![]() |
|
||||
BiographyRoberto Lacerda studied electrical engineering at the University of Campinas (Unicamp), where he received a Bachelor degree in 2004 and a Master degree in 2006. He joined the Institute for Microelectronics in October 2006, where he received his doctoral degree in 2010 and worked as a post-doctoral researcher until 2013 focused on modeling and simulation of electromigration and reliability issues in interconnects of integrated circuits. From 2014 to 2018 he was Assistant Professor at the Faculty of Electrical and Computer Engineering of Unicamp. In October 2018 he rejoined the Institute for Microelectronics as a research scientist on non-volatile magnetic memory devices. |
|||||
Reduced Current Spin-Orbit Torque Switching of a Perpendicularly Magnetized Free Layer
Spin-orbit torque (SOT) magnetoresistive random access memory (MRAM) is a viable nonvolatile memory candidate that aims to improve upon spin-transfer torque MRAM for ultra-fast operation. However, deterministic SOT switching of a perpendicularly magnetized free layer requires an external magnetic field. Several field-free schemes have been proposed at the cost of more complex cell stack fabrication. In our work, we consider an alternative field-free scheme, where a purely electrical control of the switching is realized by applying current pulses to two orthogonal heavy metal wires.
The addition of a second non-magnetic heavy metal wire (NM2) slightly increases the complexity of the cell, but its integration is simplified by routing the NM2 wire through several cells in an array. However, this requires a lower current magnitude to prevent disturbing non-selected cells. Based on micromagnetic simulations we have shown that, after a pre-selection of the cell, the current pulse through the additional NM2 wire can be reduced below the critical current without loss of switching performance. Furthermore, the writing power is reduced.
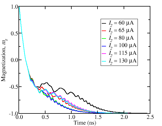
The impact of the magnitude of the second pulse on the magnetization switching dynