave functions can be computed, allowing for a rigorous evaluation of the transition rate from state to state as
where is the electronic matrix element and the lineshape function. While the former accounts for the
tunneling of electrons which is independent of the vibrational state, the latter is the average of all initial vibrational states of the sum of all final vibrational states of the Franck-Condon factor [126, 128]:
The Franck-Condon factor accounts for the overlap of the nuclear wave functions which are obtained from the molecular Schrödinger equation as discussed in [GRJ10]. In MOS devices, defects interact with reservoirs such as semiconductors or metals. In general, the
total transition rate can then be obtained based on the density of states and the carrier distribution function as
3.4.1 Early Applications to MOS Devices
The foundations for NMP models were established in 1950 [126] but it was a long way untill they were applied to model BTI. In the 1970s, first applications on semiconductors revealed properties of single defects [122, 129–131] followed by a consistent
understanding of 1/ noise and RTN based on the NMP theory in the 1980s [3,
132–134]. Finally, in the 1990s the work of Kirton and Uren on noise due to single defects in the framework of NMP theory [127] was applied to model the threshold voltage shift of MOSFETs by
Tewksbury [135, 136]. This pioneering work was barely adopted for several years and most groups studied multi-phonon processes in the only context of trap-assisted tunneling [6, 13, 137–139] while BTI was continued to be modeled
as a diffusion-limited process [55, 56].
Tewksbury’s Lattice Relaxation Multiphonon Emission Model
In the following, the lattice relaxation multiphonon emission (MPE) model is outlined as presented by Tewksbury in [135]. The discussion will focus on the NMP physics of this model while other aspects such as tunneling factors
and density of states will be omitted. Tewksbury starts the discussion of the MPE model with the total energy of a system with an empty defect in the oxide and an electron
at the conduction band edge at the interface with the energy . Using the notation introduced in Eq. (3.23 ) the total energy of the system is
with the definition of . When the electron is captured by the defect, the
deformation of the lattice is approximated to modulate the electron energy as
with the deformation potential . This gives the
total energy of the system for the trapped electron with the new energy
minimum at and as
Thereby, both parabolas and, hence, the relaxation energies are defined (see Fig. 3.4 ). In order for the electron to be emitted again from the defect, the system must acquire the energy
The probability to acquire this energy is given by the normalized
Boltzmann distribution:
For the reverse process the probability is:
Based on these probabilities Tewksbury derived capture and emission time constants which also consider the densities of states and forward and backward transition probabilities maintaining detailed balance. This gives the
“rather formidable integral ” (3.23) in [135] for the electron capture time constant which is interesting from NMP perspective because it gives the
proportionality of the rate for electron capture as
where is the Fermi level at the channel and is the trap level. In [136] the shift of due to the applied oxide electric field is given as
with the elementary charge and the distance from the channel interface . This is the foundation of NMP modeling in the context of BTI which Tewksbury systematically applied to obtain time constants of defects and to simulate how these defects affect the threshold voltage shift of MOSFETs during stress and recovery [136]. Still, most groups continued working with some R-D
models and it took another 15 years until the NMP theory was adopted for BTI simulations by a broader community, spearheaded by Grasser’s two-stage model in 2009 [61, 101].
Grasser’s Two-Stage Model
The two-stage model was inspired by E 0 centers (stage one) as described by the Harry Diamond Laboratories (HDL) model [140, 141] and extended by an activation mechanism of centers (stage two), see Fig. 3.5 . In stage one , hole trapping of near-interfacial E 0 centers with two neutral and one positive states is modeled within the NMP theory with the same proportionality in Eq. (8) of [101] as in Eq. (3.34 ) (note that electron emission corresponds to hole capture of the defect). In stage two , the depassivation of a center is only possible with a positive E 0 center as a precursor
which supplies an atomic hydrogen. This processes modeled with a thermal activation over a field-dependent barrier as described in Subsection 3.3.2 . The charge of depassivated
centers is determined using the Shockley Read Hall (SRH)
mechanism.
Abbildung 3.5: In the two-stage model a center is depassivated by a hydrogen atom supplied from a E 0
center in the near-interfacial region. This E 0 center features three states which are modeled with NMP transitions. After [61].
This two-stage model was the first attempt to model both the permanent and the recoverable component of NBTI consistently based on hydrogen relocation while accounting for NMP transitions. These ideas were refined subsequently: First, the 4-state NMP
model was presented in 2010 [107] which focused on the details of the recoverable component considering metastable states as described in Subsection 3.4.2 . Later in 2015 the role of hydrogen was
revisited and modeled in detail in the gate-sided hydrogen release model [GRC20], see Subsection 3.4.3 .
3.4.2 4-State NMP Model
In the following, we will outline the 4-state NMP model, starting with the discussion of switching traps as they have initiated this model. We will then present the description of single defects within the 4-state NMP model, followed by the sampling of an
ensemble of such defects to describe the recoverable component of BTI.
Evidence for a 4 State: Switching Traps
The introduction of the 4-state NMP model was motivated by observations at single defect level and is closely related to the TDDS (see Subsection 2.4.6 ): While the two-stage model was able to
explain several phenomena related to NBTI, the time constants of switching traps remained puzzling [107]. As opposed to fixed positive charge traps which feature constant emission time constants towards low gate voltages, the switching traps
show a pronounced drop of the emission time constant at low gate voltages, see Fig. 3.6 .
Abbildung 3.6: Studies on the time constants revealed two distinct type of oxide defects: Fixed positive charge traps have constant emission time constants at low gate voltages (left), while switching
traps feature a drop of the emission time constants towards low gate voltages (right) [107]. After [GRT2].
An explanation which is consistent with other observations on single defect level such as anomalous RTN (see Subsection 2.4.1 ) and an inherent frequency dependence [142] is given by the 4-state
NMP model: A positively charged E 0 center (in state 2) can be discharged via its metastable positive state as introduced in the two-stage model already. Additionally, the 4-state NMP model accounts for a
discharge via an alternative path via the metastable neutral state . This is consistent with the physics of the E 0 center as a structural relaxation follows a charge
exchange in both charge states [143] as shown in Fig. 3.7 . Since every defect is different due to its surrounding configuration in amorphous oxides, the activation energies for both discharge paths will differ as
well. Defects with high energy barriers via state will have constant emission time constants governed by the gate bias independent energy barrier
between states and as they can only emit via state . These defects are called “fixed positive charge traps” as their emission time constants do not depend
on the gate voltage, hence, they cannot be forced to discharge (see Fig. 3.8 ). On the other hand, the discharge of defects with lower energy barriers via path is governed by the gate voltage dependent energy barrier via the state and are called “switching traps” as they can be forced to discharge by applying low gate voltages as
shown in Fig. 3.9 .
Abbildung 3.7: Defects described by the 4-state NMP model depicted for the example of the E 0 center with its two metastable states and and its two stable states and . The ball-and-stick model shows the structural relaxation of the metastable states to its more stable
configuration with the silicon moving through the plane spanned by its three neighboring oxygen atoms. This opens two paths for discharging a positive defect in state : The bias independent path via is favored by fixed positive charge traps (see Fig. 3.8 ),
while the strongly bias dependent path via governs the emission of switching traps (see Fig. 3.9 ).
After [67].
Abbildung 3.8: Fixed positive charge traps capture holes during stress ( ) via the metastable state . Also at low gate voltages ( ), transitions via the state are favored because of the high energy barriers for transitions via the state . Therefore, the emission time constants of these defects are governed by the barrier , hence, they are roughly indepen-
dent of gate bias.
Abbildung 3.9: Switching traps capture holes holes during stress ( ) via the metastable state just like fixed positive charge traps. However, at low gate voltages ( ), transitions via the state are favored because of the low energy barriers of these defects for transitions via the state . Since the barrier of the NMP transition between state and depends on the gate bias, these defects feature a drop in the emission time constants towards low gate
voltages.
Single Defect Model
The transition rates which describe a charge exchange in the 4-state NMP model are treated according to the NMP theory as presented in Eq. (3.26 ). For applications of this model above room temperature [GRJ10]
the lineshape function can be approximated to only contribute at the intersection points of the parabolas. Thus, with the energy barrier from state to state in the Boltzmann factor, the transition rate reads:
Here, is the density of states, is the distribution function, and is the electronic matrix element. In the following we
will discuss the energy barrier . The 4-state NMP model follows the
commonly used approximation of the potential energy surfaces with quantum harmonic oscillators as introduced in Eq. (3.23 ). The intersection point of the parabolas of the states and gives the energy barrier in the classical limit:
Transitions are governed by the path with the lowest energy barrier, hence, the solution of this equation with “ ” for “ ” can be neglected. Furthermore, the above equation can be rewritten using the definitions of the
relaxation energy , the curvature relation , and the energy difference as
where is the Huang-Rhys factor [126], to obtain
with the removable singularity for
Note that the energy barrier depends on the electric field because of the field-dependence of . Similar to Eg. (3.35 ), the approximation of a constant electric field in the oxide gives
In addition to NMP transitions between states which involve charge exchange, the 4-state NMP model also accounts for structural relaxation which corresponds to pure thermal transitions between states without a charge exchange.
The energy barriers for the latter correspond to activation energies in the Arrhenius equation and result in the transition rate
between the states and and with the attempt frequency and the energy barrier from state to state . As opposed to the energy barrier in NMP transitions, the
energy barrier here is approximated to be constant and does not depend on the electric field. The full CC diagram for a 4-state NMP defect with two NMP transitions and two pure thermal transitions can be described with the parameters listed in Table 3.1 and is depicted in Fig. 3.10 together with all energy barriers.
Abbildung 3.10: A schematic CC diagram of a 4-state NMP defect with the NMP transitions between the states and and the pure thermal transitions between the states and . All energy barriers , the difference between the energy minima
,
and the relaxation energies are depicted.
Tabelle 3.1: Parameters of a single defect in the 4-state NMP model . The trap level in the positive stable state is chosen as reference level in this description.
parameter
description
trap level in the neutral stable state
trap level in the neural metastable state
trap level in the neural metastable state
square of the curvature ratio of state and
square of the curvature ratio of state and
relaxation energy from state to
relaxation energy from state and
activation energy from state to
activation energy from state to
With these energy barriers, the full set of rates reads
The probability of the defect to be in state is obtained from the master equation of this first-order Markov chain as [67]
With these rates, the time constants for the transitions via state and can be computed as [67]
to obtain the total capture and emission time constants
Simulations with this model correctly reproduce all features observed experimentally for fixed positive charge traps and switching oxide traps as shown in Fig. 3.11 .
Abbildung 3.11: The calculated time constants with the 4-state NMP model (lines) correctly reproduces all experimental features (circles) obtained for fixed positive charge traps (left) and switching
traps (right). After [GRT2].
Modeling the Recoverable Component of BTI: Ensemble of Defects
With this accurate model for single defects, the total degradation of MOS devices due to pre-existing defects can be simulated in a straightforward manner by Monte Carlo sampling: Assuming a constant defect concentration in the oxide within the width , length , and thickness , the average number of defects is . It is commonly assumed that the
random fluctuations of number of defects follow a Poisson distribution [110, 117]:
Each of these defects in the amorphous oxide has a unique configuration resulting in slightly different CC diagrams as mentioned in the previous subsection. The actual distributions and possible correlations of the parameters describing the CC diagrams cannot be
determined directly, and first-principles simulations and experimental studies can only give vague ideas [GRC21]. The naive assumption commonly used for the 4-state NMP model are independent and normally distributed parameters [GRC15]. As an
example, a distribution of defects and their CC diagrams is shown in Fig. 3.12 . Following the model outlined above, each of these defects has distinct capture and emission time constants as a function of the
gate voltage (see Fig. 3.13 ).
Abbildung 3.12: Left: A band diagram of a SiO2 pMOSFET with a random distribution of oxide defects in positive (red circles) and neutral states (blue circles). Right: The schematic distribution of CC diagrams of such a
device for two different gate voltages. After [GRC2].
Abbildung 3.13: The capture and emission time constants of an ensemble of defects computed with the 4-state NMP model. The characteristic features of the fixed positive oxide charges (red) and the switching traps
(yellow) are visible around V. After [GRC13].
The charges stored in each of these defects can be computed
based on the occupation probabilities as
There are several options how to compute the impact of these charges on the threshold voltage of
MOS. In the simple charge sheet approximation for an oxide with the thickness , the width , the length , the relative permittivity , the vaccum permittivity , and the number of defects , the impact evaluates to [111, 136]
Towards Hydrogen Release: The Quasi-Permanent Part
The discussion above was limited to pre-existing oxide defects in the 4-state NMP model, hence, covered the recoverable component of BTI. While the quasi-permanent component was coupled directly to the recoverable part in the two-stage
model, they are treated separately in the 4-state NMP model. Thus, in order to describe the full degradation at BTI conditions, the 4-state NMP model has to be complemented by a description of the quasi-permanent part. The field-dependent thermal transition model was
used for this purpose previously [GRC15], see Subsection 3.3.2 . While the 4-state NMP model describes single defect level in considerable detail, the decoupling from the
quasi-permanent component is unsatisfying given the number of studies which indicate a mechanism coupled via hydrogen relocation [35, 144, 145]. This motivated further research which led to the development of the gate-sided hydrogen release model
[GRC20] as presented in the following.
3.4.3 Gate-Sided Hydrogen Release Model
The gate-sided hydrogen release model [GRC20] is an evolution of the 4-state NMP model which considers the role of hydrogen as a link between the recoverable and the quasi-permanent component of BTI. In the following, evidence for hydrogen being involved in
BTI will be presented and the implementation of hydrogen mechanisms in the gate-sided hydrogen release model will be discussed.
Motivation for the Model
Hydrogen has long been suspected of activating, creating or altering defects or interface states at NBTI conditions. Studies (listed chronologically) have suggested that
• Degradation induced by vacuum-ultraviolet irradiation does not recover if the sample is subjected to large negative gate bias. However, at zero gate bias and positive gate bias, the sample does recover, and, deduced from deactivation of boron “the experiments
unambiguously show that H is released during the decay of donor states and not when annealing is inhibited ” [144].
• The exposure of a Si/SiO2 sample with atomic hydrogen from a remote plasma induces a much larger interface state density (determined by electrical measurements) compared to the increase in silicon bond density (measured with ESR) [146]. Experiments with
hot-electron stress indicate the same [147].
• Temperature treatment at increases the number of precursors for fast interfacial states while it does not affect the
number of oxide traps which cause a shift of the threshold voltage. This effect is pronounced for temperature treatments in forming gas anneal. The defects induced by this treatment are found to differ from the original defects as they can be annealed without supplying
hydrogen and saturate after moderate stress times [145].
• NBTI stress induces an increase of interface states in general, accompanied by an increase of density in SiO2 based pMOSFETs [148].
• The hydrogen concentration in the near-interfacial region increases during NBTI stress [35].
• After NBTI stress, followed by one week of recovery, the ratio of the total threshold voltage shift to the threshold voltage shift deduced from charge pumping is roughly 1:1 [149].
• centers are generated on hydrogen-passivated
Si/SiO2 interfaces during NBTI stress while they are reduced on hydrogen-free Si/SiO2 interfaces [150].
• Defects which capture holes at NBTI conditions can become inactive for an extended period of time. This volatility was suggested to be due to the relocation of hydrogen atoms [151].
Mechanisms Considered in the Model
In the search for a physical mechanism which is consistent with these observations and with the studies on the two-stage model and the 4-state NMP model, Grasser et al . conducted long-term measurements (up to 90
days) during which the quasi-permanent component was constantly monitored [GRC20]. These measurements employed a pragmatic definition for the quasi-permanent component which relies on sweeps removing most of the recoverable component
[GRC20]. The experiments revealed that during recovery at zero gate bias and additional defects are created, see Fig. 3.14 . In the model, these defects are described as activated precursors due to additional hydrogen which is released from a gate-sided reservoir at elevated temperatures [GRC20].
Abbildung 3.14: The measurement of the quasi-permanent component (circles) saturates in the stress phases B, D, F,
and H with . All other phases have zero gate bias, still there are
new defects created during phase G with for a long time. These defects are suggested to be created due to hydrogen released from a
gate-sided reservoir [GRC20]. In the model, the hydrogen concentration (gray line) increases accordingly and as opposed to the model without the reservoir (dashed blue), the full gate-sided hydrogen release model (red line) is in agreement with the experimental
data. After [GRC1].
In addition to this mechanism, the gate-sided hydrogen release model accounts for a redistribution of hydrogen within the oxide: In this model, hydrogen at a defect site can only be released in the neutral stable defect configuration which corresponds to state in the 4-state NMP description. As a consequence, defects which are neutralized during stress can
release atomic hydrogen. This hydrogen redistributes quickly in the oxide [152] to find a precursor with which he can transform into a positive defect. Thus, defects which are favorably charged positively at stress conditions will more likely bind a hydrogen [GRC20]. For
the case of NBTI, this causes a deactivation of defects close to the gate during stress followed by an increase of active defects and hydrogen in the near-interfacial region as depicted in Fig. 3.15 .
Abbildung 3.15: The gate-sided hydrogen release model extends the 4-state NMP model by two mechanisms: I) The total hydrogen concentration in the oxide is controlled by a gate-sided reservoir which is thermally
activated (bottom right). II) Atomic hydrogen can be released from defects in the neutral configuration (bottom left) to redistribute subsequently and activate an energetically more favorable precursor (bottom right). After [GRC1].
The gate-sided hydrogen release model was subsequently extended to also account for the creation of centers. This is a natural extension for this model as the
atomic hydrogen which redistributes after stress can easily depassivate SiH bonds to create centers [120]. With the full gate-sided hydrogen release
model as depicted schematically in Fig. 3.16 , all of the findings listed above can be understood consistently which enables unified modeling of various aspects of BTI [GRC3].
Abbildung 3.16: The schematic band diagram for the full gate-sided hydrogen release model indicating the more stable primary configurations (circles) compared to the metastable states with higher trap levels (squares). Atomic
hydrogen can activate 4-state NMP precursors and can be released again in the neutral stable configuration (state ). Additionally, the atomic hydrogen can depassivate centers (squares at the channel interface) which then can be
positive (red), neutral (gray), or negative (green), depending on the Fermi level. After [GRC3].
Concise Mathematical Description
Mathematically, the gate-sided hydrogen release model builds on top of the 4-state NMP model with the occupation probabilities , , , and of its states, see Eq. (3.53 ) - (3.56 ). For numerical convenience, “oxide sites” are defined as a local collection of hydrogen trapping sites which can trap hydrogen atoms via exchange with the hydrogen reservoir
from state . For each oxide site the trapped number of hydrogen atoms gives its total positive charge
With the rates of hydrogen capture and hydrogen release , the rate equation reads
where is the number of interstitial hydrogen atoms. This interstitial hydrogen is coupled to the
gate-sided hydrogen reservoir as
with the rates for hydrogen being released from the reservoir and captured in the reservoir . The total number of hydrogen atoms must stay constant:
Finally, the depassivation of centers can be described following a reaction-limited model
[29]. With the above, a coupled system of defect generation and charging is described. Its rates are governed by activation energies as the diffusion of hydrogen is found to be too fast to affect the degradation of thin oxides above room temperature [152].
CERV
4 Compact-Physics Framework: Comphy
Very detailed BTI models were presented in the last chapter which can describe various reliability phenomena related to oxide degradation. However, these models are rather complex and the extraction of the model parameters is a tedious task which requires in-depth
knowledge of the underlying physics and considerable computational power. Still, these models are very useful to investigate the essential mechanisms of oxide degradation. Step by step we developed concise physical models which accurately describe the mean
degradation due to BTI. In this chapter, we will present this framework called Comphy , short for “compact-physics”.
4.1 Electrostatics
The description of the electrostatics is vital for every physical degradation model. In this section, we will first review the basics of semiconductor modeling which will then be employed to solve the electrostatics of a 1D MOS device.
4.1.1 Band Gap
A review of analytic expressions for the temperature dependence of the silicon band gap is found in the work of Green [153]. Bludau’s experimental work on the band gap of silicon was captured
well with a degree polynomial model with the coefficients for the temperature range
of to K as [154]
and in the range of K to K as [154]
For temperatures above K, Green suggested the expression below, adopted from
Macfarlane et al . [155]:
The latter approximation gives good results for elevated temperatures which are typically used in accelerated BTI studies. A comparison of the approximations together with the experimental data is shown in Fig. 4.1 .
Abbildung 4.1: The temperature dependence of the band gap of silicon was measured in 1958 by Macfarlane et al . [155]. This data is shown here (circles) corrected by the
excitation binding energy of eV [156]. Bludau et al. obtained similar values
(diamonds) and suggested a model for low temperatures (dashed blue) and moderate temperatures (dashed green) [154]. Based on that, Green suggested a first-order approximation (red) which is valid for higher temperatu-
res [153].
4.1.2 Effective Carrier Masses
The effective mass calculations of Barber in 1967 [157] were improved later in 1981 by Madarasz et al. [158]. Based on this work, Lang et
al . gave the following polynomial fitted expression for the effective mass of the valence band of silicon [159]:
The corresponding coefficients are [159]:
For the effective mass of the conduction band Green
proposed a refinement of the work of Barber to account for the temperature dependence as [153]
Here we use Eq. (4.1 ) to compute . The effective masses as a function of the temperature are
shown in Fig. 4.2 .
Abbildung 4.2: The temperature dependence of the effective mass for the valence band (red) is computed following Lang et al. [159], compare Eq. (4.2 ).
The temperature independent effective mass for the conduction band (dashed blue) following the work of Barber [157] is shown together with the temperature dependent refinement (solid blue) proposed by Lang
et al. [159], compare Eq. (4.3 ).
4.1.3 Effective Density of States
The effective density of states of the conduction band and of the valence band are given by [79]:
with the number of equivalent conduction band minima for silicon.
4.1.4 Carrier Concentrations at Thermal Equilibrium
While the intrinsic carrier concentration of a semiconductor is simply [79]
the electron concentration is given by the density of states and their occupation probability
function :
Fermi-Dirac Distribution
With the Fermi-Dirac distribution function as
and a parabolic density of states with the effective density of states of the conduction band , the electron concentration for thermal equilibrium conditions
evaluates to [79]
with the conduction band edge . Since this integral cannot be evaluated analytically, there are
several approximations, two of which are discussed in the following.
Boltzmann Approximation
For non-degenerated semiconductors with and the Fermi-Dirac distribution approaches
the Boltzmann distribution and the carrier concentration of electrons and holes for thermal equilibrium conditions can be approximated by
Joyce-Dixon Approximation
In 1977 Joyce and Dixon extended the Boltzman approximation with a polynomial term [160] as
with following coefficients [160]:
With these four coefficients, this approximation is valid for a much wider range of degeneracy up to .
Fermi Level at Thermal Equilibrium
The Fermi level in the channel of a doped MOS device for thermal equilibrium ( ) can be obtained as follows. Assuming that all
dopants in the semiconductor are ionized, charge neutrality prevails if
holds, where is the concentration of acceptors and the concentration of donors. For non-degenerated
semiconductors in thermal equilibrium with this gives for n-type semiconductors ( ) [79]
and analogously for p-type semiconductors ( )
Thus, can be evaluated given the intrinsic Fermi level
as [79]
4.1.5 Electrostatics of a 1D MOS Device
With the basic semiconductor equations outlined above, we now can compute the electrostatics of 1D MOS devices. First, this will be shown for an ideal, defect-free, MOS device. Afterward, we will discuss three options of different accuracy to consider oxide
charges. Finally, we will show a simplified approach to obtain the electrostatics which requires the surface potential as an input quantity.
Charge-Free Oxide
In order to compute the surface potential at the interface between the channel and the oxide of a 1D
MOS device without oxide charges, we employ an iterative solver following the scheme presented in Fig. 4.3 with the input quantities listed in Table 4.1 and the computed quantities listed in Table 4.2 .
The total space charge (per unit area) in the channel as a function of the
surface potential can be written as [79]
with positive sign for and negative sign for and the Debye length for holes given as
Furthermore, with the effective1 gate width and length , the capacitance of the oxide is
and simple electrostatics give (see Fig. 4.4 )
Tabelle 4.1: Input quantities for electrostatics in Comphy.
quantity
description
concentration of acceptor doping of the channel
concentration of donor doping of the channel
intrinsic work function difference, see Eq. (4.28 ) and Fig. 4.5
gate voltage
relative permittivity of the channel
relative permittivity of the oxide
thickness of the oxide
Tabelle 4.2: Computed quantities in Comphy.
quantity
description
equation
band gap of the channel
Eq. (4.1 )
effective carrier concentration of the conduction band
Eq. (4.3 )
effective carrier concentration of the valence band
Eq. (4.2 )
effective density of states of the conduction band
Eq. (4.4 )
effective density of states of the valence band
Eq. (4.5 )
Fermi level in the channel at thermal equilibrium2
Eq. (4.17 ) & (4.20 )
electron concentration at thermal equilibrium
Eq. (4.15 ) & (4.18 )
hole concentration at thermal equilibrium
Eq. (4.16 ) & (4.19 )
total space charge obeying the Poisson equation
Eq. (4.22 )
surface potential obeying the Poisson equation
Eq. (4.29 )
Fermi level of the channel at the interface to the oxide
Eq. (4.32 )
electron concentration of the channel at the interface
Eq. (4.12 )
hole concentration of the channel at the interface
Eq. (4.13 )
electric field at the interface
Eq. (4.30 )
electrostatic potential across the oxide
Eq. (4.31 )
Abbildung 4.3: In order to compute the carrier concentrations and at the interface of the channel of a 1D MOS device and the elec-
trostatic potential across the oxide, the surface potential has to be calculated. As depicted here schematically, this
can be done following the approximation of the total space charge based on the Poisson equation derived in [79] in
an iterative scheme with the input quantities listed in Table 4.1 and the computed quantities listed in Table 4.2 .
Abbildung 4.4: A schematic band diagram of a pMOSFET with V (top) and the corresponding electrostatic potential
(bottom). With the voltage drop across the oxide , the surface poten-
tial can be computed following Eq. (4.29 )
and the oxide field as given in Eq. (4.30 ).
With
and the work function difference defined as
Eq. (4.25 ) can be evaluated in an iterative scheme to obtain . However, is an input quantity in this approach but,
at the same time, is a function of which is readily defined by the doping
concentrations3 which are input quantities as well. Thus, we employ the intrinsic work function difference given by (see Fig. 4.5 )
to obtain from solving the following equation an iterative scheme:
Based on the surface potential , the electric field of the charge free oxide can be computed in a
straightforward manner (see Fig. 4.4 ) as
Abbildung 4.5: A schematic band diagram of a pMOSFET with equals the flat band voltage . The work functions and are defined as the difference of the vacuum
energy and the respective Fermi levels and constitute
the work function difference .
However, as simulation input, it can be advantageous to specify the intrinsic work function difference .
and the electrostatic potential across the oxide is given by
Note that this scheme can be extended for oxide stacks with multiple layers of arbitrary permittivities and thicknesses but is presented here for a single layer oxide for clarity. Since can be determined by as
the carrier concentrations of holes and electrons at the interface of the channel can now be evaluated using the Joyce-Dixon approximation given in
Eq. (4.13 ) & (4.12 ).
Oxide Charges Decoupled from Poisson Equation
As discussed above, the scheme presented in Fig. 4.3 applies to oxides without any charges as they do not enter the approximation of the surface potential given by Sze in [79]. A simple and
computationally efficient way to estimate the impact of charges in the oxide on the threshold voltage of the MOS device is given by the charge sheet approximation , see Eq. (3.65 ). This approximation is
valid for low net concentrations of charges in the oxide as they are computed fully decoupled from the Poisson equation in a postprocessing step. This method is particularly efficient because it is robust for arbitrary sparse sampling in the time domain.
Non Self-Consistent Poisson Scheme
In the non self-consistent Poisson (NCP) scheme, the oxide charges are neglected in the first time step but for all following time steps the impact of the oxide charges obtained from the charge sheet
approximation, enters the Poisson equation via an effective gate voltage as
This scheme requires a reasonably fine sampling in the time domain, but the reduction of the electric field due to charges in the oxide is well approximated, in particular if the net concentration of oxide charges is low in the first time step. Note that a qualitative
comparison between these schemes is difficult because the accuracy strongly depends on the device and defect properties as well as on the stress conditions.
Self-Consistent Poisson Scheme
The most accurate way to consider charges in the oxide is to account for them in the Poisson equation in a self-consistent manner. In this self-consistent Poisson (SCP) mode, the scheme presented in Fig. 4.3 is extended to consider oxide charges in the iterative computation of and this scheme is put into an outer iteration loop to correct
the charges of the oxide defects according to the updated electrostatics self-consistently. For this, the electrostatic impact of the oxide charges has to be considered in Eq. (4.29 ) to determine the surface potential as
where is the sum of the electrostatic impact of the
oxide charges projected to the gate according to the Poisson equation. Once the above equation has converged, the resulting is used to compute the electrostatic potential across the device, again under consideration of the
oxide charges following the Poisson equation. This updated potential may affect the charge state of oxide defects which have to be updated accordingly. Solving the above equation again with the updated charges gives a difference in the surface potentials which has to be
smaller than the criterion for the time step to converge.
Surface Potential as an Input Quantity
Alternatively to calculating the surface potential following the scheme given in Fig. 4.3 , can also be supplied as an external function to
obtain the carrier concentrations and the electrostatic potential of the 1D MOS device. This can be useful since the surface potential can be roughly deduced from experimental capacitance-voltage (CV) curves directly [161] or from other device simulators. In this case, the
input quantities , , , and are not used and instead has to be supplied. The evaluation of the
electrostatics is straightforward then as it does not require an iterative solver anymore, however, note that the SCP scheme cannot be applied anymore, since is a fixed function of the gate voltage.
Abbildung 4.6: Alternatively to the scheme presented in Fig. 4.3 , the carrier concentrations and at the interface of the channel of a 1D MOS device and the elec-
trostatic potential across the oxide can be computed based on a given surface
potential . The remaining quantities here are still computed as
listed in Table 4.2 based on the quantities given in Table 4.1 , except that and are now treated as input quantities.
4.2 Tunneling
At BTI conditions, charge trapping is typically determined by quantum-mechanical tunneling. The wavefunction of carriers in the gate and the channel penetrates into the oxide to defect sites resulting in a finite tunneling probability which can be determined by solving the Schrödinger equation. A frequently employed approach to
obtain for various barrier shapes is based on the WKB approximation [162] which reads [79]
with the effective tunneling mass , the potential of the barrier , the energy of the carrier and the barrier width . The tunneling probability between a carrier
reservoir and a defect in the oxide at the distance can be obtained from the product of the tunneling
probabilities of the segments along this distance with the band edge approximated to be linear within each segment. Thus, has to be solved for arbitrary linear energy barriers which can be obtained from the integral
above, distinguishing two cases: direct tunneling with a trapezoidal energy barrier shape and Fowler-Nordheim tunneling [163] with a triangular energy barrier shape. With the energies depicted in Fig. 4.7 , the equation for direct tunneling reads
and is valid for all values within the regime of direct tunneling, defined by and . In the regime of Fowler-Nordheim tunneling
defined by , the equation reads
Abbildung 4.7: Schematic band diagram showing a carrier with the energy tunneling through an energy barrier with the width in the regime of direct tunneling ( and ) and in the regime of Fowler-Nordheim tunne-
ling ( ).
4.2.1 Band Edges in the Vicinity of Interfaces
Usually, the band edges of stacked materials are approximated by the respective bulk values with abrupt transitions at the interfaces. This is a good approximation for layers where bulk properties can establish and the transition region between the materials is small
compared to the layer thicknesses. However, in aggressively scaled high-κ technologies below the nm node, the interfacial SiO2 layers are merely a few Ångström thick and the properties of these
thin layers are affected by the adjacent material and imperfections of the interface. A first-principles simulation result is given for the Si/SiO2 interface in Fig. 4.8 . A transition from silicon to the amorphous
oxide is visible in this DFT simulation where the silicon lattice is distorted because of compensating forces induced by the amorphous structure on top. While the concept of band edges itself can be questioned in such small structures, we argue that the tunneling
probability is underestimated if abrupt transitions of the band edges to the respective bulk values are applied. To
improve this we suggest approximating the band edges for the evaluation of the tunneling probability by ramps in the transitional region. This is in line with calculations of other groups [164–167] as shown in Fig. 4.9 .
Abbildung 4.8: A nm thick amorphous SiO2 layer on top of crystalline silicon was created following the approach in-
troduced in [168] and simulated using DFT. The ball-and-stick model (top) shows the oxygen atoms (red spheres) and silicon atoms (yellow spheres) accordingly. The distortion of the silicon lattice is visible close to the interface and also the oxide is affected which manifests
in a gradual change of the density of states (white density) in the vicinity of the nominal interface of this structure (bottom). Approximated band edges are indicated for the conduction band (red line) and for the valence band (blue line). After [GRJ2].
Abbildung 4.9: A band diagram of a high-κ device to motivate the approximation of the band edges around the interfaces of aggressively scaled technologies. Abrupt transitions of the band edges at the interface
to the respective bulk values lead to an underestimation of the tunneling probabilities of such structures. More accurate values are obtained when ramps at these interfaces are considered for the computation of the tunneling probabilities. Comparison with values from
literature indicates a transitional region at the Si/SiO2 interface [164, 165, 167] and the SiO2 /HfO2 interface [166] of about nm and nm, respectively. As a reference, the results from DFT studies are shown for the Si/SiO2 interface
(circles: scaled in energy to fit the SiO2 band gap) [164] and for the SiO2 /HfO2 interface (diamonds) [166]. After [GRJ2].
4.3 2-State NMP Model
As we have established the device electrostatics above, the charge trapping kinetics of pre-existing oxide defects can be evaluated now. For this, we employ a 2-state NMP model which we will briefly outline and compare to existing NMP models in the first subsection.
After that, we will discuss the modeling details of individual 2-state NMP defects and how the properties of these defects are distributed to describe BTI degradation. Finally, we will review an approach to consider the frequency dependence due to metastable states using
effective 2-state models.
4.3.1 Comparison of 2 and 4-State Models
Tewksbury’s MPE model was the first model which employed the NMP theory to describe BTI during stress and recovery successfully [135, 136]. This model featured a 2-state NMP transition which was later refined to four states by Grasser et al. as discussed in Subsection 3.4.1 . In particular the 4-state NMP model was successfully applied to model various features related to
BTI in a unified fashion [GRJ5, GRC14–GRC16]. However, based on the results of the 4-state NMP model it was later shown that the essential features of the mean degradation at BTI conditions can be captured reasonably well with two states already
[GRC2].
As shown in Subsection 3.4.2 , a single defect is described in the 4-state NMP model with nine parameters (see Table 3.1 ). A simple
2-state NMP defect which does not consider any metastable states can be described with three instead of nine parameters, see Table 4.3 . An example of CC diagrams of single defects for both
models are shown in Fig. 4.10 .
Tabelle 4.3: Parameters of a single defect in the 2-state NMP model .
parameter
description
equation
trap level
square of the curvature ratio of state and
Eq. (3.39 )
relaxation energy from state to
Eq. (3.38 )
Typically, all nine parameters of the 4-state NMP model are assumed to be independent and normally distributed while the defects are assumed to be distributed uniformly in space [GRC15]. Similarly, in the 2-state NMP model, we assume normal distributions of
and and uniform distributions in space, however, in exemplary studies the distribution of was found to be narrow, hence, is approximated to be constant [GRC2]. This leaves three distributed parameters for a defect band
described with the 2-state NMP model. The corresponding distributions are depicted in CC diagrams in Fig. 4.11 .
Abbildung 4.10: CC diagrams of a single defect described by the 4-state NMP model (left) and by the 2-state NMP model (right). The corresponding parameters are listed in Tables 3.1
and 4.3 for the 4-state and 2-state NMP model, respectively. After [GRC2].
Abbildung 4.11: CC diagrams of a 4-state NMP (left) and a 2-state NMP defect band (right). While the former is based on nine normally distributed parameters, the latter is described with the two distributed parameters and . is approximated to be constant for defect bands described with the 2-state NMP model. For both models,
the defects are assumed to be uniformly distributed in space. After [GRC2].
While there are certainly differences in the description of the 2-state and the 4-state NMP model at the single defect level , it is important to verify that the mean degradation of at BTI conditions can be captured by the 2-state NMP
model. Furthermore, for a reliable lifetime extrapolation it must be ensured that simulations with the 2-state NMP model still capture the gist of the degradation in a physical manner. To evaluate this, we have simulated an exemplary BTI multi-state stress
pattern on a nm thick SiO2 device with the full 4-state NMP model implemented in a TCAD simulator [169]
and compared the result to the 2-state NMP model implemented in the device simulator described in Section 4.1.5 . For this comparison we have used the 4-state NMP model parameters previously
extracted for SiO2 oxides [GRC16] and used the same values for and in the 2-state NMP model, while and were optimized to obtain a match with the results from the 4-state NMP model, see Fig. 4.12 . These simulations indicate that and retain their physical meaning while the parameters and are effective quantities which abstract the physics from all four states [GRC2].
Abbildung 4.12: For verification of the abstraction of the 4-state NMP model with the 2-state NMP model, we simulate the degradation of a nm thick SiO2 device with 4-state NMP parameters extracted previously [GRC16] and optimize
and of the 2-state NMP model while using the same values for and as in the 4-state NMP model [GRC2]. For a multi-level stress
pattern (top) the mean degradation is simulated at two different temperatures (bottom) with the
4-state NMP model and the 2-state NMP model (with Monte Carlo sampling with k defects and sampling on a grid as described in Subsection 4.3.3 ).
The stress times of each phase are s and the results are shown on separate logarithmic scales with 20 samples each, starting ps after the previous phase to bring out all features of the degradation. After [GRC2].
4.3.2 Modeling of Single Defects
In Subsection 4.1.5 three schemes to evaluate the impact of oxide charges on were discussed:
• Simple charge sheet approximation: Oxide charges are neglected in the Poisson equation.
• Non self-consistent Poisson (NCP) equation: Oxide charges enter the Poisson equation via an effective .
• Self-consistent Poisson (SCP) equation: Oxide charges are considered in the Poisson equation in a self-consistent manner.
All three schemes rely on the net charge of single defects. To obtain this charge for
2-state NMP defects, the occupation probabilities of state and of state have to be computed and multiplied with the charge of the respective state. For donor-like
defects with a neutral state and a positive state this gives
and for acceptor-like defects with a negative state and a neutral state this gives
In both cases, the Master equation for the occupation probabilities reads
and must hold. In the above equations, is the electron emission and the electron capture rate of the defect
interacting with the carrier reservoir . The total rates and of a defect are the sum of the rates of all carrier reservoirs. In Comphy, the carrier reservoirs
are
• the valence band of the channel,
• the conduction band of the channel, and
• the metal gate.
The solution of the above differential equation then reads
Below we will discuss the rates and for the conduction band of the channel.
The rates for the other carrier reservoirs are obtained analogously. Based on Eq. (3.26 ) and Fermi-Dirac distributions we get [GRT2]
where
• is the electron concentration at the interface following Eq. (4.12 ),
• is the thermal velocity,
• is the capture cross section of
electrons,
• is the tunneling probability for electrons following Eq. (4.35 ),
• is the thermodynamic
beta,
• is the trap level of the defect,
• is the Fermi level at the interface following Eq. (4.32 ), and
• is the energy
barrier from state to following Eq. (3.41 ) and (3.42 ).
Hence, a 2-state NMP defect can be described with the three parameters listed in Table 4.3 . The corresponding schematic CC diagram is shown in Fig. 4.13 . Note that the capture time constants and the emission time constants of a 2-state NMP defect are simply the inverse of the
corresponding total rates. If not stated otherwise, “capture” refers to a hole being captured by the defect.
Abbildung 4.13: A schematic CC diagram of a donor-like 2-state NMP defect with the neural state and the positive state . The energy barriers and of the NMP process depend on the gate vol-
tage since the parabolas are shifted according to the difference of the electrostatic potential at the defect site and at the carrier reservoir, see Eq. (3.40 ).
Transition Rates and Approximations
While the evaluation of the transitions rates following Eq. (4.43 ) and (4.44 ) is straightforward to implement and efficient to compute, it has to be noted that in
the derivation based on Eq. (3.36 ) all carriers of the respective reservoir are assumed to have the same energy [GRT2]. Usually, this is chosen to be the energy of the band edges, and this approach is called band
edge approximation , accordingly. This approximation gives good results for defects in the strong electron-phonon coupling regime where the intersection of the parabolas of the two charge states is between the minima of the respective states. However,
the exact evaluation of the energy integral in Eq. (3.36 ) using Fermi-Dirac distribution functions can give substantially different results for defects in the weak electron-phonon coupling regime where the
parabolas do not intersect between the minima of the two charge states. In particular, if the curvatures of the parabolas are such that there is no intersection in the weak electron-phonon coupling regime at all, the resulting rates using Eq. (4.43 ) and (4.44 ) can become zero while the exact evaluation gives substantially different results. The limiting cases for this phenomenon are shown in CC diagrams in
Fig. 4.14 and the corresponding time constants are shown in Fig. 4.15 . As can be seen in these figures, the band edge approximation fails to
describe the time constants in certain cases. This can be improved in a computationally very efficient way by evaluating the energy barriers in the weak electron-phonon coupling regime as listed in Table 4.4 [GRJ2]. This pragmatic FD approximation for the transition rates simply sets to the difference of the energy minima
given in Eq. (3.40 ) in the case of valence band interaction in the weak electron-phonon coupling regime where eV holds. Furthermore, is set to zero in the case of conduction band
interaction in the weak electron-phonon coupling regime where eV holds, and for interaction with the
metal gate both approximations are combined. All other cases are solved according to Eq. (3.41 ), see Table 4.4 .
Abbildung 4.14: CC diagrams of a donor-like 2-state NMP defect ( nm, eV, eV, ) interacting with the channel of an nMOSFET. With increasing gate voltage the parabola which represents the neutral state is shifted towards more negative energies. Above V (left) there is no intersection for interaction with car-
riers at the conduction band edge (represented by red parabolas) and the total transition rate will be governed by the interaction with the valence band (represented by blue parabolas). At even larger gate voltages above V (right), there is no intersection of the parabolas due
to interaction with the valence band edge , however, excited carriers can still interact with the defect. The corresponding time constants are shown in Fig. 4.15 . After [GRJ2].
Abbildung 4.15: The time constants of the same defect as in Fig. 4.14 at K with three different approximations: a) The exact solution of the energy integral in Eq. (3.36 ) using Fermi-Dirac distribution functions (“FD integral ”). At negative gate voltages, the defect captures charges quickly and will be positively charged. However, with increasing gate voltages, the defect
will shift below the Fermi level of the channel and will be mostly neutral above V. Around V there is a discontinuity in the time constants becau-
se carriers of the conduction band cannot interact with the defect anymore. b) The time constants are similar for the approximation of carriers at the band edges as used in Eq. (4.43 ) up to V. Above this voltage, the approximation fails because
the time constants are then governed by excited carriers while carriers at the valence band edge cannot interact with the defect anymore. c) With the approximation of the energy integral given in Table 4.4 (“FD
approx. ”), the discontinuity around V is resolved and the resulting time constants are in the
same range as of the computationally very expensive energy integral. After [GRJ2].
Tabelle 4.4: Evaluation of the energy barriers in the weak electron-phonon coupling regime following the FD approximation for the transition rates of 2-state NMP defects [GRJ2].
(val. band)
(cond. band)
(metal)
eV
Eq. (3.41 )
eV
Eq. (3.41 )
eV
eV
4.3.3 Ensembles of Defects
As discussed in Subsection 4.3.1 , the mean degradation due to oxide defects is quantified in Comphy by the threshold voltage shift arising from of all single oxide defects. The
mean number of oxide defects due to a 2-state NMP defect band is evaluated as
where and are the effective gate oxide width and length, and is the constant defect concentration of this defect band
located between and away from the channel interface. With the distributions of
the parameters discussed in Subsection 4.3.1 , this gives the input parameters for a defect band in Comphy listed in Table 4.5 .
Monte Carlo Sampling of Defect Bands
In order to simulate , a set of single 2-state NMP defects has to be sampled from
the defect bands described above. This can be done following a simple Monte Carlo sampling of defects from the distributions given in Table 4.5 . A set of defects is depicted in the band diagram together with
their CC diagrams in Fig. 4.16 and the corresponding time constants are shown in Fig. 4.17 . On small devices with a limited
number of defects, this approach reflects the native variability due to oxide defects and enables studies thereof. However, if the mean degradation is of interest, a large number of defects have to sampled with this approach to get an accurate
result.
Defect Bands Sampled on a Grid
A more efficient way to compute the mean degradation due to a defect band compared to sampling a large number of defects in a Monte Carlo fashion, is to use weighted samples on a grid . This is illustrated in Fig. 4.18 for the three dimensions spanned by the distributed parameters of the 2-state NMP model in Comphy, see Table 4.5 . In this grid
mode , each parameter is sampled equidistantly and weighted according to the integral of the respective interval. This is done based on the definition of the grid distance which spans the space between and for the uniform defect concentration . The normally distributed parameters and are also sampled with a given grid distance. However, the boundaries of these grid spaces result from
the probability where the tails of the normal distributions are cut off. The parameters defining the grid are summarized in Table 4.6 . As an example, a device simulated in both modes, Monte Carlo sampling
and sampling on a grid, see Fig. 4.19 . The corresponding CC diagrams are shown in Fig. 4.20 . Note that the sampling on
a grid is only feasible for a limited number of distributed parameters since it scales exponentially with the number of dimensions. For example, sampling the nine distributed parameters of the 4-state NMP model (see Table 3.1 ) on a grid is impractical because of the huge amount of sampling points, even for sparse grids. A Monte Carlo approach has to be used there.
Tabelle 4.5: Parameters of a defect band in the 2-state NMP model.
parameter
description
unit
normally distributed trap level
eV
normally distributed relaxation energy
eV
constant square of the curvature ratio
1
uniform defect concentration
cm
,
spatial location of defect band
m
Tabelle 4.6: Parameters specifying the grid on which the 2-state NMP defects are sampled in the grid mode .
parameter
description
unit
spatial grid distance
m
grid distance for trap levels
eV
grid distance for relaxation energies
eV
maximum cut-off probability for the tails of the normal distributions
1
Abbildung 4.16: A band diagram (left) of a high-κ nMOSFET with donor-like 2-state NMP defects (circles) sampled in a Monte Carlo fashion based on a defect band defined by the parameters listed in Table 4.5 and the corresponding CC diagrams (right). The underlying distributions of the trap level and defect concentration manifest in the band diagram, while the distributi-
on of the relaxation energy is visible in the CC diagram. Together with the constant square of the curvature ratio , all properties of the 2-state NMP defects are defined and their transient charge can be evaluated consi-
dering the device electrostatics introduced in Subsection 4.1.5 . In the CC diagram, the mean potential energy surface of state (thick black) is shown in addition to the potential energy surfaces of the single defects (gray lines) whose
energy minima were shifted along the CC to better illustrate the distribution of . The energy barriers and (not marked) are obtained from the respecti-
ve energy minima to the intersection point with the parabola representing the conduction band edge (thick red) or the valence band edge (thick blue). The time constants of these defects are shown in Fig. 4.17 .
After [GRJ2].
Abbildung 4.17: The capture and emission time constants of the defects shown in Fig. 4.16 at K. The time constants of a defect with the mean values specified for the underlying defect band
are shown in color. In accordance with experimental studies [67, 170], a broad distribution of time constants and a pronounced gate voltage dependence is observed. After [GRJ2].
Abbildung 4.18: Schematic sampling of 2-state NMP defects for the Monte Carlo approach (left) and the sampling on a grid with weighted points where each represents a number of 2-state NMP defects accor-
ding to the underlying distributions (right). The parameters of the 2-state NMP defects are listed in Table 4.3 and the parameters which specify the grid are listed in Table 4.6 .
Abbildung 4.19: A pMOSFET ( V, nm of SiO2 ) with 2-state NMP defects sampled in a Monte Carlo fashion (left) and on an equi-
distant grid with weighted points (right). The number of 2-state NMP defects represented by the grid points is indicated by the size of the circles while the color indicates their charge state for the steady state case. A grid with nm, , eV, and eV was used (see Table 4.6 ).
The sampling of the latter is not visible here, since defects with different but same and lie on top of each other in the band diagram but it can be seen
in the CC diagrams in Fig. 4.20 . After [GRC2].
Abbildung 4.20: The CC diagrams corresponding to Fig. 4.19 for 2-state NMP defect band sampled in a Monte Carlo fashion (left) and
on an equidistant grid with weighted points (right). After [GRC2].
4.3.4 Effective 3-State Frequency Dependence
Whether BTI exhibits an inherent frequency dependence4 at high frequencies is debated with several studies reporting no frequency dependence at all [171, 172]. However, in 2016 an experimental study with on-chip measurements [173] gave strong
support for a 3-state frequency dependence [142]. While 2-state defects do not show an inherent frequency dependence, charge trapping of defects with three or more states can exhibit a frequency dependence if a metastable state is involved. Assuming such a metastable
state between the neutral state and the positive state , the capture process depends on the occupation probability of state and the transition rate . If this state has a large transition rate at low voltages5 , will be small for high frequencies which inhibits charge
capture. However, at low frequencies, the defect can still capture charges if is large compared to the frequency.
This mechanism can be considered in an effective 2-state model by replacing with the effective capture time constant with being approximated as [142]
with the frequency , the duty cycle , and the capture and emission time constants and of the metastable state. The values of and depend on the individual defect configurations. For a rough
estimate of the frequency dependence, they can be set to typical values such as ms and s for all 2-state NMP defects [142].
4.4 Double-Well Model
In the spirit of Brower’s simple thermal model and Grasser’s field-dependent thermal transition (see Section 3.3 ), we use a simple double-well model with a phenomenological field dependence to describe the quasi-permanent part of BTI with Comphy. This model complements the physical 2-state NMP
model and covers the less understood degradation mechanisms such as generation and annealing of oxide and interface defects, possibly related to hydrogen relocation and the subsequent transformation of defect sites as described by the gate-sided hydrogen release
model , see Subsection 3.4.3 .
Similar to Eq. (3.17 ) and (3.18 ) in Brower’s model for the passivation and depassivation rates, we employ a hole
capture rate and a hole emission rate between the neutral state and the positive state as
with the transition rate for zero barrier and the activation energies and . As depicted in Fig. 4.21 , the activation energy for hole capture is given by
where is the phenomenological field dependence and the electric field at the interface of the oxide. In
this way, the depassivation is modeled with a field dependence whereas the passivation does not depend on the electric field. This is in line with the qualitative observation regarding the characteristics of the recoverable and the quasi-permanent component, see
Subsection 1.1.6 . With these rates, the occupation probabilities of the two states can been obtained in the same way as for the 2-state NMP model following Eq. (4.40 ) and (4.41 ) which results in a net charge given in Eq. (4.38 ), also affecting the device electrostatics in the
same way as the charge of 2-state NMP defects.
With the above description of a single double-well defect, the response of of such defects can be obtained based on the
effective gate oxide width and length , the defect concentration , and the distributions of the model parameters. In the
implementation in Comphy, we assume and to be normally distributed while
the other parameters are constant, see Table 4.7 . Again, in the same way as for 2-state NMP defects, the double-well defects can be sampled in a Monte Carlo fashion or on a grid with the grid parameters listed
in Table 4.8 .
Abbildung 4.21: Schematic energy barrier of the simple double-well model used in Comphy. The activation energy for the transition from the neutral state to the positive state is field dependent. After [GRJ2].
Tabelle 4.7: Parameters of the simple double-well model used in Comphy.
parameter
description
unit
normally distributed activation energy for depassivation
eV
normally distributed activation energy for passivation
eV
transition rate for zero activation energy
s
field dependence of depassivation
eVm/V
defect concentration
cm
Tabelle 4.8: Parameters specifying the grid on which the double-well defects are sampled in the grid mode .
parameter
description
unit
grid distance for the activation energy of depassivation
eV
grid distance for the activation energy of passivation
eV
maximum cut-off probability for the tails of the normal distributions
1
4.5 Efficient Solution for AC Stress
With the framework outlined above, the degradation for arbitrary transient gate voltages and temperatures can be calculated. The only limit to this approach are the
numbers of samples in time. While the exact solution of arbitrary long constant stress can be obtained by solving Eq. (4.42 ) for one single time step, each period has to be sampled multiple times for AC
stress. For the example of digital AC stress with two time samples per period, a stress signal with the frequency MHz for the stress time ks requires samples already with this simple approach. An efficient solution for this problem where the
computational expenses do not scale with the stress time is given by Giering et al . in [GRC22] and will be outlined in the following.
With the time dependent rates for carrier capture and carrier emission as presented for the 2-state NMP model and for the
simple double-well model above, the general solution of Eq. (4.40 ) reads [GRC22]
with the initial values at time and
For a periodic stress signal with the period and the number of periods , Eq. (4.50 ) evaluates to [GRC22]
For digital AC signals with and for the time at low level and and for for the time at high level (see Fig. 4.22 , top), the above equation can be solved analytically by
The simulation of an AC signal with the simple approach compared to the efficient solution presented in this section is shown in Fig. 4.22 .
Abbildung 4.22: A digital AC stress signal with MHz, V, and V (top) is simulated on a high-κ nMOSFET
with the simple approach (line in the bottom panel) and compared to the solution based on the efficient AC mode (circles in the bottom panel) using Eq. (4.54 ). Both simulations give the same result for
after each period. Note that the simple approach is computed
with 20 samples per period to show the continuous degradation and the same result would have been obtained with 2 samples per period. However, for longer stress times, the naive approach is not feasible because the number of samples scales with the number of periods
while the computational expenses in the efficient AC mode do not scale with the number of periods.
5 Experiments and Simulations
In this chapter, the experimental techniques presented in Chapter 2 will be applied to investigate the BTI response of various technologies. TCAD [169] and Comphy simulations [GRJ2] will be
conducted to extract physical defect parameters, corroborated by dedicated experiments. Step by step, a profound understanding of BTI will be established and corroborated:
• First, the it will be analyzed how 4-state NMP defects can constitute RTN, BTI, SILC, and tunneling currents (Section 5.3 ).
• Next, the recoverable and the quasi-permanent components of NBTI will be studied on plain SiO2 devices (Section 5.4 ).
• These insights help to analyze the recoverable component of all four cases of BTI on high-κ technologies (Section 5.5 ).
• Based on this, both the recoverable and the quasi-permanent component of PBTI and NBTI can be understood and described consistently for high-κ technologies (Section 5.6 ).
• Finally, the established framework will be used to analyze the impact of different processes of gate stacks (Section 5.7 ) and the AC behavior of BTI (Section 5.8 ).
5.1 General Material and Simulation Settings
Common to all studies in this chapter is the consistency in the approach: For each technology, one set of oxide defects is used to correctly describe the degradation for both NBTI and PBTI. Furthermore, all simulations of a technology use the exact
same parameters , meaning that the eMSM, MSM, lifetime, and AC simulations for all investigated stress voltages and temperatures only differ in the applied stress signal while the device and defect parameters are the same throughout all simulations. In the
following, the general simulation approach is outlined and the parameters which are common to all studies are listed.
5.1.1 Defect Parameter Extraction
The procedure for the oxide defect parameter extraction was established in [GRC15] and is the same for both TCAD and Comphy simulations: Based on the gate stack and the device characteristics ( curves and/or CV curves), the basic parameters of the
investigated technology are set. This allows for physical simulation of the degradation during BTI stress using the respective oxide defect models. In the case of TCAD simulations [169], these are the
and in the case of Comphy simulations [GRJ2], these are the
The defect parameter distributions of the respective models are calibrated to fit the measured degradation of eMSM experiments, conducted on devices with large active gate areas to capture the mean response of the investigated technology.
Shallow and Deep Trap Levels
In this chapter, we present two characteristic distributions of defects in SiO2 oxides and two in HfO2 oxides. In both materials, the mean trap level of one of the distributions is closer to the conduction band edge while the mean trap level of the other distribution is
closer to the valence band edge. For simplicity, we will call the former defect bands ßhallowänd the latter defect bands "deep"which refers to their mean trap level with respect to the conduction band edge.
Acceptor and Donor-Like Defects
For electrostatic reasons, a positive shift of indicates electron capture and a negative shift indicates
electron emission of oxide defects. However, the shift of does not give direct information about the absolute charge
of defects and it is difficult to determine whether a defect has donor-like or acceptor-like states. In the simulations, this defect property is only relevant if the absolute charges are considered in the Poisson equation self-consistently. In line with studies which showed that
the net charge of pristine devices is usually rather low [22], we assume that the defect bands with shallow trap levels are acceptor-like and the defect bands with a deep trap level are donor-like.
5.1.2 General Comphy Settings
The following is common to all Comphy simulations presented in this chapter:
• The oxide layer thicknesses are listed in Table 5.4 , all other oxide material parameters are listed in Table 5.1 .
• The dopings and and the intrinsic work function difference are listed in Table 5.4 , all other channel parameters are given in Chapter 4 .
• The NCP mode is used to account for the reduction of the electric field due to the oxide charges, except for the lifetime analysis in Section 5.6 where the SCP mode is used for additional accuracy.
• The grid mode is used to accurately compute the mean degradation with the parameters listed in Table 5.2 . The Monte Carlo approach is used in band diagrams only to better illustrate the
distributions.
• All energies refer to mid-gap of the channel material.
• The defect capture cross sections for electrons and holes are .
• Following the reasoning in Subsection 4.2.1 , the transition probabilities consider linear approximations of the band edges in the vicinity of interfaces: The band edges of SiO2 are
approximated to change from the Si values to the SiO2 bulk values within nm and from high-κ interfaces within nm.
• The BTI response of SiO2 is found to be dominated by defects with a high concentration in the near-interfacial region. Thus, we approximate all defects in SiO2 to lie within the first nm from the Si interface.
• Comphy 1.0 is used [174].
With the above, all Comphy simulations can be fully reproduced.
Tabelle 5.1: Oxide material parameters used in the simulations with Comphy. The values are based on [175].
input quantity
SiO2
SiON
HfO2
Al2 O3
unit
band gap
9.0
9.0
5.8
7.0
eV
valence band edge
-5.21
-5.21
-3.162
-3.6
eV
tunnel mass
0.35
0.35
0.17
0.17
1
rel. permittivity
3.9
6.0
20
9.1
1
Tabelle 5.2: Parameters specifying the grid which is used for Comphy simulations to obtain the mean degradation .
parameter
description
value
spacial grid distance
nm
grid distance for trap levels
eV
grid distance for relaxation energies
eV
grid distance for the activation energy of depassivation
eV
grid distance for the activation energy of passivation
eV
maximum cut-off probability for the tails of the normal distributions
%
5.2 List of Investigated Technologies
In this chapter, we will study four different types of Si technologies both commercial and in development. Before outlining the devices and processes in the following subsections, the main reasons to study these technologies are listed below:
• The commercial 130 nm SiON technology (Tech. A ) serves as an excellent starting point to investigate the recoverable and quasi-permanent component of SiO2 devices (Section 5.4 ) since
it has a plain oxide and is well established with a large set of previously published eMSM data [176]. We complemented this data by dedicated experiments to separate the recoverable and the quasi-permanent component [GRC15] and to analyze its AC behavior [GRJ2,
GRC13] (Section 5.8 ).
• The commercial 28 nm high-κ technology (Tech. B ) is well suited for long-term BTI studies. We perform measurements spanning 12 decades in time [GRJ2] to verify lifetime predictions (Section 5.6 ).
• The 14 nm high-κ FinFET technology (Tech. C ) is in development and not as stable as the commercial technologies above. Still, the study of pre-existing defects in these oxides gives valuable insight on the interplay of RTN, gate leakage, SILC,
and BTI [GRC14] (Section 5.3 ) and it was used to demonstrate unified modeling of all four combinations of BTI [GRC16]. The results of the mean degradation were corroborated by studies of the
variability (Section 5.5 ).
• The DRAM logic technology (Tech. D ) is interesting because of its distinct gate stack and processing compared to the technologies listed above. Furthermore, the different process splits available for this technology in development help to separate
the contributions of oxide layers to the total degradation [GRJ2] (Section 5.7 ).
5.2.1 Commercial 130 nm SiON Technology (Tech. A )
This technology features a poly gate process with an about nm thick SiON oxide. PBTI is typically negligible for such technologies and we only employ
pMOSFETs to study NBTI. The investigated devices have a gate width of m and a length of nm.
5.2.2 Commercial 28 nm High-κ Technology (Tech. B )
This is a planar high-κ technology with TiN metal gates. About nm of HfO2 is processed on top of a rapid thermal oxidation (RTO) interfacial layer with a
thickness of roughly nm to obtain an equivalent oxide thickness (EOT) of about nm. A post deposition anneal (PDA) is performed but the details of the process are
confidential. In order to study NBTI and PBTI of this technology, we measure pMOSFETs and nMOSFETs where 10 identical devices are in parallel, each of which with m.
5.2.3 14 nm High-κ FinFET Technology (Tech. C )
This is a FinFET technology with a TiN metal gate. The high-κ stack has an about nm thick HfO2 layer and an about nm thick SiO2 interfacial layer, resulting in an EOT of roughly nm. The fins have a length of about nm, a height of about nm, and a width of about nm. Both nFinFETs and pFinFETs are investigated. Small effective gate areas of devices with 2
Fins in parallel are used to analyze the variability of this technology and large effective gate areas of devices with 220 Fins in parallel are used to analyze the mean degradation.
Process Splits
This technology is in development and was studied for two different processes:
The differences of the processes are confidential and not of particular importance for the presented studies.
5.2.4 DRAM Logic Technology (Tech. D )
This technology is being developed for application in the peripheral logic of dynamic random-access memory (DRAM) chips. Due to the processing of such technologies, they have a very different gate stack compared to the other technologies studied in this work:
The gate stack has an in situ steam generated (ISSG) SiO2 layer on top of the Si channel with a thickness of nm. Further details are subject to the respective process split of this experimental
technology.
Process Splits
The following four different process splits of this technology will be studied:
• The plain SiO2 process split of Tech. D (Tech. D1 ) comes with a poly gate on top of SiO2 layer.
• The SiO2 + HfO2 process split of Tech. D (Tech. D2 ) has a TiN/TaN metal gate and 20 layers of atomic layer deposition (ALD) HfO2 on top of the SiO2 layer.
• The SiO2 + HfO2 + Al2 O3 process split of Tech. D (Tech. D3 ) has a TiN/TaN metal gate and in addition to the 20 cycles of ALD HfO2 on top of the SiO2 layer, it has 4 cycles of Al2 O3 .
• The SiO2 + HfO2 + removed Al2 O3 process split of Tech. D (Tech. D4 ) is the same as Tech. D3 but after a PDA, the Al2 O3 layer is selectively removed [177].
5.3 From Noise to BTI
Historically, the NMP models, which will be used throughout this chapter, were developed based on studies of noise and single defects: After 1/f noise was identified as a response of single defects and linked to RTN [3], dedicated measurement techniques were
developed to shed light on the properties of these defects (see Section 2.4 ). Their bias dependent capture and emission time constants were measured (see Fig. 3.11 ) and their role in gate leakage currents and SILC was uncovered [9]. Finally, the understanding of these defects within the NMP theory was applied to model BTI, particularly successful with the 4-state
NMP model (see Section 3.4.2 ). In the light of all that, it comes naturally that a physical defect model can inherently describe all phenomena, from noise to BTI [GRC23]. Below, we will show that for an
exemplary 4-state NMP defect which contributes to BTI of the 14 nm high-κ FinFET technology (process 1) (Tech. C1 ) and causes RTN, gate leakage currents, and SILC. This defect, located in the interfacial layer of this high-κ technology,
was drawn in a Monte Carlo fashion from a parameter distribution which was calibrated using eMSM experiments [GRC14]1 and shows the following features:
• At low gate voltages, its large capture and emission time constants render the defect basically inactive, see Fig. 5.1 .
• At moderate gate voltages, both time constants are on the same order of magnitude. The defect captures and emits holes from the channel and causes RTN, see Fig. 5.2 .
• At elevated stress voltages, the defect captures holes from the channel at much higher rates compared to emission. As a consequence, the defect is positively charged most of the time and induces BTI. Furthermore, the defect has a considerable emission rate of holes
to the gate and these holes, previously captured from the channel, increase the leakage current. What is more, during stress the defect will most likely transform into its puckered configuration as structural relaxations are favored in the positive charge state. In the puckered
configuration, defects have altered time constants which can be observed as SILC [178, 179], see Fig. 5.3 .
Abbildung 5.1: The band diagram (left) with oxide defects (circles, color indicates charge). The exemplary 4-state NMP defect which is studied throughout this section is marked with a star. Its CC diagrams are shown
for interaction with the gate (middle, solid arrows) and with the channel (right, dashed arrows). At the low gate voltage of V, the barriers for hole capture processes are large and
the defect will be neutral and inactive most of the time. Tech. C1 . After [GRC14].
Abbildung 5.2: Same as in Fig. 5.1 , but for a moderate gate voltage of V. At this voltage, the exemplary defect (star) will
capture and emit holes from the channel at roughly the same rates. RTN will be observed, accordingly. Tech. C1 . After [GRC14].
Abbildung 5.3: Same as in Fig. 5.1 , but for a high stress voltage of V. At this voltage, the exemplary defect (star) has a
small barrier for hole capture from the gate and contributes to BTI as it is positively charged most of the time. Also the energy barrier for hole emission to the gate is small and the charges captured from the channel will be emitted to the gate frequently, increasing the gate
leakage current. Finally, at these stress conditions, structural relaxation is to be expected and the defect can contribute to SILC. Tech. C1 . After [GRC14].
The features discussed above are a result of the rather involved interplay of the transition rates between the defect and the carrier reservoirs. All effective time constants for that are shown in Fig. 5.4 ,
together with the occupancy of the exemplary defect computed with a kinetic Monte Carlo model. A striking feature of time constants is the negative coupling : Because of the interaction with the gate, the emission time constants can decrease for
increasing stress. This was studied experimentally by Miki et al . and quantified by the coupling factor defined as
A comparison of the couplings computed from the 4-state NMP defects of the device calibrated for Tech. C1 to the experimental study of Miki et al . is shown in Fig. 5.5 .
Abbildung 5.4: The time constants of the exemplary defect which is studied throughout this section (left). The time constants are also shown separately for the interaction with the gate only (denoted by “G”) and with
the channel only (denoted by “C”). For moderate gate voltages of V, the effective time constants are roughly the same and
the defect will produce RTN. This is apparent in the transient occupation of the defect, computed with kinetic Monte Carlo with the corresponding time constants (right bottom). At elevated stress voltages of V, the defect will be mostly positive due to its fast
capture time constant for holes from the channel. Additionally, it will emit these holes frequently which induces increased gate leakage current (right top). Tech. C1 . After [GRC14].
Abbildung 5.5: The coupling factors of the capture and emission rates of the 4-state NMP defects of the calibrated device of Tech. C1 (left, after [GRC14]) and of a high-κ technology which was
studied experimentally by Miki et al. (right, after [170]). With the correct simulation of channel and gate interaction, all experimentally observed features are qualitatively reproduced.
5.4 Recoverable and Quasi-Permanent NBTI
While there are no rigorous definitions of the recoverable and of the quasi-permanent component of BTI, there are experimental techniques which aim at roughly splitting these two components [27], see Subsection 1.1.6 . Typically, they rely on pulses into accumulation in order to quickly remove the recoverable component and subsequent measurements are expected to give a good estimate of the quasi-permanent component. These
techniques are important for accurate calibration and verification of BTI models with separate descriptions of the recoverable and quasi-permanent component. In the following, we will show that for the NMP models implemented in TCAD [GRC15, GRC24] and in
Comphy [GRJ2] on a commercial 130 nm SiON technology (Tech. A ).
5.4.1 Experimental Data
For the studies in this section, we used the broad set of eMSM data (Section 2.2.1 ) previously obtained on pMOSFETs of Tech. A with different stress voltages ( , , , , V), temperatures ( and ), and stress and recovery times in the range of s– ks [176]. These data are complemented by MSM experiments (Section 2.2 ) with a pulse into accumulation after the stress phases: For the pulse time , the gate voltage V is applied, followed by a regular recovery phase
[GRC15]. Due to the distinct bias dependence of the degradation mechanisms ascribed to the recoverable and the quasi-permanent part, this pulse mainly recovers the former and the latter can be measured subsequently.
5.4.2 Modeling with TCAD
For the first studies with the 4-state NMP model (Subsection 3.4.2 ) with TCAD tools [169] in 2014, we distributed the oxide defects in the first nm of the oxide and neglected interaction of these defects with the gate, see Fig. 5.6 .
Abbildung 5.6: The band diagram of Tech. A with a subset of 4-state NMP defects (circles) inducing a shift of the threshold voltage when charged positively (red). In the initial steady-state so-
lution (left) the occupation probability (see color bar) of the defects is determined by their trap level and the Fermi level of the channel. Since all defects are below the Fermi level, they are neutral. In the subsequent stress phase (middle), the trap levels are shifted because
of the electrostatic potential at the trap positions and the occupation probabilities change depending on the transition rates of the respective states. Note that there is no “tunneling front” visible since the rates are mainly governed by the NMP barriers instead of
the tunneling probabilities. Finally, in the recovery phase (right), the defects discharge again, approaching their initial state for infinite recovery times. Tech. A . After [GRC15].
The parameters which define the distributions of these defects were optimized to fit the broad set of eMSM data (see Fig. 5.7 ) and the MSM data with a pulse into accumulation before recovery (see
Fig. 5.8 ).
Abbildung 5.7: Shift of the threshold voltage measured (circles) with the eMSM scheme and simulated
with TCAD (lines). Left: Detailed view for V and C of all consecutive stress ( ) and recovery ( ) phases, also the simulated contribution of the 4-state NMP
model (dotted) and the field-dependent thermal transitions (dashed) are shown separately. During stress, no data is obtained with the eMSM scheme, however, the short measurement delay of s gives a good estimate of during degradation. Right: The first recovery points of each
recovery phase of the eMSM experiment are compared to the simulated degradation during stress for various stress conditions. Since the data is affected by recovery even with a measurement delay of s, the experimental data during stress is below the simula-
tion results. All recovery traces are well captured by the TCAD simulations. Tech. A . After [GRC15].
Abbildung 5.8: Similar to Fig. 5.7 , measured (circles) and simulated (lines) is shown during stress and recovery phases. However, here a
MSM sequence with one stress phase and one recovery phase with a short pulse into accumulation in between was applied. Left: The pulse setups with ks stress are compared to similar MSM data without a pulse in between. The forced discharge of
recoverable defects (dotted) is evident. Right: The same for different stress times, all experimental features are captured by the TCAD simulations. Note that the variability of the permanent component was considered by scaling the degradation of the field-dependent
thermal transitions by up to %. Tech. A . After [GRC15].
While there is certainly no unique solution for such an optimization for a subset of the experimental data, capturing all experimental data with one and the same set of defects is quite remarkable. This set of defects, obtained by Monte Carlo sampling of the
calibrated distributions, inherently covers the features of the two components of BTI: During the stress phase, defects of both models charge, however, the subsequent pulse into accumulation mainly discharges defects of the 4-state NMP model because of their
pronounced bias dependence, see Subsection 3.4.2 . The remaining degradation is mostly due to defects modeled with the field-dependent thermal transitions (see Subsection 3.3.2 ), in accordance with the quasi-permanent part observed experimentally, see Fig. 5.8 .
These distributions of the two models are visualized in Fig. 5.9 for the 4-state NMP defects and in Fig. 5.10 for the
defects described by the field-dependent thermal transition. Based on these distributions, single defects were obtained by sampling in a Monte Carlo fashion. On these large devices, many of these defects contribute to the degradation, resulting in smooth traces of both
measured and simulated , accordingly. Due to the amorphous nature of the oxide,
each defect has an individual configuration, thus, the CC diagram of each defect is different (Fig. 5.9 and 5.10 , left). This leads to a broad
distribution of capture and emission time constants (Fig. 5.9 and 5.10 , right). From the simulations, CET maps and activation energy maps
can be constructed by considering the equilibrium occupancy difference of each defect defined as
with its occupation probability given in Eq. 3.53 and its impact on , see Eq. 3.65 . The resulting densities where the defects are weighted by these two factors and plotted according to their time constants and activation energies are shown in Fig. 5.11 . Note that the very broad distribution of time constants was verified by experimental studies with highly temperature accelerated tests [180]. The simulated CET map agrees well with the CET map constructed
from the experimental data (see Fig. 5.12 ), which is a direct consequence of the agreement of the corresponding traces presented in Fig. 5.7 .
Abbildung 5.9: Left: The CC diagram of each 4-state NMP defect depends on its parameters which were sampled in a Monte Carlo fashion from the extracted distributions. Shown here are the mean values
for two different gate voltages where the fade out represents up to one of the distribution. Right: From the CC diagrams, the capture time constants during stress ( ) and the emission time con-
stants during recovery ( ) can be computed for each de-
fect (circle). The color represents the equilibrium occupancy difference . Tech. A . After [GRC15].
Abbildung 5.10: Similar to Fig. 5.9 , the distributions of the defects modeled with the field-dependent thermal transitions are shown here
in CC diagrams (left) and according to their time constants and equilibrium occupancy difference (right). Quite contrary to the 4-state NMP defect which represent the recoverable components, the defects here tend to long emission time constants which is characteristic
for quasi-permanent defects. Still, usually there is a overlap of the widely distributed time constants, making a separation difficult. Tech. A . After [GRC15].
Abbildung 5.11: Combining the contributions of the simulated 4-state NMP defects (Fig. 5.9 ) and the defects modeled by field-dependent thermal
transitions (Fig. 5.10 ) results in the full CET map for the respective stress conditions (left). Similarly, the defects plotted according to their activation energies for capture and emission processes give the corresponding activation
energy map (right). Tech. A . Note that the densities are normalized. After [GRC15].
Abbildung 5.12: The simulated CET map from Fig. 5.11 (left) plotted for the range of time constants for which experimental data is available to
compare to the CET map obtained directly from the experimental recovery traces (right, see Subsection 2.2.2 ). Tech. A . After [GRC15].
5.4.3 Modeling with Comphy
The full set of experimental data presented in the previous subsection was also simulated with Comphy. Similar to the TCAD approach, the recoverable component is described with an NMP model and the quasi-permanent component is described with field dependent
thermal transitions. For this, the device electrostatics and the oxide parameters were adjusted in Comphy according to the technology, followed by an optimization of the defect parameters, see Fig. 5.13 .
Compared to the optimization of the models in TCAD, the number of parameters is much smaller which makes the optimization less complex. Despite the smaller solution space, a good fit was obtained for the full set of eMSM data, see Fig. 5.14 . In order to further verify the defect properties extracted with Comphy, the MSM data set with the pulse into accumulation was simulated as well, see Fig. 5.15 . Small deviations are visible for the quasi-permanent component because of the variability in the experimental data [GRC15]. Note that this could be easily accounted for in the Comphy simulations
as it was done in the TCAD simulations to get a better agreement. That said, the simulation results with Comphy are very convincing throughout all stress conditions and recovery times, indicating that the gist of the degradation mechanisms is well described with the
limited number of model parameters, see Table 5.5 .
In the same way as for the TCAD simulations, the CET map can be computed based on the calibrate Comphy device. This is done for the same stress conditions as for the TCAD device (see Fig. 5.11 ),
and in accordance with the good fit to the data in the stress and recovery traces, the maps are very
similar as well (see Fig. 5.16 ).
With an accurate physical description, the degradation for various stress scenarios can be accurately predicted. In Fig. 5.16 , we explore the degradation of Tech. A for stress times up
to s. In line with the experimental data, the technology does not fulfill the lifetime
criterion of mV after 10 years at elevated temperatures. However, at room temperature, this criterion is easily
met. A very interesting feature in this data is the increase of the slope around s for particular stress conditions. For
example, this behavior is visible in the experimental data for stress with V and C. At these stress voltages, the contribution of the recoverable component is rather
weak, however, accelerated temperatures strongly activate the quasi-permanent component2 . This is well reproduced by the Comphy simulations using the 2-state NMP model and the double-well model.
Abbildung 5.13: The band diagram of the pMOSFET at flat band conditions, calibrated with Comphy. The 2-state NMP defects (circles) are distributed slightly below the valence band edge of the Si channel. The CC diagram
with the mean parameters of the double-well model is shown in the inset. Tech. A . After [GRJ2].
Abbildung 5.14: The degradation during all stress and recovery phases of an eMSM experiment (circles) on a log-log plot to properly show all features of for various NBTI conditions. Each phase is shown from s up to the duration given below. In addition to the total
degradation (top), the simulation results of the 2-state NMP (middle) and the double-well (bottom) are also shown, representing the recoverable and the quasi-permanent part, respectively. Tech. A . After [GRJ2].
Abbildung 5.15: To verify the contribution of the quasi-permanent component, the measured recovery trace (circles) after a stress phase followed by a short pulse into accumulation was simulated with the calibrated
Comphy device (lines). For all combinations of stress times and pulse times, good agreement is obtained, verifying the contribution of the double-well model (dashed lines) which represents the quasi-recoverable component. Note that there is some variability in the
experimental which causes small deviations for some stress conditions [GRC15]. Tech. A . After [GRJ2].
Abbildung 5.16: Left: The CET map computed from the calibrated Comphy device with defects sampled on a grid for smooth curves. The shape is similar to the CET map from TCAD simulations, see Fig. 5.11 . Right: The first measured recovery point of each trace (circles) gives a good estimate of the degradation directly at stress conditions because of the short measurement delay of s. The simulations with the calibrated Comphy device (li-
nes) are in good agreement with the data and allow for a reliable extrapolation of the lifetime of the technology. Tech. A . After [GRJ2].
5.5 Recoverable BTI of High-κ Devices
The separation of the two components of BTI was discussed in the previous section for a technology with a simple single-layer technology (commercial 130 nm SiON technology (Tech. A )). Next, the instabilities of a 14 nm high-κ FinFET
technology (process 2) (Tech. C2 ) will be investigated. In general, high-κ technologies show pronounced degradation for positive stress voltages as opposed to plain SiO2 technologies which typically barely degrade at these conditions [181]. Thus,
high-κ technologies are suitable to verify the following:
Assuming that pre-existing oxide defects are the common underlying cause of the recoverable component of both NBTI and PBTI, it must be possible to describe the degradation of pMOSFETs and nMOSFETs of the same technology consistently by the same
physical defect parameters for both stress polarities.
Using a dedicated measurement technique to obtain the recoverable component of PBTI and NBTI, we will show that this assumption holds for the 4-state NMP model by simulating all four combinations of N/PBTI on n/pMOSFETs with one and the same set of
oxide defects , see Fig. 5.17 [GRC16].
Abbildung 5.17: Concept of unified modeling of BTI: The simulation of the recoverable component of all four cases (P/NBTI on p/nMOSFETs) with a single consistent set of pre-existing oxide defects provides accurate
calibration of the physical model parameters and corroborates its validity.
5.5.1 Experimental Data
Similar to the pulse into accumulation after stress (see Subsection 5.4.1 ) we utilize the distinct bias dependence of the two degradation mechanisms to separate the recoverable and the
quasi-permanent component of BTI. The schematic measurement procedure is depicted in Fig. 5.18 : While there is a drift of the quasi-permanent component, the recoverable component can be
reproduced by subsequent measurements on the same device. This is shown in Fig. 5.19 where the recoverable component after a stress phase at V is measured multiple times on the same
device. Despite a change in the permanent component, the recoverable component is very similar throughout this experiment and only increases slightly after an additional stress phase at pronounced PBTI conditions.
Abbildung 5.18: One measurement cycle to determine the recoverable component after BTI stress consists of a regular stress/recovery phase, followed by a series of sweeps. These sweeps discharge the bias dependent defects
which constitute the recoverable component, see Subsection 1.1.6 . The remaining degradation can be subtracted from the total to obtain the recoverable component , accordingly. After [GRC16].
Abbildung 5.19: An example for measurements obtained following the scheme presented in Fig. 5.18 . The recoverable component
(blue, obtained after subtracting the quasi-permanent component ) stays constant for subsequent measurements on
the same device, independent of intermediate stress phases with various stress times and gate voltages of both polarities (sections marked with red
background). Tech. C2 . After [GRC16].
Following the scheme presented in Fig. 5.18 , a broad set of MSM data was obtained on Tech. C2 with gate voltages between and V on both p and nFinFETs for various stress times. Note that the experiments were conducted
on 220 devices in parallel to obtain the mean BTI response of this technology.
5.5.2 Unified TCAD Simulations
For accurate simulation of oxide defects, the FinFET devices were calibrated with 3D TCAD simulations based on the doping and the gate stack parameters. A good fit was obtained for the experimental curves, see Fig. 5.20 .
Following the scheme presented in Subsection 3.4.2 , the distribution of the 4-state NMP model parameters was extracted by simultaneous optimization of all four cases of BTI, see Fig. 5.17 . For this extraction, constant defect densities were assumed in the HfO2 and in the SiO2 layers, respectively, each with an independent set of defect parameters. Note that some studies indicate that there are more than
this one distribution of defects in each of these oxide materials:
• In HfO2 , defects with a deep trap level have been reported. However, these defects barely contribute at the investigated stress conditions [GRJ2].
• In SiO2 , defects with a shallow trap level are inferred from RTN studies [100] and from MSM experiments on particular technologies [181]. However, typically they have very low defect densities and their contribution is overshadowed by defects in the HfO2
[GRJ2].
Thus, the degradation due to pre-existing oxide defects of Tech. C2 can be well captured with one dominant defect distributions in each material, depicted in Fig. 5.21 for pFinFETs and
in Fig. 5.22 for nFinFETs.
Abbildung 5.20: The FinFET device simulted with TCAD tools, the geometries are given in Subsection 5.2.3 (left) and the corresponding curves on both n and pFinFETs (right). A good fit of the
simulated electrostatics (lines) to the experimental data (circles) is a necessary prerequisite for accurate physical defect modeling. Tech. C2 .
Abbildung 5.21: The band diagrams of the pFinFET devices for three different gate voltages. The oxide defects (circles) are depicted according to their charge at the respective steady-state condition. The
acceptor-like defects in HfO2 are either neutral (white) or negative (blue) while the donor-like defects in the SiO2 are either neutral or positive (red). The neglected defects in the SiO2 with a shallow trap level are denoted by a question mark. Tech. C2 .
After [GRC16].
Abbildung 5.22: The same as in Fig. 5.21 , but for nFinFET devices. Tech. C2 . After [GRC16].
The extracted defect levels and concentrations in the HfO2 and SiO2 layer are listed in Table 5.3 . Note that the defect concentrations in both materials agree very well with the values obtained from Comphy
simulations of various technologies (see Table 5.1 ). Also the distribution of the trap level in HfO2 is in line with typical values [GRC2, GRJ2]. Only the trap level of defects extracted in SiO2 is slightly
higher compared those studies. This might be related to the processing of this very thin interfacial layer with low thermal budget [GRJ2].
Tabelle 5.3: Distribution of the trap level and the defect concentration in the HfO2 and SiO2 oxide determined for Tech. C2 [GRC16].
SiO2
eV
eV
cm
HfO2
eV
eV
cm
The resulting degradation obtained with the extracted distributions are in good agreement for various stress times (see Fig. 5.23 ) and gate voltages (see Fig. 5.24 ). While there are some minor deviations to the experimental data at short stress times, the capability of the 4-state NMP model to capture the essence of the recoverable component consistently and in a unified
manner for all cases of BTI demonstrates its capability to describe the degradation of pre-existing oxide defects.
Abbildung 5.23: The measured (circles) and simulated (lines) recoverable component after BTI stress with and V and C for stress times in the range of ms up to ks. The degradation of pFinFETs (left) is more pronounced for negative gate voltages
while the degradation of nFinFETs (right) is more pronounced at positive gate voltages. Tech. C2 .
Abbildung 5.24: Similar to Fig. 5.23 , the degradation of the recoverable component of BTI is shown for pFinFETs (left) and nFinFETs (right). All voltages
between V and V are shown for a stress time of ks. Tech. C2 . After [GRC16].
5.5.3 Contributions of Shallow HfO and Deep SiO Defects
The results presented in the previous subsection show that the recoverable component of BTI can be described consistently for Tech. C2 considering defects in HfO2 with shallow trap levels complemented by defects in SiO2 with deep trap levels.
However, experimentally only the total degradation was obtained, raising the question whether the simulations correctly reproduce the respective contributions of the two oxide materials to the total . The total recoverable component for BTI conditions and
the respective contributions of the two oxide layers is shown in Fig. 5.25 , simulated with the calibrated 4-state NMP defects. This graph shows that PBTI of pFinFETs is dominated by defects in the SiO2
while it is dominated by defects in HfO2 in nFinFETs. This striking feature will be investigated and verified by experiments in the following.
pFinFET nFinFET
Abbildung 5.25: The recoverable component of BTI simulated with the calibrated 4-state NMP model with contributions from defects in HfO2 (blue) and SiO2 (red) for pFinFETs (left) and nFinFETs
(right). Consistent with the very weak degradation of plain SiO2 technologies, PBTI on nFinFETs is governed by defects in HfO2 . The degradation of pFinFETs at NBTI, on the other hand, origins from defects in SiO2 . Tech. C2 . After [GRC16].
Experimentally, two differences are to be expected between defects in the HfO2 layer and in the interfacial SiO2 layer:
• Difference in time constants : The minimal capture time constants of defects will be shorter for defects in SiO2 because of the higher tunneling probability, compare Eq. (3.45 ).
• Difference in step heights : On average, the impact of charges on will be larger for defects in the SiO2 layer of
Tech. C2 for electrostatic reasons, compare Eq. (3.65 ).
Difference in Time Constants
The abovementioned peculiarity is in line with the calibrated 4-state NMP defects as shown in Fig. 5.26 : Experiments as well as simulations show that PBTI is more pronounced on pFinFETs
compared to nFinFETs for short stress times while the opposite is the case for long stress times. The simulations show that this peculiarity is due to fast defects in SiO2 which barely contribute on nFinFETs where most of these defects are already neutral before the stress
experiment. This is evident in the band diagrams of the pFinFETs (Fig. 5.21 ) and nFinFETs (Fig. 5.22 ): Initially, the defects are charged
roughly according to the steady-state case with V. Because of the difference in the Fermi level, this
means that some of the defects in SiO2 are positively charged on pFinFETs while nearly all these defects will be neutral on nFinFETs. During PBTI stress the positive defects in SiO2 can be neutralized causing the recoverable degradation on pFinFETs. This mechanism is
negligible on nFinFETs which are dominated by the defects in the HfO2 with larger time constants.
Abbildung 5.26: Analysis of PBTI stress with V and C. Left: The recoverable component of PBTI recorded on pFinFETS and nFinFETs after
varying stress times . Right: The same data but only the first recovery point of each
trace to estimate of the degradation during stress (circles in the left panel) and the recovery after ks (circles in the right panel). The peculiar crossing
point around s where the degradation of the pFinFETs ex-
ceeds the degradation of nFinFETs can be understood based on the simulations (lines): Due to the contribution of the tunneling probability, the minimum capture time constants of defects in the interfacial SiO2 layer (dash-dotted) are on average smaller compared to the
time constants of defects in the HfO2 layer. Therefore, pFinFETs (governed by defects in SiO2 ) degrade quickly while the degradation of nFinFETs (governed by defects in HfO2 ) is delayed. Tech. C2 .
Difference in Step Heights
The differences in the average impact of defects in the HfO2 and SiO2 layer are studied based on the variability. To obtain the mean step height and the number of active defects after BTI stress, we measured more than 1100 small devices3 , again for all four
combinations of BTI, and applied the defect centric analysis (see Section 3.2 ). All predictions4 of the simulations with the 4-state NMP model agree with the experimental
observations:
• In the simulations , PBTI is governed by defects in HfO2 on nFinFETs and by defects in SiO2 on pFinFETs, see Fig. 5.25 . Experimentally , of nFinFETs is smaller compared to pFinFETs for all cases
of PBTI stress, see Fig. 5.27 and 5.28 . This is a consequence of the smaller step height of defects in HfO2 because their
electrostatic impact is scaled by the distance to the channel interface.
• In the simulations , some defects in the HfO2 of pFinFETs capture charges at PBTI conditions with time constants roughly above s which is not the case for nFinFETs, see Fig. 5.26 . Experimentally , decreases from mV ( s) to mV ( s) on pFinFETs while it increases from
mV ( s) to mV ( s) on nFinFETs, see Fig. 5.27 and 5.28 . In perfect agreement, defects with small step heights (in HfO2 ) are charged in this interval on pFinFETs, thus, the average
step height of these devices converges towards the average step height of nFinFETs which were governed by defects in HfO2 for all stress times.
• In the simulations , NBTI of pFinFETs is dominated by defects in SiO2 while on nFinFETs defects in the HfO2 and SiO2 contribute in a roughly similar manner, see Fig. 5.25 . The largest
value of of all experiments is obtained from NBTI on
pFinFETs while of nFinFETs after NBTI stress is well in the middle of all
values, see Fig. 5.29 .
Abbildung 5.27: Probit plot showing the distribution (mean , standard deviation ) of the threshold voltage shifts of 126 pFinFETs (left) and 125 nFinFETs (right) after s of PBTI stress ( V and C). The distribution is shown without recovery (red, measurement delay of s) and after s recovery (blue). The mean step height and the number of active defects are deduced from these distributions using the defect centric analysis [109]. A smaller is obtained for nFinFETs which confirms that they are go-
verned by defects in HfO2 , opposed pFinFETs which are governed by defects in SiO2 at these stress conditions, see Fig. 5.25 . Tech. C2 .
Abbildung 5.28: The same as in Fig. 5.27 but for 234 pFinFETs (left) and 234 nFinFETs (right) after s of PBTI stress ( V and C). Compared to the result after s stress in Fig. 5.27 , of pFinFETs is slightly smaller because of slow defects cap-
turing charges in HfO2 . This is not the case for nFinFETs, in line with the simulations, see Fig. 5.26 . Tech. C2 .
Abbildung 5.29: The same as in Fig. 5.27 but for 189 pFinFETs (left) and 227 nFinFETs (right) after s of NBTI stress ( V and C). At these stress conditions, the degradation of pFinFETs is dominated by defects in
SiO2 . The largest values for are obtained, in agreement with the simulations, see Fig. 5.25 . Tech. C2 .
5.6 Full BTI of High-κ Devices
After understanding the contributions of the recoverable and the quasi-permanent component on plain SiO2 devices (see Section 5.4 ) and verifying the origin of the recoverable component in high-κ devices
(see Section 5.5 ) we will now investigate the total degradation of high-κ devices. For this, the NBTI and PBTI responses of a commercial 28 nm high-κ technology (Tech. B ) will be studied,
the defect distributions will be extracted with Comphy, and the lifetime projections will be compared to power law extrapolations.
5.6.1 Experimental Data
For the extraction of the parameters of Tech. B with Comphy, conventional eMSM measurements were conducted: On pMOSFETs, the NBTI response was recorded for two stress voltages and two temperatures with a measurement delay of ms, stress times between s and ks, and recovery times of up to ks. Similarly, on nMOSFETs, the PBTI response was recorded, but with three stress voltages and
with extended stress and recovery times up to ks. In order to verify the lifetime projection with Comphy, further experiments were
conducted at PBTI conditions with V and C, complementing the eMSM data:
5.6.2 Parameter Extraction with Comphy
Similar to the optimization described in Section 5.4 , Comphy was calibrated to the eMSM data for PBTI and NBTI. This was done for pMOSFETs and nMOSFETs simultaneously with the same
defect parameters to ensure unified modeling of BTI: Since the processing of the oxide for p and nMOSFETs is similar for Tech. B , physical defects with the same properties must explain BTI in both types of devices consistently. In line with the study
presented in Section 5.5 , the defects which constitute NBTI on pMOSFETs were found to be inactive at PBTI conditions on nMOSFETs. Vice versa, the defects extracted on nMOSFETs of
Tech. B were found to not contribute to NBTI on pMOSFETs. Note that the latter depends on the exact alignment of the trap levels to Fermi energies, hence, there can be a minor interplay for some technologies at elevated stress conditions, see
Section 5.5 .
In summary NBTI on pMOSFETs was found to be governed by
• defects in SiO2 with a deep trap level (dominant),
• defects in HfO2 with a deep trap level (minor), and
• quasi-permanent degradation
PBTI on nMOSFETs was found to be governed by
In Comphy simulations of this technology, the oxide is considered to be the same for n and pMOSFETs and all five types of defects were considered at all times, accordingly. The band diagrams in Fig. 5.30 , left, show the dominant defect types for the respective devices.
The eMSM data, together with the Comphy simulations considering all five types of defects is shown in Fig. 5.30 , right. For small the log-log plots bring out minor deviations after PBTI
stress. This is probably related to deviations of the capture cross sections, tunneling mass, and other oxide material parameters of Tech. B which, for simplicity and consistency of the presented Comphy studies, were assumed to be the same across
all technologies (see Section 5.1 ).
5.6.3 Lifetime Extrapolation
In this subsection, the lifetime simulated with Comphy is compared to simple power law extrapolations. Despite the quantitative difference of these two approaches, which will be discussed in the following, it should be noted that the power law description is a very
useful tool as such: Despite its simplicity, it often gives reasonable estimates for the lifetime of devices. However, it will be elaborated that an unambiguous extraction of the power law time dependence does not exist, making lifetime extrapolations vague. Throughout the discussion of these details one
should keep in mind the substantial difference between simulations with Comphy and the power law extrapolations: Physical simulations with Comphy allow for exploration, which is not only limited to arbitrary AC and DC stress signals in both temperature and voltage;
Even impacts of processes and gate stack engineering is inherently captured with this approach [GRJ2].
Abbildung 5.30: The PBTI response of nMOSFETs (top right) and the NBTI response of pMOSFETs (bottom right) of the commercial 28 nm high-κ technology (Tech. B ). All simulations considered
the same five distributions of defects. The dominant contributors at the respective stress conditions are depicted in the band diagrams, shown for flat band conditions (left). While PBTI is governed by defects in the HfO2 layer with a shallow trap level, NBTI is governed
by defects in the SiO2 with deep trap levels and the quasi-permanent component which is described with the double-well model (inset showing CC diagram with the mean parameters). The degradation (right) is presented on log-log plots where each phase is shown from
ms up to the duration given below. After [GRJ2].
PBTI Lifetime
The p and nMOSFETs of Tech. B , calibrated with the eMSM data as described above, are now used to simulate PBTI and NBTI for stress times from s up to 10 years. First, PBTI will be investigated. Here we
have recorded additional measurement data to complement the eMSM experiment, see Subsection 5.6.1 . The resulting measurement data spans 12 decades in time and is in good agreement with
the Comphy simulations, see Fig. 5.31 . Furthermore, PBTI for the other temperatures and stress voltages is captured well with the same set of oxide defects . For these simulations, it is
important to account for the reduction of the electric field due to the oxide charges in a self-consistent manner, see Subsection 4.1.5 . Thus, the SCP mode is used in the Comphy simulations. For
NBTI as well as for PBTI a power law time dependence of is frequently suggested [182]. As shown in Fig. 5.31 , left, such a power law extrapolation describes the experimental data very well for stress times between s and ks, however, fails to describe the experimental data for shorter and longer stress times [GRJ2]. One
could argue that the data for long stress times can be described with a smaller , and in fact, the Comphy simulations may slightly overestimate the saturation for very long stress times.
However, again, this is rather an issue of slight deviations of the general oxide material parameters for Tech. B (see Section 5.1 ), and even the data for very long stress times exhibits some
saturation (see Fig. 5.31 , left). In order to quantify the deviations in the lifetime extrapolation of these two approaches, a mV lifetime criterion is applied for both, Comphy simulations and power law extrapolations, see
Fig. 5.31 , right. For this, the calibrated nMOSFET was simulated in Comphy for various stress voltages. On this data, the power law was fitted between s and s which yields roughly , see Fig. 5.31 , left.
In general, the extrapolation with the power-law underestimates the lifetime, compared to the prediction with Comphy.
Abbildung 5.31: PBTI lifetime analysis of high-κ nMOSFETs. Left: The first recovery points of the eMSM traces (circles) presented in Fig. 5.30 ,
top, are plotted as a function of the stress together with the data from fast MSM measurements (squares,
measurement delay of s) and a three months stress study (diamonds). The Com-
phy simulations, considering the reduction of the electric field self-consistently in the SCP mode (thick lines), reproduce the data for all 12 decades in time and for different temperatures and stress voltages with the exactly same model parameters . The power
law extrapolation is plotted as a reference with the frequently suggested [182] which describes the data well for moderate stress times but fails to describe the data for
short and long stress times. Right: The lifetime with a mV criterion as a function of the gate voltage for two temperatures, reflecting the deviation of the
power law extrapolation (dashed lines) from to the Comphy simulations (solid lines) due to the non-linear increase of on log-log plots for long stress times. Tech. B .
After [GRJ2].
NBTI Lifetime
Similar to the analysis of PBTI above, we will now investigate the lifetime predictions of Comphy for NBTI stress on the previously calibrated pMOSFET devices of Tech. B and compare it to estimates with the power law description. One major
difference between NBTI and PBTI on high-κ technologies lies in the recovery behavior, visible in Fig. 5.30 : PBTI is governed by defects in the HfO2 whose minimal time constants are larger
compared to defects in SiO2 which are mainly responsible for NBTI. As a consequence, there is no substantial recovery immediately after PBTI stress, while NBTI is known to recovery already after nanoseconds [76]. Accordingly, the simple estimate of the degradation
during stress by taking the first recovery point of eMSM measurements as done for PBTI (see Fig. 5.31 ) is not possible for NBTI. Conveniently, the full eMSM measurement procedure can be
simulated with Comphy, including the recovery phases and the measurement delay. This allows reconstructing the degradation during NBTI stress from the data as shown in Fig. 5.32 , left. The
ambiguity of the extracted power law time dependence can be demonstrated based on these observations: While the real degradation at NBTI stress can never
be measured directly with these techniques [76], the obtained from MSM data strongly depends on the measurement delay, see Fig. 5.32 , right. This was experimentally verified in the literature [24, 25].
Abbildung 5.32: NBTI lifetime analysis of high-κ pMOSFETs. Left: Due to the fast recovery after NBTI stress with an onset in the sub nanoseconds regime [76], the eMSM data (circles) is not a valid estimate
of the degradation during stress. However, the simulation of the full measurement procedure with Comphy including the measurement delay (crosses) enables a reconstruction of the degradation during stress (thick lines) based on eMSM data. While a simple power law
extrapolation with [182] would have been obtained from the data with the measurement delay, this is obviously
not the real power law time dependence of the device. Right: The dependence of the extracted on the measurement delay is demonstrated based on NBTI simulations. The extracted power law time
dependence varies between for zero measurement delay and if measured with a delay of s. Tech. B . After [GRJ2].
Same as for PBTI we now can apply a mV lifetime criterion to compare the results from Comphy simulations with the estimations from
power law extrapolations. The latter is again obtained by fitting to the simulated data for stress times between s and s. This gives roughly for a measurement delay of ms and, coincidentally, in a very good agreement with Comphy simulations, see Fig. 5.33 .
Abbildung 5.33: The NBTI lifetime of high-κ pMOSFETs with a mV criterion as a function of the gate voltage for two temperatures. The results from simulations
with Comphy (solid lines) are compared to power law extrapolations based on data with s (dotted lines) and ms recovery (dashed lines). The latter corresponds roughly to and is in good agreement with the Comphy simulations. However, extrapolations based on data
with longer measurement delay gives pessimistic lifetime estimations. Tech. B . After [GRJ2].
5.7 Gate Stack Engineering and Anomalous BTI
With the Comphy framework fully established and verified above, we now will investigate different process splits of Tech. D . This technology targets the peripheral logic in DRAM chips and is quite different compared to the usual logic technologies
because of the distinct DRAM processing flows with a thick ISSG SiO2 oxide. The study of Tech. D is interesting for two reasons: First, we will verify that the physical modeling approach presented in the previous sections can be applied to this kind of
devices and we will investigate the differences of the extracted physical properties. Secondly, the direct comparison between the process splits of this technology (see Subsection 5.2.4 ) allows for a constrained
analysis of the impact of the individual oxide layers on the degradation. In short, Tech. D1 has a plain SiO2 oxide, Tech. D2 has a HfO2 layer on top of the SiO2 layer, Tech. D3 has the same high-κ stack with an
additional Al2 O3 layer on top, and in Tech. D4 the Al2 O3 layer was selectively removed.
5.7.1 Experimental Data
The extraction of all defects parameters with Comphy will again be based on eMSM data. On each process split, we conduct efficient measurements for both, NBTI on pMOSFETs and PBTI on nMOSFETs: 12 cycles of eMSM with stress times ranging
from s up to ks and recovery times up to s. About four different stress voltages are studied for each device with electric fields between
MV/cm and MV/cm, all at C.
5.7.2 Investigation of PBTI
The defects parameters are extracted with Comphy for all devices as described in Subsection 5.1.1 . First, we will study the properties of the plain SiO2 process split of Tech. D
(Tech. D1 ) to isolate the impact of the SiO2 layer. In accordance with the study of SiO2 at PBTI stress in Section 5.6 , the degradation is found to be governed by pre-existing oxide defects with
shallow trap levels. Since these defects have a low defect concentration, the degradation is quite small. Still, they have been already deduced from RTN [100] and BTI studies [181]. The corresponding measurement data and the simulations results for
Tech. D1 are shown in the top panel of Fig. 5.34 .
The extraction of the defects in the SiO2 oxide of the Tech. D1 now allows analyzing the impact of the HfO2 layer of the SiO2 + HfO2 process split of Tech. D (Tech. D2 ) more accurately because the additional low temperature
ALD HfO2 process of Tech. D2 most probably barely affects the defects in SiO2 with the shallow trap level. In line with the study of HfO2 in Section 5.6 , the additional HfO2 layer
Tech. D2 substantially changes the PBTI response: A pronounced degradation is now observed which overshadows the impact of defects in SiO2 and barely recovers, see Fig. 5.34 . In
fact, a slight degradation after long recovery can be observed. This phenomenon is more pronounced in Tech. D3 and will be investigated in the following.
Three possible ways in which the very thin additional Al2 O3 layer in Tech. D3 can affect its PBTI behavior are discussed below:
• The Al2 O3 layer itself is certainly not defect-free and, in general, charging of these defects will considerably contribute to PBTI. However, Tech. D3 has a thick oxide and the electrostatic impact of the defects in the thin Al2 O3 layer next to the gate
is very small and, thus, will be neglected, see Eq. (3.65 ).
• The processing of the ALD Al2 O3 layer could affect the defects in the rest of the oxide because of thermal activation and of diffusion of Al. This impact will be analyzed by comparing to Tech. D4 were the Al2 O3 layer is selectively removed and,
in fact, minor deviations to Tech. D3 are observed.
• The additional oxide layer inherently changes the device electrostatics and, most importantly, acts as a lever, enhancing the difference between the trap level of defects in the HfO2 and the Fermi level of the gate for elevated stress voltages. For this, the
permittivity of the Al2 O3 layer between the gate and the HfO2 is crucial.
The last point is completely inherent and consistently covered in Comphy and its impact can be simulated straightforward. As shown in Fig. 5.35 , the change of the alignment of trap levels and Fermi
energy enhances hole capture from the gate during stress, in addition to the usually observed electron capture from the channel during PBTI stress. These holes are released in subsequent recovery phases, causing an anomalous positive shift of
. This observation is in perfect agreement with the work of
Toledano-Luque et al . which found anomalous PBTI (see Subsection 1.1.6 ) to be “due to charge exchange between the high-k layer and the metal
gate” [32].
5.7.3 Investigation of NBTI
In the same way as for PBTI in the previous subsection, we will now extract and investigate the defects which constitute NBTI on pMOSFETs of the process splits of Tech. D .
For plain SiO2 process split of Tech. D (Tech. D1 ), this extraction is straightforward, given the detailed study of NBTI of plain SiO2 devices in Section 5.4 . The resulting degradation with
deep level defects, corresponding to the recoverable component due to pre-existing defects, and with double-well defects for the quasi-permanent component is presented in Fig. 5.36 .
Following the same reasoning as in the previous subsection, also for NBTI the additional layer in the Tech. D2 is considered to give a roughly independent additional component to the total degradation. However, the defects in HfO2 barely affect the
degradation of Tech. D2 , except from a very small positive shift of during NBTI stress.
Finally, also the observations of NBTI on SiO2 + HfO2 + Al2 O3 process split of Tech. D (Tech. D3 ) are consistent with the PBTI study: The additional Al2 O3 layer enhances the effect of the positive shift of during NBTI stress. Here, this effect is mostly
overshadowed by the degradation of defects in SiO2 , however, subtle degradation reversal is observed in the experimental data, see Fig. 5.38 . This anomalous NBTI is due to electron capture from the
gate .
Abbildung 5.34: The PBTI response (right) of nMOSFETs of the plain SiO2 process split of Tech. D (Tech. D1 ) (top panel) and the SiO2 + HfO2 process split of Tech. D (Tech. D2 )
(middle panel with all defects and bottom panel only with SiO2 defects). The corresponding band diagrams are shown for flat band conditions (left). The defects in SiO2 with shallow trap levels have a low defect concentration and give weak PBTI response on both,
Tech. D1 and Tech. D2 . The high concentration of defects in HfO2 , on the other hand, amounts to considerable degradation which barely recovers, compare Section 5.6 . The
degradation (right) is presented on log-log plots where each phase is shown from ms up to the duration given below. After [GRJ2].
Abbildung 5.35: The PBTI response (right) of nMOSFETs of the SiO2 + HfO2 + Al2 O3 process split of Tech. D (Tech. D3 ). The two dominant contributions to the the total degradation (top panel) come
from defects in HfO2 and cause anomalous PBTI at moderate stress voltages: Defects with shallow trap levels (middle panel) induce a regular positive shift of due to electron trapping from the channel at elevated stress
voltages. Vice versa, defects with deep trap levels induce a negative shift because of hole capture from the gate during PBTI stress. The corresponding band diagrams are shown for flat band conditions (left). The degradation (right) is presented on log-log plots where each
phase is shown from ms up to the duration given below. After [GRJ2].
Abbildung 5.36: The NBTI response (right) of pMOSFETs of the plain SiO2 process split of Tech. D (Tech. D1 ). The total degradation (top panel) comprises contributions from defects with deep trap
levels, usually associated with the recoverable component of NBTI, complemented by the quasi-permanent part described by the double-well model (lower panel). The corresponding band diagrams are shown for flat band conditions (left) with the CC diagram representing
the mean parameters of the double-well model in the inset. After [GRJ2].
Abbildung 5.37: The NBTI response (right) of pMOSFETs of the SiO2 + HfO2 process split of Tech. D (Tech. D2 ). In addition to the degradation due to defects in SiO2 (see Fig. 5.36 ), the total degradation (top panel) comprises a positive shift during NBTI stress because of defects in HfO2 (bottom panel). This abnormal degradation is due to the interaction of these defects
with the gate. The corresponding band diagrams are shown for flat band conditions (left) with the CC diagram representing the mean parameters of the double-well model in the inset. After [GRJ2].
Abbildung 5.38: The NBTI response (right) of pMOSFETs of the SiO2 + HfO2 + Al2 O3 process split of Tech. D (Tech. D3 ). The total degradation is shown (top panel) as well as the contribution of
defects in HfO2 (bottom panel). Compared to Tech. D2 , the additional Al2 O3 layer acts as a lever in the same way as for PBTI: it enhances the difference of the trap level of the defects in HfO2 to the Fermi level of the gate. Thus, these defects can capture
electrons during NBTI stress, causing an abnormal shift of towards positive voltages. Note the subtle anomalous
NBTI in the experimental data in the last recovery trace at V. The corresponding band diagrams are shown for
flat band conditions (left) with the CC diagram representing the mean parameters of the double-well model in the inset. After [GRJ2].
5.7.4 Summary and Lifetime
In this section, it was elaborated that the pronounced anomalous BTI seen in Tech. D3 is due to the favorable alignment of the trap levels to the Fermi level of the gate, induced by the Al2 O3 layer rather than due to diffusion of aluminum in the oxide.
In line with the discussion in Subsection 5.7.2 , the experimental data of the Tech. D4 corroborates the favorable alignment in energy as the underlying cause: After selective removal of
the Al2 O3 layer, the anomalous BTI is reverted, see Fig. 5.39 . This is in perfect agreement with the Comphy simulations with consistent defect parameters across all splits of Tech. D , see
Section 5.1 and Tables 5.4 and 5.5 . Note that the impact of charges in the Al2 O3 itself as the
responsible mechanism was excluded for electrostatic reasons, see Subsection 5.7.2 .
Abbildung 5.39: The measured (symbols) and simulated (lines) degradation after NBTI (circles) and PBTI (diamonds) stress. PBTI is typically negligible for plain SiO2 technologies such as Tech. D1 (blue).
For the investigated high-κ technologies Tech. D2 (green), Tech. D3 (orange), and Tech. D4 (red), PBTI is weak up to elevated oxide fields of MV/cm which facilitate electron capture of HfO2
defects in the Fowler-Nordheim tunneling regime. Anomalous BTI is apparent as Tech. D3 shows the smallest degradation for oxide fields of around MV/cm and in the case of PBTI even becomes negative. After the selective removal of Al2 O3 in
Tech. D4 , this behavior is reverted. After [GRJ2].
Finally, the lifetimes are simulated with the calibrated Comphy devices of Tech. D in the same way as presented in Section 5.6 . A peculiar feature here is that Tech. D3
shows good NBTI lifetime performance because some regular degradation is compensated by the anomalous electron trapping from the gate, see Fig. 5.40 .
Abbildung 5.40: All splits of Tech. D meet the reliability target of mV degradation after 10 years for oxide fields up to MV/cm. For larger oxide fields, Tech. D2 (green) and Tech. D4
(red) show similar lifetimes. The lifetime of Tech. D1 (blue) is beyond this scale for PBTI. Interestingly, Tech. D3 shows the best NBTI lifetime because some hole trapping from the channel is compensated by electron trapping from
the gate. After [GRJ2].
5.8 AC and Frequency Dependence
The simulations of arbitrary stress signals with Comphy is demonstrated here for a sawtooth signal which was measured on the commercial 130 nm SiON technology (Tech. A ) and calibrated in in Section 5.4 . As shown in Fig. 5.41 , the measured degradation is well reproduced.
Abbildung 5.41: A sawtooth stress signal with a frequency of Hz is applied on a pMOSFET of Tech. A for ms (left) and the subsequent recovery (right) is mea-
sured (circles) and simulated (lines). After [GRJ2].
5.8.1 2-State Frequency Dependence
For periodic signals, a very efficient computation methodology was presented in Section 4.5 which allows to accurately simulate long-term BTI degradation with high-frequency AC stress. In Fig. 5.42 , the stress data measured on pMOSFETs of Tech. A for frequencies in the range of Hz up to MHz is compared to the Comphy simulations. The trend for frequencies up to kHz is well reproduced. In this range, the frequency dependence is dominated by charge trapping
of the last stress period: For digital AC stress with the frequency and a duty cycle of , the last stress phase is applied for before the measurement of . Thus, all defects with a capture time constant smaller than
will be charged which can constitute a
considerable degradation in particular for NBTI with its fast capture and emission time constants.
Abbildung 5.42: The frequency dependence of digital AC stress (first half period low, second half period high) measured on multiple pMOSFETs of Tech. A for each frequency to reduce uncertainty due to device-to-device variability (circles).
The Comphy simulations with the simple 2-state NMP model (line) reproduce the frequency dependence up to kHz well, but saturates above that. This indicates
the additional frequency dependence due to metastable states which can be considered effectively in 2-state models. The degradation after DC stress is simulated and plotted as a reference (dashed line) with the same net stress time as for the AC experiments.
5.8.2 Effective 3-State Frequency Dependence
The observation of the frequency dependence for high frequencies in Fig. 5.42 is in line with other studies which support the mechanism of an inherent frequency dependence due to metastable states [173].
This mechanism is also important for correct modeling of the duty cycle dependence with its frequently reported “S-shape” [87, 90, 142]. The Comphy simulations of the pMOSFET device previously calibrated for Tech. A , now with the effective 3-state
frequency dependence (see Subsection 4.3.4 ) using ms and s, gives a good agreement to the experimental duty
cycle dependence of Tech. A , see Fig. 5.43 .
Abbildung 5.43: The relative degradation during NBTI AC stress as a function of the duty cycle DTC is simulated with the calibrated Comphy pMOSFETs (Tech. A ) using the effective 3-state frequency depen-
dence (lines) and compared to experimental data of the same technology [90]. The frequently reported “S-shape” is reproduced. Both, the degradation directly after stress (solid line) and the degradation considering the measurement delay of s (dashed line) are simulated. After [GRJ2].
5.9 Summary of the Results
The key findings of the studies presented in this chapter will be reviewed in the following. All defect distributions extracted with Comphy simulations are depicted in Fig. 5.44 . The corresponding technology
details and parameters which define the electrostatics are listed in Table 5.4 . Finally, the full list of defect model parameters is presented in Table 5.5 .
5.9.1 Defects Responsible for BTI
In total, five characteristic defect distributions were extracted, two of which in HfO2 materials, two in SiO2 materials, and one is ascribed to defects in the interfacial region of Si/SiO2 :
• In SiO2 , the dominant defects have deep trap levels.
• In addition, defects in SiO2 with a shallow trap level and a low effective defect concentration were verified.
• In HfO2 , the dominant defects have shallow trap levels.
• In addition, defects in HfO2 with a deep trap level were extracted. Due to their energy alignment, on Si technologies they only contribute to the degradation at particular conditions.
• More phenomenologically, a distribution of thermal transitions was determined and modeled with a field dependent double-well. This degradation is typically referred to as quasi-permanent and ascribed to defect generation, interface state depassivation, or defect
transformation and is probably related to the relocation of hydrogen.
PBTI on Plain SiO Technologies
Historically, less attention was paid to PBTI because of its negligible impact on plain SiO2 technologies. Still, it was deduced from RTN studies [100] and reported at high stress fields [181]. Our calibrations show that the defects responsible for PBTI in SiO2 layers
have a shallow trap level which lies about eV above the mid-gap of the Si channel. Its impact was clearly observed on
Tech. D1 because of the thick SiO2 layer but mostly overshadowed by defects on HfO2 on high-κ technologies.
NBTI on Plain SiO Technologies
This phenomenon was already observed in 1967 [22] and intensively studied around the year 2000 where it became a severe reliability concern in scaled SiO2 technologies. In line with earlier studies [GRC21], the responsible defects were identified with a defect level
of about eV with respect to the mid-gap of the Si channel. While these defects constitute the recoverable
component of BTI, a pronounced quasi-permanent degradation is observed at NBTI conditions. Its contribution is captured well with simple thermal transitions with an empiric field dependence of the activation energies.
PBTI on High-κ Technologies
As opposed to plain SiO2 technologies, the degradation at positive stress voltages can be more dominant on high-κ technologies compared to the degradation at negative stress voltages. The responsible defects are situated in the HfO2 layer with defect levels of about
eV with respect to the mid-gap of the channel. The shallow defects in the interfacial SiO2 layer of
high-κ technologies barely contribute.
NBTI on High-κ Technologies
Same as for NBTI on plain SiO2 technologies, defects in the SiO2 layer with a deep trap level and the quasi-permanent component typically govern NBTI of high-κ technologies. Defects in the HfO2 layer with a deep trap level can contribute, as discussed in the next
subsection.
5.9.2 Anomalous BTI
An additional thin oxide layer which is adjacent to the gate and which has a lower permittivity compared to HfO2 can enhance charge capture of defects in the HfO2 layer. This is because of its effect on the energetic alignment of the Fermi level of the gate to the
defects in the HfO2 layer (see Subsection 1.1.6 ). The simulations with Comphy consistently describe this phenomenon as charge trapping of defects in HfO2 with a deep trap level from the gate, see Section 5.7 .
5.9.3 Lifetime Extrapolation
Simple lifetime assessments by linear extrapolation of degradation data on log-log plots may give reasonable estimates for particular technologies and stress conditions. However, such power law descriptions are prone to inaccurate determination of the time
dependence , in particular for NBTI, see Subsection 5.6.3 and cannot predict the lifetime of more involved technologies such as Tech. D where anomalous BTI is observed (see Subsection 5.7.4 ). Furthermore, this is an agnostic method while lifetime estimations in the design of more stable technologies require physical models.
5.9.4 Thermal Budget and Anneals
The impact of the thermal budget on the device properties can be manifold and is difficult to grasp precisely. For example, thermal anneals of oxide stacks were found to induce scavenging of the interfacial layer, strongly depending on the gate material during the
anneal [183]. Still, some trends are apparent in the extracted defect bands as presented below.
Impact on Defects in HfO
In general, thermal anneals of high-κ stacks induce a positive shift of the effective trap level of defects in the HfO2 layer [GRC2]. Consistently, the mean trap level of the shallow defects in HfO2 of Tech. B and Tech. D4 is about
eV higher compared to the technologies without a PDA, see Table 5.5 .
Impact on Defects in SiO
Quite the opposite to HfO2 , the thermal anneal does have an impact on the defect concentration of the pre-existing defects in SiO2 but does not substantially change their trap level. The technologies with an ISSG SiO2 layer (Tech. D ) have a very low
concentration of defects with deep trap levels which is increased after the PDA (Tech. D4 ), approaching the high values obtained for technologies with annealed RTO oxides. The role of hydrogen remains speculative at this point and has to be
elaborated.
5.9.5 Diffusion of Aluminum
The diffusion of Al into the HfO2 layer during an anneal was demonstrated for a technology very similar to Tech. D [177]. The comparison of Tech. B and Tech. D4 indicates that the Al, which remains in the
HfO2 layer of Tech. D4 after the selective removal, induces a decrease of defects densities with a shallow trap level and an increase of defects densities with a deep trap level.
Abbildung 5.44: Four characteristic oxide defect distributions have been extracted in this chapter, two in HfO2 and two in SiO2 . Typically, NBTI is governed by the defects in SiO2 with deep trap levels and PBTI is governed by
defects in HfO2 with shallow trap levels. Considering all four defect distributions in physical simulations allows to understand, accurately reproduce, and predict the degradation of MOS devices for various stress conditions. After [GRJ2].
Tabelle 5.4: Technologies simulated with Comphy and the parameters used to describe their electrostatics [GRJ2].
Tech. A
Tech. D1
Tech. D2
Tech. D3
Tech. D4
Tech. B
Commercial
SiON 130 nm
imec
DRAM periphery
imec
DRAM periphery
imec
DRAM periphery
imec
DRAM periphery
Foundry
planar 28 nm
technology details
SiO2
SiON
ISSG
ISSG
ISSG
ISSG
RTO
HfO2
-
-
X
X
X
X
Al2 O3
-
-
-
X
removed
-
PDA
-
-
-
-
X
X
gate
poly
poly
TaN/TiN
TaN/TiN
TaN/TiN
TiN
EOT
nm
1.43
5
4.94
5.07
4.9
1.41
nMOS
V
-
0.375
0.952
1.25
1.11
0.438
pMOS
V
-0.431
-0.469
-0.929
-0.759
-0.755
-0.404
nMOS
V
-
-0.921
-0.516
-0.35
-0.464
-0.826
pMOS
V
0.532
1.04
0.579
0.716
0.705
0.523
input parameters
nMOS
cm
-
2.8 × 1017
5 × 1017
6.77 × 1017
6.77 × 1017
1.59 × 1018
pMOS
cm
2 × 1017
5.5 × 1017
5.6 × 1017
4.9 × 1017
4.9 × 1017
1.4 × 1017
nMOS
eV
-
-0.48
-0.06
0.114
0
-0.34
pMOS
eV
0.1
0.581
0.12
0.261
0.25
0.1
nm
2.2
5
4.55
4.55
4.55
1
nm
-
-
2
1.8
1.8
2.1
nm
-
-
-
0.4
-
-
Tabelle 5.5: Technologies simulated with Comphy and the parameters used to describe their oxide degradation [GRJ2].
Tech. A
Tech. D1
Tech. D2
Tech. D3
Tech. D4
Tech. B
Commercial
SiON 130 nm
imec
DRAM periphery
imec
DRAM periphery
imec
DRAM periphery
imec
DRAM periphery
Foundry
planar 28 nm
shallow SiO2
cm
-
1.93 × 1019
1.93 × 1019
1.93 × 1019
1.65 × 1019
1.5 × 1019
eV
-
0.998 0.162
0.998 0.162
0.998 0.162
1.01 0.218
1.13 0.15
eV
-
4.93 1.99
4.93 1.99
4.93 1.99
3.82 1.36
3.82 1.36
1
-
0.437
0.437
0.437
0.407
0.407
deep SiO2
cm
1.42 × 1020
3.54 × 1019
5.5 × 1019
1 × 1020
1.42 × 1020
1.42 × 1020
eV
-1.36 0.26
-1.36 0.24
-1.36 0.24
-1.38 0.2
-1.4 0.21
-1.26 0.24
eV
7.95 3.5
5.63 2.67
5.63 2.67
5.63 2.67
5.63 2.67
5.63 2.67
1
2.59
2.25
2.25
2.25
2.25
1.8
shallow HfO2
cm
-
-
3.61 × 1020
4.11 × 1020
2.5 × 1020
5.52 × 1020
eV
-
-
0.794 0.169
0.857 0.189
1.15 0.15
1.2 0.156
eV
-
-
6.98 0.511
6.45 0.34
6 0.6
3.19 0.77
1
-
-
0.692
0.659
0.61
0.587
deep HfO2
cm
-
-
6.63 × 1020
6.72 × 1020
6.72 × 1020
2.95 × 1020
eV
-
-
-0.292 0.158
-0.444 0.15
-0.444 0.15
-0.17 0.14
eV
-
-
5.81 1.74
3.55 0.741
3.55 0.741
6.5 1.99
1
-
-
1
1
1
0.514
double well
cm
6.5 × 1013
4.5 × 1013
4.5 × 1013
4.5 × 1013
4.5 × 1013
4.5 × 1013
eV
2.73 0.43
2.51 0.376
2.46 0.376
2.34 0.395
2.33 0.376
2.32 0.376
eV
2.75 0.7
1.9 0.5
1.9 0.5
1.9 0.5
1.9 0.5
1.77 0.5
s
1 × 1013
1 × 1013
1 × 1013
1 × 1013
1 × 1013
1 × 1013
eV m/V
7 × 10−10
4.8 × 10−10
4.8 × 10−10
4.5 × 10−10
4.5 × 10−10
6.8 × 10−10
6 Conclusions and Outlook
6.1 Conclusions
This thesis investigated recoverable BTI of MOS devices as a reaction-limited oxide charge trapping process within the NMP theory and employed a phenomenological model to describe the quasi-permanent component of BTI in two different frameworks:
• The full 4-state NMP model was implemented in a commercial TCAD software and complemented by field-dependent thermal transitions.
• The 2-state NMP model was implemented in a concise Python modeling framework called Comphy, short for “compact-physics” together with a simple double-well model.
While the former enabled the study of all details of charge trapping such as RTN and SILC, the latter is much more efficient and, thus, enabled the study of the physical defect properties of a broad range of technologies. In summary, with these two modeling
frameworks we have achieved the following:
• RTN, SILC, and tunneling currents were verified to be consistent with BTI as they are all governed by charge trapping at oxide defects.
• We have extracted the characteristic oxide defect distributions in HfO2 and SiO2 oxides for several different processes and listed all parameters used in the Comphy simulations.
• Unified modeling of all four combinations of PBTI and NBTI on pMOS and nMOS devices was demonstrated.
• We have corroborated the correct lifetime prediction by experimental studies of commercial high-κ technologies which span 12 decades in stress time.
• Efficient implementations of AC simulations with arbitrary signals were discussed and demonstrated.
• We have verified and consistently modeled anomalous BTI due to charge trapping of oxide defects which interact with carriers in the gate of MOS devices.
Thus, this thesis contributes to a better understanding and a more efficient modeling of BTI. This can aid improvement of existing and development of future MOS technologies.
6.2 Outlook
A profound understanding of BTI was established in this work for devices with Si channels and SiO2 and HfO2 oxides. This physical foundation enables various studies in the still very complex field of BTI research.
6.2.1 Extensions of the Comphy Framework
The Comphy framework and the accurately verified physical parameters enable detailed modeling of the mean degradation during BTI stress. Extensions of this physical framework are straightforward to make it more versatile.
Physical Modeling of Quasi-Permanent BTI
In particular, the gate-sided hydrogen release model improved the physical understanding of the quasi-permanent component. Still, the defect creation, the depassivation of dangling bonds, and the transformation of oxide defects is not fully understood and Comphy
uses a simple double-well model to capture these quasi-permanent contributions. Future studies should further elaborate the mechanisms which contribute to the quasi-permanent component of BTI in order to improve or replace the double-well model.
Modeling of CV Curves
CV curves comprise detailed information on defects and their time constants, in particular if they are recorded for various measurement frequencies. Modeling the capacitance of MOS devices and its distortion by defects is straightforward and should be implemented
in Comphy.
Variability
A lot of work was done to understand the initial and the time-dependent variability of MOS devices with small effective gate areas. Both the device-to-device variability as well as the process dependent across-wafer variability is investigated in the literature. The
modeling of single defects sampled in a Monte Carlo fashion enables Comphy to deal with variability. This should be elaborated in future studies.
Hot-Carrier Degradation
In actual circuits, a mixture of BTI and HCD is observed and their interplay is still controversial. Once the physical mechanisms which are responsible for HCD are fully established, the description could be incorporated into the Comphy framework to model the
degradation for various drain voltages of MOSFETs.
6.2.2 Studies of Novel Materials and Structures
Novel technologies with 2D channel and oxide materials such as BP, MoS2 , or hexagonal boron nitride (h-BN) as well as devices with novel geometries such as nanowires suffer from severe charge trapping. On the other hand, several technologies are designed to
exploit these degradation mechanisms, for example, resistive random-access memories (RRAMs) and physical unclonable functions (PUFs). The results presented in this thesis may contribute to a successful transfer of the knowledge gathered on Si technologies to these
new applications.
Bibliography
[1] W. Schottky. “Small-Shot Effect and Flicker Effect”. In: Physical Review 28.1 (1926), S. 74–103.
[2] R.L. Petritz. “On the Theory of Noise in P-N Junctions and Related Devices”. In: Proceedings of the IRE 40.11 (1952), S. 1440–1456.
[3] M.J. Uren, D.J. Day und M.J. Kirton. “1/F and Random Telegraph Noise in Silicon Metal-Oxide-Semiconductor Field-Effect Transistors”. In: Appl.Phys.Lett. 47.11 (1985), S. 1195–1197.
[4] M.J. Uren, M.J. Kirton und S. Collins. “Anomalous Telegraph Noise in Small-Area Silicon Metal-Oxide-Semiconductor Field-Effect Transistors”. In: Physical Review B 37.14 (1988), S. 8346–8350.
[5] M.E. Welland und R.H. Koch. “Spatial Location of Electron Trapping Defects on Silicon by Scanning Tunneling Microscopy”. In: Appl.Phys.Lett. 48.11 (1986), S. 724–726.
[6] M.O. Andersson, Z. Xiao, S. Norrman und O. Engström. “Model Based on Trap-Assisted Tunneling for Two-Level Current Fluctuations in Submicrometer Metal — Silicon-Dioxide — Silicon Diodes”. In: Physical Review B 41.14 (1990),
S. 9836–9842.
[7] C.M. Osburn und N.J. Chou. “Accelerated Dielectric Breakdown of Silicon Dioxide Films”. In: J.Electrochem.Soc. 120.10 (1973), S. 1377–1384.
[8] R. Degraeve, G. Groeseneken, R. Bellens, M. Depas und H.E. Maes. “A Consistent Model for the Thickness Dependence of Intrinsic Breakdown in Ultra-Thin Oxides”. In: Proc. Intl.Electron Devices Meeting (IEDM) . 1995, S. 863–866.
[9] P. Olivo, T.N. Nguyen und B. Riccó. “High-Field-Induced Degradation in Ultra-Thin SiO2 Films”. In: IEEE Trans.Electron Devices 35.12 (1988), S. 2259–2267.
[10] F. Crupi, R. Degraeve, A. Kerber, D.H. Kwak und G. Groeseneken. “Correlation between Stress-Induced Leakage Current (SILC) and the HfO2 Bulk Trap Density in a SiO2 /HfO2 Stack”. In: Proc. Intl.Rel.Phys.Symp. (IRPS) . 2004, S. 181–187.
[11] E. Cartier und A. Kerber. “Stress-Induced Leakage Current and Defect Generation in nFETs with HfO2 /TiN Gate Stacks During Positive-Bias Temperature Stress”. In: Proc. Intl.Rel.Phys.Symp. (IRPS) . 2009, S. 486–492.
[12] D. Veksler, G. Bersuker, H. Park, C. Young, K. Y. Lim, W. Taylor, S. Lee und H. Shin. “The Critical Role of the Defect Structural Relaxation for Interpretation of Noise Measurements in MOSFETs”. In: Proc. Intl.Integrated Reliability Workshop .
2009, S. 102–105.
[13] L. Larcher, A. Paccagnella und G. Ghidini. “A Model of the Stress Induced Leakage Current in Gate Oxides”. In: IEEE Trans.Electron Devices 48.2 (2001), S. 285–288.
[14] S.A. Abbas und R.C. Dockerty. “Hot-Carrier Instability in IGFET’s”. In: Appl.Phys.Lett. 27.3 (1975), S. 147–148.
[15] T.H. Ning, P.W. Cook, R.H. Denard, C.M. Osburn, S.E. Schuster und H.N. Yu. “1 µm MOSFET VLSl Technology: Part IV - Hot-Electron Design Constraints”. In: IEEE Trans.Electron Devices ED-26.4 (1979).
[16] C. Hu, S.C. Tam, F.C. Hsu, P.K. Ko, T.Y. Chan und K.W. Terrill. “Hot-Electron-Induced MOSFET Degradation—Model, Monitor, and Improvement”. In: IEEE Trans.Electron Devices 32.2 (1985), S. 375–385.
[17] S. Tyaginov und T. Grasser. “Modeling of Hot-Carrier Degradation: Physics and Controversial Issues”. In: Proc. Intl.Integrated Reliability Workshop (2012), S. 206–215.
[18] A. Coblenz und H.L. Owens. “Variation of Transistor Parameters with Temperature”. In: Proceedings of the IRE 40.11 (1952), S. 1472–1476.
[19] G.G. Harman und R.L. Raybold. “Direct Observation of Charge Storage in the Surface States of Silicon”. In: 34.2 (1963), S. 380–383.
[20] J.E. Thomas und D.R. Young. “Space-Charge Model for Surface Potential Shifts in Silicon Passivated with Thin Insulating Layers”. In: IBM Journal of Research and Development 8.4 (Sep. 1964), S. 368–375.
[21] Y. Miura und Y. Matukura. “Investigation of Silicon-Silicon Dioxide Interface Using MOS Structure”. In: Jap.J.Appl.Phys. 5 (1966), S. 180.
[22] B.E. Deal, M. Sklar, A. S. Grove und E. H. Snow. “Characteristics of the Surface-State Charge (Qss) of Thermally Oxidized Silicon”. In: J.Electrochem.Soc. 114.3 (1967), S. 266.
[23] X. Federspiel, M. Rafik, D. Angot, F. Cacho und D. Roy. “Interaction Between BTI and HCI Degradation in high-κ Devices”. In: Proc. Intl.Rel.Phys.Symp. (IRPS) (2013), S. 1–4.
[24] M. Ershov, R. Lindley, S. Saxena, A. Shibkov, S. Minehane, J. Babcock, S. Winters, H. Karbasi, T.Yamashita, P. Clifton und M. Redford. “Transient Effects and Characterization Methodology of Negative Bias Temperature Instability in pMOS Transistors”. In:
Proc. Intl.Rel.Phys.Symp. (IRPS) . 2003, S. 606–607.
[25] D.K. Schroder. “Negative Bias Temperature Instability: What Do We Understand?” In: Microelectronics Reliability 47.6 (2007), S. 841–852.
[26] V. Huard. “Two Independent Components Modeling for Negative Bias Temperature Instability”. In: Proc. Intl.Rel.Phys.Symp. (IRPS) . Mai 2010, S. 33–42.
[27] T. Grasser, Th. Aichinger, H. Reisinger, J. Franco, P.-J. Wagner, M. Nelhiebel, C. Ortolland und B. Kaczer. “On the ‘Permanent’ Component of NBTI”. In: Proc. Intl.Integrated Reliability Workshop . Okt. 2010.
[28] J.F. Zhang, C.Z. Zhao, A.H. Chen, G. Groeseneken und R. Degraeve. “Hole Traps in Silicon Dioxides - Part I: Properties”. In: IEEE Trans.Electron Devices 51.8 (2004), S. 1267–1273.
[29] V. Huard, M. Denais und C. Parthasarathy. “NBTI Degradation: From Physical Mechanisms to Modelling”. In: Microelectronics Reliability 46.1 (2006), S. 1–23.
[30] S.C. Chen, C.H. Chien und J.C. Lou. “Impact of Charge Trapping Effect on Negative Bias Temperature Instability in P-MOSFETs with HfO2 /SiON Gate Stack”. In: Journal of Physics: Conference Series 100.4 (2008), S. 042045.
[31] R. O’Connor, V.S. Chang, L. Pantisano, L.Å. Ragnarsson, M. Aoulaiche, B. O’Sullivan und G. Groeseneken. “Anomalous Positive-Bias Temperature Instability of High-κ/Metal Gate Devices with Dy2 O3 Capping”. In: Applied Physics Letters 93.5
(2008), S. 053506.
[32] M. Toledano-Luque, B. Kaczer, M. Aoulaiche, A. Spessot, Ph J. Roussel, R. Ritzenthaler, T. Schram, A. Thean und G. Groeseneken. “Analytical Model for Anomalous Positive Bias Temperature Instability in La-based HfO2 nFETs Based on Independent
Characterization of Charging Components”. In: Microelectronic Engineering 109 (2013), S. 314–317.
[33] A. Stesmans und V.V. Afanas’ev. ESR of Interfaces and Nanolayers in Semiconductor Heterostructures . Elsevier B.V., 2008, S. 435–482.
[34] M.A. Jupina und P.M. Lenahan. “A Spin Dependent Recombination Study of Radiation Induced Defects at and Near the Si/SiO2 Interface”. In: IEEE Trans.Nucl.Sci. 36.6 (1989), S. 1800–1807.
[35] S. Fujieda, M. Terai, M. Saitoh, A. Toda, Y. Miura, Z. Liu, Y. Teraoka, A. Yoshigoe, M. Wilde und K. Fukutani. “Bias Temperature Instability Characterization of Advanced Gate Stacks”. In: ECS Trans. 6.3 (2007), S. 185–202.
[36] D.B. Williams und C.B. Carter. Transmission Electron Microscopy . Bd. 5. 1999, S. 452–453.
[37] G. Binnig, H. Fuchs, C. Gerber, H. Rohrer, E. Stoll und E. Tosatti. “Energy-Dependent State-Density Corrugation of a Graphite Surface as Seen by Scanning Tunneling Microscopy”. In: EPL (Europhysics Letters) 1.1 (1986), S. 31.
[38] R.F.K. Herzog und F.P. Viehböck. “Ion Source for Mass Spectrography”. In: Physical Review 76.6 (1949), S. 855–856.
[39] G. Groeseneken, H.E. Maes, N. Beltran und R.F. de Keersmaecker. “A Reliable Approach to Charge-Pumping Measurements in MOS Transistors”. In: IEEE Trans.Electron Devices 31.1 (1984), S. 42–53.
[40] D.J. Fitzgerald und A.S. Grove. “Surface Recombination in Semiconductors”. In: Surf.Sci. 9.July (1968), S. 347–369.
[41] A. Neugroschel, C.-T. Sah, K.M. Han, M.S. Carroll, T. Nishida, J.T. Kavalieros und Y. Lu. “Direct-Current Measurements of Oxide and Interface Traps on Oxidized Silicon”. In: IEEE Trans.Electron Devices 42.9 (1995), S. 1657–1662.
[42] E.H. Nicollian und A. Goetzberger. “MOS Conductance Technique for Measuring Surface State Parameters”. In: Appl.Phys.Lett. 7.8 (1965), S. 216–219.
[43] P.V. Gray und D.M. Brown. “Densitiy of SiO2 -Si Interface States”. In: Appl.Phys.Lett. 8.2 (1966), S. 31–33.
[44] F. Schanovsky, W. Goes und T. Grasser. “An Advanced Description of Oxide Traps in MOS Transistors and its Relation to DFT”. In: J.Comp.Elec. 9.3-4 (2010), S. 135–140.
[45] B. Tuttle und C.G. Van de Walle. “Structure, Energetics, and Vibrational Properties of Si-H Bond Dissociation in Silicon”. In: Physical Review B 59.20 (1999), S. 12884–12889.
[46] A. Stesmans. “Dissociation Kinetics of Hydrogen-Passivated Pb Defects at the (111)Si/ Interface”. In: Physical Review B 61.12
(2000), S. 8393–8403.
[47] C.G. Van de Walle und B.R. Tuttle. “Microscopic Theory of Hydrogen in Silicon Devices”. In: IEEE Trans.Electron Devices 47.10 (2000), S. 1779–1786.
[48] E.H. Poindexter, G.J. Gerardi, M.-E. Rueckel, P.J. Caplan, N.M. Johnson und D.K. Biegelsen. “Electronic Traps and Pb Centers at the / Interface: Band-Gap Energy Distribution”. In:
J.Appl.Phys. 56.10 (1984), S. 2844–2849.
[49] P.M. Lenahan und J.F. Conley Jr. “What Can Electron Paramagnetic Resonance Tell Us about the / System?” In: J.Vac.Sci.Technol.B 16.4 (1998),
S. 2134–2153.
[50] P.M. Lenahan und P.V. Dressendorfer. “Hole Traps and Trivalent Silicon Centers in Metal/Oxide/Silicon Devices”. In: J.Appl.Phys. 55.10 (1984), S. 3495–3499.
[51] P.E. Blöchl und J.H. Stathis. “Aspects of Defects in Silica Related to Dielectric Breakdown of Gate Oxides in MOSFETs”. In: Physica B 273-274 (1999), S. 1022–1026.
[52] A.M. El-Sayed, M.B. Watkins, T. Grasser, V.V. Afanas’ev und A.L. Shluger. “Hydrogen Induced Rupture of Strained Si-O Bonds in Amorphous Silicon Dioxide”. In: Physical Review Letters 114.11 (2015), S. 115503.1–115503.5.
[53] K.O. Jeppson und C.M. Svensson. “Negative Bias Stress of MOS Devices at High Electric Fields and Degradation of MNOS Devices”. In: J.Appl.Phys. 48.5 (1977), S. 2004–2014.
[54] J.H. Stathis, S. Mahapatra und T. Grasser. “Controversial Issues in Negative Bias Temperature Instability”. In: Microelectronics Reliability 81 (2018), S. 244–251.
[55] S. Chakravarthi, A.T. Krishnan, V. Reddy, C.F. Machala und S. Krishnan. “A Comprehensive Framework for Predictive Modeling of Negative Bias Temperature Instability”. In: Proc. Intl.Rel.Phys.Symp. (IRPS) . 2004, S. 273–282.
[56] S. Mahapatra, P.B. Kumar und M.A. Alam. “Investigation and Modeling of Interface and Bulk Trap Generation During Negative Bias Temperature Instability of p-MOSFETs”. In: IEEE Trans.Electron Devices 51.9 (2004), S. 1371–1379.
[57] S. Mahapatra, M.A. Alam, P.B. Kumar, T.R. Dalei, D. Varghese und D. Saha. “Negative Bias Temperature Instability in CMOS Devices”. In: Microelectronic Engineering 80.Suppl. (2005), S. 114–121.
[58] A.T. Krishnan, S. Chakravarthi, P. Nicollian, V. Reddy und S. Krishnan. “Negative Bias Temperature Instability Mechanism: The Role of Molecular Hydrogen”. In: Appl.Phys.Lett. 88.15 (2006), S. 1–3.
[59] D.S. Ang und S. Wang. “Recovery of the NBTI-Stressed Ultrathin Gate p-MOSFET: The Role of Deep-Level Hole Traps”. In: IEEE Electron Device Lett. 27.11 (2006), S. 914–916.
[60] T. Grasser, B. Kaczer und W. Goes. “An Energy-Level Perspective of Bias Temperature Instability”. In: Proc. Intl.Rel.Phys.Symp. (IRPS) . 2008, S. 28–38.
[61] T. Grasser, B. Kaczer, W. Goes, Th. Aichinger, Ph. Hehenberger und M. Nelhiebel. “A Two-Stage Model for Negative Bias Temperature Instability”. In: Proc. Intl.Rel.Phys.Symp. (IRPS) . 2009, S. 33–44.
[62] S. Mahapatra, K. Ahmed, D. Varghese, A. E. Islam, G. Gupta, L. Madhav, D. Saha und M. A. Alam. “On the Physical Mechanism of NBTI in Silicon Oxynitride p-MOSFETs: Can Differences in Insulator Processing Conditions Resolve the Interface Trap
Generation versus Hole Trapping Controversy?” In: Proc. Intl.Rel.Phys.Symp. (IRPS) . 2007, S. 1–9.
[63] S. Mahapatra, N. Goel, S. Desai, S. Gupta, B. Jose, S. Mukhopadhyay, K. Joshi, A. Jain, A.E. Islam und M.A. Alam. “A Comparative Study of Different Physics-Based NBTI Models”. In: IEEE Trans.Electron Devices 60.3 (2013), S. 901–916.
[64] J.H. Stathis und S. Zafar. “The Negative Bias Temperature Instability in MOS Devices: A Review”. In: Microelectronics Reliability 46.2-4 (2006), S. 270–286.
[65] S. Mahapatra, N. Goel, S. Desai, S. Gupta, B. Jose, S. Mukhopadhyay, K. Joshi, A. Jain, A.E. Islam und M.A. Alam. “A Comparative Study of Different Physics-Based NBTI Models”. In: IEEE Trans.Electron Devices 60.3 (2013), S. 901–916.
[66] https://scholar.google.com. Search phrase: “Bias Temperature Instability” OR “Bias Temperature Stress”.
[67] T. Grasser. “Stochastic Charge Trapping in Oxides: From Random Telegraph Noise to Bias Temperature Instabilities”. In: Microelectronics Reliability 52 (2012), S. 39–70.
[68] K. Chatty, S. Banerjee, T.P. Chow und Gutmann R.J. “Hysteresis in Transfer Characteristics in 4H – SiC Depletion / Accumulation-Mode MOSFETs”. In: IEEE Electron Device Lett. 23.6 (2002), S. 330–332.
[69] H. Reisinger, O. Blank, W. Heinrigs, A. Mühlhoff, W. Gustin und C. Schlünder. “Analysis of NBTI Degradation- and Recovery-Behavior Based on Ultra Fast Vth -Measurements”. In: Proc. Intl.Rel.Phys.Symp. (IRPS) . 2006, S. 448–453.
[70] C.T. Sah, T.H. Ning und L.L. Tschopp. “The Scattering of Electrons by Surface Oxide Charges and by Lattice Vibrations at the Silicon-Silicon Dioxide Interface”. In: Surface Science 32.3 (1972), S. 561–575.
[71] A.T. Dejenfelt und O. Engström. “MOSFET Mobility Degradation due to Interface-States, Generated by Fowler-Nordheim Electron Injection”. In: Microelectronic Engineering 15 (1991), S. 461–464.
[72] D.K. Schroder und J.A. Babcock. “Negative Bias Temperature Instability: Road to Cross in Deep Submicron Silicon Semiconductor Manufacturing”. In: J.Appl.Phys. 94.1 (2003), S. 1–18.
[73] A. Ortiz-Conde, J. Rodrguez, F.J. Garca Sánchez und J.J. Liou. “An Improved Definition for Modeling the Threshold Voltage of MOSFETs”. In: Solid-State Electron. 42.9 (1998), S. 1743–1746.
[74] K. Terada, K. Nishiyama und K.I. Hatanaka. “Comparison of MOSFET-Threshold-Voltage Extraction Methods”. In: Solid-State Electron. 45.1 (2001), S. 35–40.
[75] A. Ortiz-Conde, F.J. García Sánchez, J.J. Liou, A. Cerdeira, M. Estrada und Y. Yue. “A Review of Recent MOSFET Threshold Voltage Extraction Methods”. In: Microelectronics Reliability 42.4-5 (2002), S. 583–596.
[76] X. Yu, R. Cheng, W. Liu, Y. Qu, J. Han, B. Chen, J. Lu und Y. Zhao. “A Fast Vth Measurement (FVM) Technique for NBTI Behavior Characterization”. In: IEEE Electron Device Lett. 39.2 (2018), S. 172–175.
[77] S.C. Sun und J. D. Plummer. “Electron and Hole Mobilities in Inversion Layers on Thermally Oxidized Silicon Surfaces”. In: IEEE Trans.Electron Devices ED-27.8 (1980), S. 1497–1508.
[78] K. Aoyama. “A Method for Extracting the Threshold Voltage of MOSFETs Based on Current Components”. In: Proc. Simulation of Semiconductor Devices and Processes . Bd. 6. September. 1995, S. 118–121.
[79] S.M. Sze. Physics of Semiconductor Devices . Third. New York: Wiley, 1981.
[80] J.S. Lyu, K.S. Nam und C. Lee. “Determination of the Interface Trap Density in Metal Oxide Semiconductor Field-Effect Transistor through Subthreshold Slope Measurement”. In: J.Appl.Phys. 32.10 (1993), S. 4393–4397.
[81] S.A. Imam, S. Sabri und T. Szkopek. “Low-Frequency Noise and Hysteresis in Graphene Field-Effect Transistors on Oxide”. In: Nano Letters 5.1 (2010), S. 37.
[82] G. Bersuker, J.H. Sim, C.D. Young, R. Choi, P.M. Zeitzoff, G.A. Brown, B.H. Lee und R.W. Murto. “Effect of Pre-Existing Defects on Reliability Assessment of High-K Gate Dielectrics”. In: Microelectronics Reliability 44 (2004), S. 1509–1512.
[83] J. Franco, B. Kaczer, J. Roussel, M. Cho, T. Grasser, J. Mitard, H. Arimura, L. Witters, D. Cott, N. Waldron, D. Zhou, A. Vais, D. Lin, A. Alian, M. A. Pourghaderi, K. Martens, S. Sioncke, N. Collaert, A. Thean, M. Heyns und G. Groeseneken. “BTI Reliability
of High-Mobility Channel Devices: SiGe, Ge and InGaAs”. In: Proc. Intl.Integrated Reliability Workshop . 2014.
[84] D.J. Breed. “A New Model for the Negative Bias Temperature Instability”. In: Appl.Phys.Lett. 26.3 (1975), S. 116–118.
[85] M. Ershov, S. Saxena, H. Karbasi, S. Winters, S. Minehane, J. Babcock, R. Lindley, P. Clifton, M.Redford und A. Shibkov. “Dynamic Recovery of Negative Bias Temperature Instability in p-type Metal-Oxide-Semiconductor Field-Effect Transistors”. In:
Appl.Phys.Lett. 83.8 (2003), S. 1647–1649.
[86] S. Rangan, N. Mielke und E.C.C. Yeh. “Universal Recovery Behavior of Negative Bias Temperature Instability”. In: Proc. Intl.Electron Devices Meeting (IEDM) . 2003, S. 341–344.
[87] B. Kaczer, T. Grasser, Ph.J. Roussel, J. Martin-Martinez, R. O’Connor, B.J. O’Sullivan und G. Groeseneken. “Ubiquitous Relaxation in BTI Stressing – New Evaluation and Insights”. In: Proc. Intl.Rel.Phys.Symp. (IRPS) . 2008, S. 20–27.
[88] T. Grasser und B. Kaczer. “Evidence that Two Tightly Coupled Mechanism are Responsible for Negative Bias Temperature Instability in Oxynitride MOSFETs”. In: IEEE Trans.Electron Devices 56.5 (2009), S. 1056–1062.
[89] H. Reisinger, T. Grasser, W. Gustin und C. Schlünder. “The Statistical Analysis of Individual Defects Constituting NBTI and its Implications for Modeling DC- and AC-Stress”. In: Proc. Intl.Rel.Phys.Symp. (IRPS) . Mai 2010, S. 7–15.
[90] H. Reisinger, T. Grasser, K. Ermisch, H. Nielen, W. Gustin und Ch. Schlünder. “Understanding and Modeling AC BTI”. In: Proc. Intl.Rel.Phys.Symp. (IRPS) . Apr. 2011, S. 597–604.
[91] M. Denais, A. Bravaix, V. Huard, C. Parthasarathy, G. Ribes, F. Perrier, Y. Rey-Tauriac und N. Revil. “On-the-fly Characterization of NBTI in Ultra-Thin Gate Oxide pMOSFET’s”. In: Proc. Intl.Electron Devices Meeting (IEDM) . 2004,
S. 109–112.
[92] T. Grasser, P.-J. Wagner, Ph. Hehenberger, W. Goes und B. Kaczer. “A Rigorous Study of Measurement Techniques for Negative Bias Temperature Instability”. In: Proc. Intl.Integrated Reliability Workshop . 2007, S. 6–11.
[93] S. Machlup. “Noise in Semiconductors: Spectrum of a Two-Parameter Random Signal”. In: J.Appl.Phys. 25.3 (1954), S. 341–343.
[94] A.L. McWhorter. “1/f Noise and Germanium Surface Properties”. In: Sem.Surf.Phys (1957), S. 207–228.
[95] H. Mikoshiba. “1/f Noise in n-Channel Silicon-Gate MOS Transistors”. In: IEEE Trans.Electron Devices 29.6 (1982), S. 965–970.
[96] K.S. Ralls, W.J. Skocpol, L.D. Jackel, R.E. Howard, L.A. Fetter, R.W. Epworth und D.M. Tennant. “Discrete Resistance Switching in Submicrometer Silicon Inversion Layers: Individual Interface Traps and Low-Frequency (1/ f ?) Noise”. In: Physical
Review Letters 52.3 (1984), S. 228–231.
[97] K. Kandiah, M.O. Deighon und F.B. Whiting. “A Physical Model for Random Telegraph Signal Currents in Semiconductor Devices”. In: J.Appl.Phys. 66.2 (1989), S. 937–948.
[98] N.V. Amarasinghe und C.B. Zeynep. “Complex Random Telegraph Signals in 0.06Ȃ f ; µm2 MDD n-MOSFETs”. In: Solid State Electronics 44 (2000), S. 1013–1019.
[99] A. Avellán, D. Schroeder und W. Krautschneider. “Modeling Random Telegraph Signals in the Gate Current of Metal-Oxide-Semiconductor Field Effect Transistors after Oxide Breakdown”. In: J.Appl.Phys. 94.1 (2003), S. 703–708.
[100] T. Nagumo, K. Takeuchi, T. Hase und Y. Hayashi. “Statistical Characterization of Trap Position, Energy, Amplitude and Time Constants by RTN Measurement of Multiple Individual Traps”. In: Proc. Intl.Electron Devices Meeting (IEDM) . 2010,
S. 628–631.
[101] T. Grasser, B. Kaczer, W. Goes, Th. Aichinger, Ph. Hehenberger und M. Nelhiebel. “Understanding Negative Bias Temperature Instability in the Context of Hole Trapping”. In: Microelectronic Engineering 86.7-9 (2009), S. 1876–1882.
[102] S. Guo, R. Wang, D. Mao, Y. Wang und R. Huang. “Anomalous Random Telegraph Noise in Nanoscale Transistors as Direct Evidence of Two Metastable States of Oxide Traps”. In: Scientific Reports 7.1 (2017), S. 1–6.
[103] C.Y. Chen, Q. Ran, H.J. Cho, A. Kerber, Y. Liu, M.R. Lin und R.W. Dutton. “Correlation of Id - and Ig -Random Telegraph Noise to Positive Bias Temperature Instability in Scaled High-κ/Metal Gate n-Type MOSFETs”. In: Proc. Intl.Rel.Phys.Symp.
(IRPS) . 2011, 3A.2.1–3A.2.6.
[104] M. Toledano-Luque, B. Kaczer, E. Simoen, R. Degraeve, J. Franco, P.J. Roussel, T. Grasser und G. Groeseneken. “Correlation of Single Trapping and Detrapping Effects in Drain and Gate Currents of Nanoscaled nFETs and pFETs”. In: Proc.
Intl.Rel.Phys.Symp. (IRPS) . 2012, XT.5.1–XT.5.6.
[105] D.V. Lang. “Deep-Level Transient Spectroscopy: A New Method to Characterize Traps in Semiconductors”. In: J.Appl.Phys. 45.7 (1974), S. 3023–3032.
[106] A. Karwath und M. Schulz. “Deep Level Transient Spectroscopy on Single, Isolated Interface Traps in Field-Effect Transistors”. In: Appl.Phys.Lett. 52.8 (1988), S. 634–636.
[107] T. Grasser, H. Reisinger, P.-J. Wagner, W. Goes, F. Schanovsky und B. Kaczer. “The Time Dependent Defect Spectroscopy (TDDS) for the Characterization of the Bias Temperature Instability”. In: Proc. Intl.Rel.Phys.Symp. (IRPS) . Mai 2010,
S. 16–25.
[108] A.K. Sinha und T.E. Smith. “Kinetics of the Slow-Trapping Instability at the Si/SiO2 Interface”. In: J.Electrochem.Soc. 125 (1978), S. 743–746.
[109] B. Kaczer, Ph. Roussel, T. Grasser und G. Groeseneken. “Statistics of Multiple Trapped Charges in the Gate Oxide of Deeply Scaled MOSFET Devices-Application to NBTI”. In: IEEE Electron Device Lett. 31.5 (2010), S. 411–413.
[110] B. Kaczer, T. Grasser, Ph.J. Roussel, J. Franco, R. Degraeve, L.A. Ragnarsson, E. Simoen, G. Groeseneken und H. Reisinger. “Origin of NBTI Variability in Deeply Scaled PFETs”. In: Proc. Intl.Rel.Phys.Symp. (IRPS) . 2010, S. 26–32.
[111] O. Roux dit Buisson, G. Ghibaudo und J. Brini. “Model for Drain Current RTS Amplitude in Small-Area MOS Transistors”. In: Solid-State Electron. 35.9 (1992), S. 1273–1276.
[112] A. Asenov, R. Balasubramaniam, A.R. Brown und J.H. Davies. “RTS Amplitudes in Decananometer MOSFETs: 3-D Simulation Study”. In: IEEE Trans.Electron Devices 50.3 (2003), S. 839–845.
[113] A. Ghetti, C. Monzio Compagnoni, F. Biancardi, A.L. Lacaita, S. Beltrami, L. Chiavarone, A.S. Spinelli und A. Visconti. “Scaling Trends for Random Telegraph Noise in Deca-Nanometer Flash Memories”. In: Proc. Intl.Electron Devices Meeting
(IEDM) (2008).
[114] K. Sonoda, K. Ishikawa, T. Eimori und O. Tsuchiya. “Discrete Dopant Effects on Statistical Variation of Random Telegraph Signal Magnitude”. In: IEEE Trans.Electron Devices 54.8 (2007), S. 1918–1925.
[115] N. Tega, H. Miki, F. Pagette, D.J. Frank, A. Ray, M.J. Rooks, W. Haensch und K. Torii. “Increasing Threshold Voltage Variation due to Random Telegraph Noise in FETs as Gate Lengths Scale to 20Ȃ f ;nm”. In: IEEE Symposium on VLSI
Technology Digest of Technical Papers (2009), S. 50–51.
[116] S. Realov und K.L. Shepard. “Analysis of Random Telegraph Noise in 45-nm CMOS Using On-Chip Characterization System”. In: IEEE Trans.Electron Devices 60.5 (2013), S. 1716–1722.
[117] S.E. Rauch. “Review and Reexamination of Reliability Effects Related to NBTI-Induced Statistical Variations”. In: IEEE Trans.Dev.Mat.Rel. 7.4 (2007), S. 524–530.
[118] K. L. Brower. “Passivation of Paramagnetic / Interface States with Molecular Hydrogen”. In:
Appl.Phys.Lett. 53.6 (1988), S. 508–510.
[119] K.L. Brower. “Kinetics of H2 Passivation of Pb Centers at the (111) Si-SiO2 Interface”. In: Physical Review B 38.14 (1988), S. 9657–9666.
[120] K.L. Brower und S.M. Myers. “Chemical Kinetics of Hydrogen and (111) Si-SiO2 Interface Defects”. In: Appl.Phys.Lett. 57.2 (1990), S. 162–164.
[121] K.L. Brower. “Dissociation Kinetics of Hydrogen-Passivated (111) Si-Si02 Interface Defects”. In: Physical Review B 42.6 (1990), S. 3444–3454.
[122] C.H. Henry und D.V. Lang. “Nonradiative Capture and Recombination by Multiphonon Emission in GaAs and GaP”. In: Physical Review B 15.2 (1977), S. 989–1016.
[123] J.P. Campbell, J. Qin, K.P. Cheung, L.C. Yu, J.S. Suehle, A. Oates und K. Sheng. “Random Telegraph Noise in Highly Scales nMOSFETs”. In: Proc. Intl.Rel.Phys.Symp. (IRPS) . 2009, S. 382–388.
[124] M.B. Weissman. “1/ f Noise and other Slow, Nonexponential Kinetics in Condensed Matter”. In: Rev.Mod.Phys 60.2 (1988), S. 537–571.
[125] M. Born und R. Oppenheimer. “Zur Quantentheorie der Molekeln”. In: Annalen der Physik 389.20 (1927), S. 457–484.
[126] K. Huang und A. Rhys. “Theory of Light Absorption and Non-Radiative Transitions in F-Centres”. In: Proc.R.Soc.A 204 (1950), S. 406–423.
[127] M.J. Kirton und M.J. Uren. “Noise in Solid-State Microstructures: A New Perspective on Individual Defects, Interface States and Low-Frequency (1/f) Noise”. In: Adv.Phys. 38.4 (1989), S. 367–486.
[128] E. Condon. “A Theory of Intensity Distribution in Band Systems”. In: Physical Review 28.6 (1926), S. 1182–1201.
[129] D.V. Lang und C.H. Henry. “Nonradiative Recombination at Deep Levels in GaAs and GaP by Lattice-Relaxation Multiphonon Emission”. In: Physical Review Letters 35.22 (1975), S. 1525–1528.
[130] A.M. Stoneham. “Non-radiative Transitions in Semiconductors”. In: Rep.Prog.Phys. 44 (1981), S. 1251–1295.
[131] S. Makram-Ebeid und M. Lannoo. “Quantum Model for Phonon-Assisted Tunnel Ionization of Deep Levels in a Semiconductor”. In: Physical Review B 25.10 (1982), S. 6406–6424.
[132] M.J. Kirton und M.J. Uren. “Capture and Emission Kinetics of Individual Si:SiO2 Interface States”. In: Appl.Phys.Lett. 48.19 (1986), S. 1270–1272.
[133] M.J. Kirton, M.J. Uren und S. Collins. “Individual Interface States and their Implications for Low-Frequency Noise in MOSFETs”. In: Applied Surface Science 30 (1987), S. 148–152.
[134] M. Schulz und A. Karmann. “Single, Individual Traps in MOSFETs”. In: Physica Scripta T35 (1991), S. 273–280.
[135] T.L. Tewksbury. “Relaxation Effects in MOS Devices due to Tunnel Exchange with Near-Interface Oxide Traps”. Ph.D. Thesis. MIT, 1992.
[136] T.L. Tewksbury und H.-S. Lee. “Characterization, Modeling, and Minimization of Transient Threshold Voltage Shifts in MOSFETs”. In: IEEE J.Solid-State Circuits 29.3 (1994), S. 239–252.
[137] A. Schenk. “A Model for the Field and Temperature Dependence of Shockley-Read-Hall Lifetimes in Silicon”. In: Solid-State Electron. 35.11 (1992), S. 1585–1596.
[138] S. Takagi, N. Yasuda und A. Toriumi. “Experimental Evidence of Inelastic Tunneling and New I-V Model for Stress-induced Leakage Current”. In: Proc. Intl.Electron Devices Meeting (IEDM) (1996), S. 323–326.
[139] K. Sakakibara, N. Ajika, K. Eikyu, K. Ishikawa und H. Miyoshi. “A Quantitative Analysis of Time-Decay Reproducible Stress-Induced Leakage Current in SiO Films”. In: IEEE Trans.Electron Devices 44.6 (1997), S. 1002–1008.
[140] A.J. Lelis, H.E. Boesch, T.R. Oldham und F.B. McLean. “Reversibility of Trapped Hole Annealing”. In: IEEE Trans.Nucl.Sci. 35.6 (1988), S. 1186–1191.
[141] A.J. Lelis und T.R. Oldham. “Time Dependence of Switching Oxide Traps”. In: IEEE Trans.Nucl.Sci. 41.6 (Dez. 1994), S. 1835–1843.
[142] T. Grasser, B. Kaczer, H. Reisinger, P.-J. Wagner und M. Toledano-Luque. “On the Frequency Dependence of the Bias Temperature Instability”. In: Proc. Intl.Rel.Phys.Symp. (IRPS) . Apr. 2012, XT.8.1–XT.8.7.
[143] E.H. Poindexter und W.L. Warren. “Paramagnetic Point Defects in Amorphous Thin Films of and Si3 N4 : Updates and Additions”. In:
J.Electrochem.Soc. 142.7 (1995), S. 2508–2516.
[144] J.M.M. de Nijs, K.G. Druijf, V.V. Afanas’ev, E. van der Drift und P. Balk. “Hydrogen Induced Donor-Type Si/ Interface States”. In: Appl.Phys.Lett. 65.19
(1994), S. 2428–2430.
[145] J.F. Zhang, H.K. Sii, R. Degraeve und G. Groeseneken. “Mechanism for the Generation of Interface State Precursors”. In: J.Appl.Phys. 87.6 (2000), S. 2967–2977.
[146] E. Cartier und J.H. Stathis. “Atomic Hydrogen-Induced Degradation of the Si/ Structure”. In: Microelectronic Engineering
28.1-4 (1995), S. 3–10.
[147] E. Cartier und J.H. Stathis. “Hot-Electron Induced Passivation of Silicon Dangling Bonds at the Si(111)/ Interface”. In: Appl.Phys.Lett. 69.1 (1996),
S. 103–105.
[148] J.P. Campbell, P.M. Lenahan, A.T. Krishnan und S. Krishnan. “Direct Observation of the Structure of Defect Centers Involved in the Negative Bias Temperature Instability”. In: Appl.Phys.Lett. 87.20 (2005), S. 1–3.
[149] V. Huard, C. Parthasarathy, N. Rallet, C. Guerin, M. Mammase, D. Barge und C. Ouvrard. “New Characterization and Modeling Approach for NBTI Degradation from Transistor to Product Level”. In: Proc. Intl.Electron Devices Meeting (IEDM) .
2007, S. 797–800.
[150] M. Houssa, V.V. Afanas’ev, A. Stesmans, M. Aoulaiche, G. Groeseneken und M.M. Heyns. “Insights on the Physical Mechanism behind Negative Bias Temperature Instabilities”. In: Appl.Phys.Lett. 90.4 (2007), S. 043505.
[151] T. Grasser, K. Rott, H. Reisinger, M. Waltl, P. Wagner, F. Schanovsky, W. Goes, G. Pobegen und B. Kaczer. “Hydrogen-Related Volatile Defects as the Possible Cause for the Recoverable Component of NBTI”. In: Proc. Intl.Electron Devices Meeting
(IEDM) . Dez. 2013.
[152] D.L. Griscom. “Diffusion of Radiolytic Molecular Hydrogen as a Mechanism for the Post-Irradiation Buildup of Interface States in -on- Structures”. In: J.Appl.Phys. 58.7 (1985), S. 2524–2533.
[153] M.A. Green. “Intrinsic Concentration, Effective Densities of States, and Effective Mass in Silicon”. In: J.Appl.Phys. 67.6 (1990), S. 2944–2954.
[154] W. Bludau, A. Onton und W. Heinke. “Temperature Dependence of the Band Gap of Silicon”. In: J.Appl.Phys. 45.4 (1974), S. 1846–1848.
[155] G.G. Macfarlane, T.P. McLean, J.E. Quarrington und V. Roberts. “Fine Structure in the Absorption-Edge Spectrum of Si”. In: Physical Review 111.5 (1958), S. 1245–1254.
[156] K.L. Shaklee und R.E. Nahory. “Valley-Orbit Splitting of Free Excitons? The Absorption Edge of Si”. In: Physical Review Letters 24.17 (1970), S. 942–945.
[157] H.D. Barber. “Effective Mass and Intrinsic Concentration in Silicon”. In: Solid-State Electron. 10.11 (1967), S. 1039–1051.
[158] F.L. Madarasz, J.E. Lang und P.M. Hemeger. “Effective Masses for Nonparabolic Bands in p-Type Silicon”. In: J.Appl.Phys. 52.7 (1981), S. 4646–4648.
[159] J.E. Lang, F.L. Madarasz und P.M. Hemenger. “Temperature Dependent Density of States Effective Mass in Nonparabolic p-Type Silicon”. In: J.Appl.Phys. 54.6 (1983), S. 3612.
[160] W.B. Joyce und R.W. Dixon. “Analytic Approximations for the Fermi Energy of an Ideal Fermi Gas”. In: Appl.Phys.Lett. 31.5 (1977), S. 354–356.
[161] J.R. Hauser, CVC version 5.0 (www.ece.ncsu.edu/research/tools) .
[162] L.D. Landau und E.M. Lifshitz. Quantum Mechanics . Reading, Mass: Addison-Wesley, 1958.
[163] R.H. Fowler und L. Nordheim. “Electron Emission in Intense Electric Fields”. In: Proc.Roy.Soc.A 119 (1928), S. 173–181.
[164] C. Kaneta, T. Yamasaki, T. Uchiyama, T. Uda und K. Terakura. “Structure and Electronic Property of Si(100)/SiO2 Interface”. In: Microelectronic Engineering 48 (1999), S. 117–20.
[165] Y. Yamashita, S. Yamamoto, K. Mukai, J. Yoshinobu, Y. Harada, T. Tokushima, T. Takeuchi, Y. Takata, S. Shin, K. Akagi und S. Tsuneyuki. “Direct Observation of Site-Specific Valence Electronic Structure at the SiO2 /Si Interface”. In: Physical Review
B 73.4 (2006), S. 045336.
[166] O. Sharia, A.A. Demkov, G. Bersuker und B.H. Lee. “Theoretical Study of the Insulator/Insulator Interface: Band SiO2 /HfO2 Junction”. In: Physical Review B 75.3 (2007), S. 035306.
[167] Z. Huiwen, L. Yongsong, M. Lingfeng, S. Jingqin, Z. Zhiyan und T. Weihua. “Theoretical Study of the SiO2 /Si Interface and its Effect on Energy Band Profile and MOSFET Gate Tunneling Current”. In: Journal of Semiconductors 31.8 (2010),
S. 082003.
[168] L. Gerrer, S. Ling, S.M. Amoroso, P. Asenov, A.L. Shluger und A. Asenov. “From Atoms to Product Reliability: Toward a Generalized Multiscale Simulation Approach”. In: Journal of Computational Electronics 12.4 (2013), S. 638–650.
[169] Minimos-NT (www.globaltcad.com) .
[170] H. Miki, N. Tega, M. Yamaoka, D. J. Frank, A. Bansal, M. Kobayashi, K. Cheng, C.P. D’Emic, Z. Ren, S. Wu, J-B. Yau, Y. Zhu, M. A. Guillorn, D.-G. Park, W. Haensch, E. Leobandung und K. Torii. “Statistical Measurement of Random Telegraph Noise and Its
Impact in Scaled-down High-κ/Metal-gate MOSFETs”. In: Proc. Intl.Electron Devices Meeting (IEDM) . 2012, S. 450–453.
[171] R. Fernández, B. Kaczer, A. Nackaerts, S. Demuynck, R. Rodriguez, M. Nafria und G. Groeseneken. “AC NBTI Studied in the 1 Hz - 2 GHz Range on Dedicated On-Chip CMOS Circuits”. In: Proc. Intl.Electron Devices Meeting (IEDM) . 2006,
S. 337–340.
[172] A. Kerber und T. Nigam. “Application of CVS and VRS Method for Correlation of Logic CMOS Wear Out to Discrete Device Degradation Based on Ring Oscillator Circuits”. In: VLSI Tchnology . 2016, S. 44–45.
[173] L. Heiß, A. Lachmann, R. Schwab, G. Panagopoulos, P. Baumgartner, M.Y. Virupakshappaa und D. Schmitt-Landsiedel. “New Methodology for On-Chip RF Reliability Assessment”. In: Proc. Intl.Rel.Phys.Symp. (IRPS) . 2016, S. 4C51–4C57.
[174] Comphy version 1.0 (www.comphy.eu), Institute for Microelectronics / TU Wien and imec, 2018 .
[175] E. Bersch, S. Rangan, R.A. Bartynski, E. Garfunkel und E. Vescovo. “Band Offsets of Ultrathin High-κ Oxide Films with Si”. In: Physical Review B 78.8 (2008), S. 1–10.
[176] T. Grasser, P.-J. Wagner, H. Reisinger, Th. Aichinger, G. Pobegen, M. Nelhiebel und B. Kaczer. “Analytic Modeling of the Bias Temperature Instability Using Capture/Emission Time Maps”. In: Proc. Intl.Electron Devices Meeting (IEDM) . Dez.
2011, S. 27.4.1–27.4.4.
[177] R. Ritzenthaler, T. Schram, A. Spessot, C. Caillat, M. Cho, E. Simoen, M. Aoulaiche, J. Albert, S.A. Chew, K.B. Noh, Y. Son, P. Fazan, N. Horiguchi und A. Thean. “A New high-κ/ Metal Gate CMOS Integration Scheme (Diffusion and Gate Replacement)
Suppressing Gate Height Asymmetry and Compatible with High-Thermal Budget Memory Technologies”. In: Proc. Intl.Electron Devices Meeting (IEDM) . 2014, S. 772–775.
[178] B. Kaczer, M. Toledano-Luque, W. Goes, T. Grasser und Groeseneken G. “Gate Current Random Telegraph Noise and Single Defect Conduction”. In: Microelectronic Engineering 109.7 (2013), S. 123–125.
[179] W. Goes, M. Toledano-Luque, O. Baumgartner, M. Bina, F. Schanovsky, B. Kaczer und T. Grasser. “Understanding Correlated Drain and Gate Current Fluctuations”. In: Proc. Intl.Symp. on Physical and Failure Analysis of Integrated Circuits . 2013,
S. 51–56.
[180] G. Pobegen und T. Grasser. “On the Distribution of NBTI Time Constants on a Long, Temperature-Accelerated Time Scale”. In: IEEE Trans.Electron Devices 60.7 (2013), S. 2148–2155.
[181] E. Cartier, A. Kerber, T. Ando, M.M. Frank, K. Choi, S. Krishnan, B. Linder, K. Zhao, F. Monsieur, J. Stathis und V. Narayanan. “Fundamental Aspects of HfO2 -based High-κ Metal Gate Stack Reliability and Implications on tinv -scaling”. In: Proc.
Intl.Electron Devices Meeting (IEDM) (2011), S. 18.4.1–18.4.4.
[182] S. Mukhopadhyay und S. Mahapatra. “An Experimental Perspective of Trap Generation Under BTI Stress”. In: IEEE Trans.Electron Devices 62.7 (2015), S. 2092–2097.
[183] L.Å. Ragnarsson, Z. Li, J. Tseng, T. Schram, E. Rohr, M.J. Cho, T. Kauerauf, T. Conard, Y. Okuno, B. Parvais, P. Absil, S. Biesemans und T.Y. Hoffmann. “Ultra Low-EOT (5 Å) Gate-First and Gate-Last High Performance CMOS Achieved by Gate-Electrode
Optimization”. In: Proc. Intl.Electron Devices Meeting (IEDM) . 2009, S. 663–666.
List of Publications
Scientific Journals
[GRJ1] B. Kaczer, J. Franco, S. Tyaginov, M. Jech, G. Rzepa , T. Grasser, B.J. O’Sullivan, R. Ritzenhaler, T. Schram, A. Spessot, D. Linten und N. Horiguchi. “Mapping of CMOS FET Degradation in Bias Space—Application to DRAM Peripheral Devices”.
In: J.Vac.Sci.Technol.B 35.1 (2017), 01A109.
[GRJ2] G. Rzepa , J. Franco, B. O’Sullivan, A. Subirats, M. Simicic, G. Hellings, P. Weckx, M. Jech, T. Knobloch, M. Waltl, P.J. Roussel, D. Linten, B. Kaczer und T. Grasser. “Comphy — A Compact-Physics Framework for Unified Modeling of BTI”. In:
Microelectronics Reliability 85 (2018), S. 49–65.
[GRJ3] M. Waltl, G. Rzepa , A. Grill, W. Goes, J. Franco, B. Kaczer, L. Witters, J. Mitard, N. Horiguchi und T. Grasser. “Superior NBTI in High-κ SiGe Transistors-Part I: Experimental”. In: IEEE Trans.Electron Devices 64.5 (2017),
S. 2092–2098.
[GRJ4] M. Waltl, G. Rzepa , A. Grill, W. Goes, J. Franco, B. Kaczer, L. Witters, J. Mitard, N. Horiguchi und T. Grasser. “Superior NBTI in High-κ SiGe Transistors-Part II: Theory”. In: IEEE Trans.Electron Devices 64.5 (2017),
S. 2099–2105.
[GRJ5] Y.Y. Illarionov, M. Waltl, G. Rzepa , J.S. Kim, S. Kim, A. Dodabalapur, D. Akinwande und T. Grasser. “Long-Term Stability and Reliability of Black Phosphorus Field-Effect Transistors”. In: ACS Nano (2016), S. 9543–9549.
[GRJ6] Y.Y. Illarionov, M. Waltl, G. Rzepa , T. Knobloch, J.S. Kim, D. Akinwande und T. Grasser. “Highly-Stable Black Phosphorus Field-Effect Transistors with Low Density of Oxide Traps”. In: npj 2D Materials and Applications 1.1 (2017),
S. 23.
[GRJ7] Y.Y. Illarionov, T. Knobloch, M. Waltl, G. Rzepa , A. Pospischil, D.K. Polyushkin, M.M. Furchi, T. Mueller und T. Grasser. “Energetic Mapping of Oxide Traps in MoS2 Field-Effect Transistors”. In: 2D Materials 4.2 (2017).
[GRJ8] T. Knobloch, G. Rzepa , Y.Y. Illarionov, M. Waltl, D. Polyushkin, A. Pospischil, M. Furchi, T. Mueller und T. Grasser. “Impact of Gate Dielectrics on the Threshold Voltage in MoS2 Transistors”. In: ECS Trans. 80.1 (2017),
S. 203–217.
[GRJ9] B. Kaczer, J. Franco, P. Weckx, P.J. Roussel, V. Putcha, E. Bury, M. Simicic, A. Chasin, D. Linten, B. Parvais, F. Catthoor, G. Rzepa , M. Waltl und T. Grasser. “A Brief Overview of Gate Oxide Defect Properties and their Relation to MOSFET
Instabilities and Device and Circuit Time-Dependent Variability”. In: Microelectronics Reliability 81 (2018), S. 186–194.
[GRJ10] W. Goes, Y. Wimmer, A.M. El-Sayed, G. Rzepa , M. Jech, A.M. Shluger und T. Grasser. “Identification of Oxide Defects in Semiconductor Devices: A Systematic Approach Linking DFT to Rate Equations and Experimental Evidence”. In:
Microelectronics Reliability (2018).
Conference Proceedings
[GRC1] T. Grasser, M. Waltl, G. Rzepa , W. Goes, Y. Wimmer, A.M. El-Sayed, A.L. Shluger, H. Reisinger und B. Kaczer. “The “Permanent” Component of NBTI Revisited: Saturation, Degradation-Reversal, and Annealing”. In: Proc.
Intl.Rel.Phys.Symp. (IRPS) . Juni 2016.
[GRC2] G. Rzepa , J. Franco, A. Subirats, M. Jech, A. Chasin, A. Grill, M. Waltl, T. Knobloch, D. Linten, B. Kaczer und T. Grasser. “Efficient Physical Defect Model Applied to PBTI in High-κ Stacks”. In: Proc. Intl.Rel.Phys.Symp. (IRPS) .
2017, XT–11.1–XT–11.6.
[GRC3] T. Grasser, B. Stampfer, M. Waltl, G. Rzepa , K. Rupp, F. Schanovsky, G. Pobegen, K. Puschkarsky, H. Reisinger, B.J. O’Sullivan und B. Kaczer. “Characterization and Physical Modeling of the Temporal Evolution of Near-Interfacial States
Resulting from NBTI / PBTI Stress in nMOS / pMOS Transistors”. In: Proc. Intl.Rel.Phys.Symp. (IRPS) . 2018.
[GRC4] M. Waltl, A. Grill, G. Rzepa , W. Goes, J. Franco, B. Kaczer, J. Mitard und T. Grasser. “Nanoscale Evidence for the Superior Reliability of SiGe High-k pMOSFETs”. In: Proc. Intl.Rel.Phys.Symp. (IRPS) . 2016.
[GRC5] A. Grill, G. Rzepa , P. Lagger, C. Ostermaier, H. Ceric und T. Grasser. “Charge Feedback Mechanisms at Forward Threshold Voltage Stress in GaN / AlGaN HEMTs”. In: 2015.
[GRC6] J. Franco, V. Putcha, A. Vais, S. Sioncke, N. Waldron, D. Zhou, G. Rzepa , Ph J. Roussel, G. Groeseneken, M. Heyns, N. Collaert, D. Linten, T. Grasser und B. Kaczer. “Characterization of Oxide Defects in InGaAs MOS Gate Stacks for
High-Mobility n-Channel MOSFETs”. In: Proc. Intl.Electron Devices Meeting (IEDM) . 2017, S. 7.5.1–7.5.4.
[GRC7] M. Karner, O. Baumgartner, Z. Stanojevic, F. Schanovsky, G. Strof, C. Kernstock, H.W. Karner, G. Rzepa und T. Grasser. “Vertically Stacked Nanowire MOSFETs for Sub-10 nm Nodes: Advanced Topography, Device, Variability, and Reliability
Simulations”. In: Proc. Intl.Electron Devices Meeting (IEDM) . 2016, S. 762–765.
[GRC8] H. Demel, Z. Stanojevic, M. Karner, G. Rzepa und T. Grasser. “Expanding TCAD Simulations from Grid to Cloud”. In: Proc. Simulation of Semiconductor Processes and Devices . 2015, S. 186–189.
[GRC9] A. Chasin, J. Franco, B. Kaczer, V. Putcha, P. Weckx, R. Ritzenthaler, H. Mertens, N. Horiguchi, D. Linten und G. Rzepa . “BTI Reliability and Time-Dependent Variability of Stacked Gate-All-Around Si Nanowire Transistors”. In: Proc.
Intl.Rel.Phys.Symp. (IRPS) . 2017.
[GRC10] B. Kaczer, G. Rzepa , J. Franco, P. Weckx, A. Chasin, V. Putcha, E. Bury, M. Simicic, P. Roussel, G. Hellings, A. Veloso, P. Matagne, T. Grasser und D. Linten. “Benchmarking Time-Dependent Variability of Junctionless Nanowire FETs”. In:
Proc. Intl.Rel.Phys.Symp. (IRPS) . 2017, S. 2D–6.1–7.
[GRC11] T. Knobloch, G. Rzepa , Y.Y. Illarionov, M. Waltl, F. Schanovsky, M. Jech, B. Stampfer, M.M. Furchi, T. Muller und T. Grasser. “Physical Modeling of the Hysteresis in MoS2 Transistors”. In: Proc. ESSDERC . 2017.
[GRC12] T. Knobloch, G. Rzepa , Y.Y. Illarionov, M. Waltl, D. Polyushkin, A. Pospischil, M. Furchi, T. Mueller und T. Grasser. “Impact of Gate Dielectrics on the Threshold Voltage in MoS2 Transistors”. In: Bd. 80. 1. 2017, S. 203–217.
[GRC13] K.-U. Giering, G. Rott, G. Rzepa , H. Reisinger, A.K. Puppala, T. Reich, W. Gustin, T. Grasser und R. Jancke. “Analog-Circuit NBTI Degradation and Time-Dependent NBTI Variability: An Efficient Physics-Based Compact Model”. In: Proc.
Intl.Rel.Phys.Symp. (IRPS) . 2016.
[GRC14] G. Rzepa , M. Waltl, W. Goes, B. Kaczer und T. Grasser. “Microscopic Oxide Defects Causing BTI, RTN, and SILC on High-κ FinFETs”. In: Proc. Simulation of Semiconductor Processes and Devices . 2015, S. 144–147.
[GRC15] G. Rzepa , W. Goes, G. Rott, K. Rott, M. Karner, C. Kernstock, B. Kaczer, H. Reisinger und T. Grasser. “Physical Modeling of NBTI: From Individual Defects to Devices”. In: Proc. Simulation of Semiconductor Processes and Devices .
2014, S. 81–84.
[GRC16] G. Rzepa , M. Waltl, W. Goes, B. Kaczer, J. Franco, T. Chiarella, N. Horiguchi und T. Grasser. “Complete Extraction of Defect Bands Responsible for Instabilities in n and pFinFETs”. In: IEEE Symposium on VLSI Technology Digest of
Technical Papers . 2016, S. 208–209.
[GRC17] Y.Y. Illarionov, G. Rzepa , M. Waltl, T. Knobloch, J.-S. Kim, D. Akinwande und T. Grasser. “Accurate Mapping of Oxide Traps in Highly-Stable Black Phosphorus FETs”. In: Proc. Intl.Conf. on Electron Devices Technology and
Manufacturing . 2017.
[GRC18] B. Kaczer, S.M. Amoroso, R. Hussin, A. Asenov, J. Franco, P. Weckx, P.J. Roussel, G. Rzepa , T. Grasser und N. Horiguchi. “On the Distribution of the FET Threshold Voltage Shifts due to Individual Charged Gate Oxide Defects”. In: Proc.
Intl.Integrated Reliability Workshop . 2016, S. 18–20.
[GRC19] B. Kaczer, J. Franco, P. Weckx, Ph.J. Roussel, E. Bury, M. Cho, R. Degraeve, D. Linten, G. Groeseneken, H. Kukner, P. Raghavan, F. Catthoor, G. Rzepa , W. Goes und T. Grasser. “The Defect-Centric Perspective of Device and Circuit Reliability —
From Individual Defects to Circuits”. In: Proc. ESSDERC . 2015, S. 218–225.
[GRC20] T. Grasser, M. Waltl, Y. Wimmer, W. Goes, R. Kosik, G. Rzepa , H. Reisinger, G. Pobegen, A.M. El-Sayed, A.L. Shluger und B. Kaczer. “Gate-Sided Hydrogen Release as the Origin of “Permanent” NBTI Degradation: From Single Defects to
Lifetimes”. In: Proc. Intl.Electron Devices Meeting (IEDM) . Dez. 2015.
[GRC21] T. Grasser, W. Goes, Y. Wimmer, F. Schanovsky, G. Rzepa , M. Waltl, K. Rott, H. Reisinger, V.V. Afanas’ev, A. Stesmans, A.M. El-Sayed und A.L. Shluger. “On the Microscopic Structure of Hole Traps in pMOSFETs”. In: Proc. Intl.Electron
Devices Meeting (IEDM) . Dez. 2014.
[GRC22] K.-U. Giering, C. Sohrmann, G. Rzepa , L. Heiß, T. Grasser und R. Jancke. “NBTI Modeling in Analog Circuits and its Application to Long-Term Aging Simulations”. In: Proc. Intl.Integrated Reliability Workshop . 2014, S. 29–34.
[GRC23] W. Goes, M. Waltl, Y. Wimmer, G. Rzepa und T. Grasser. “Advanced Modeling of Charge Trapping: RTN, 1/f noise, SILC, and BTI”. In: Proc. Simulation of Semiconductor Processes and Devices . 2014, S. 77–80.
[GRC24] G. Rzepa , W. Goes, B. Kaczer und T. Grasser. “Characterization and Modeling of Reliability Issues in Nanoscale Devices”. In: Proc. Intl.Symp.on Circuits and Systems (ISCAS) . 2015, S. 2445–2448.
Master Theses
[GRT1] T. Knobloch (supervised by G. Rzepa and T. Grasser). “Characterization and Physical Modeling of Degradation in MoS2 Transistors”. Master Thesis. TU Wien, 2016.
[GRT2] G. Rzepa (supervised by W. Goes, M. Karner, and T. Grasser). “Microscopic Modeling of NBTI in MOS Transistors”. Master Thesis. TU Wien, 2013.
Curriculum Vitae
Gerhard Rzepa
Assistant Professor
Institute for Microelectronics
TU Wien, Austria
Born: June 24th , 1985 – Kasten, Austria
Education
2005
High school graduation
Secondary Technical School, St. Pölten, distinction
2006 – 2010
Bachelor of Science
Electrical Engineering and Information Technology, TU Wien
2010 – 2013
Diplom-Ingenieur, equivalent to Master of Science
Microelectronics, TU Wien, distinction
since 2013
Doctoral (PhD) programme in Engineering Sciences
Institute for Microelectronics, TU Wien
August 2014
Sixth Sinano Summer School on Reliability and Variability of Electronic Devices, Bertinoro, Italy
Experience
2007 – 2011
Graphic Designer
NÖ Pressehaus GmbH, St. Pölten, Austria
2012 – 2013
TCAD Software Developer
Global TCAD Solutions GmbH, Vienna, Austria
2013 – 2014
Scientific Assistant
Institute for Microelectronics, TU Wien
since 2014
Assistant Professor
Institute for Microelectronics, TU Wien
June – September 2016
International Scholar
KU Leuven, imec, Belgium
February – March 2017
Visiting Scholar
KU Leuven, imec, Belgium
July – September 2017
Visiting Scholar
KU Leuven, imec, Belgium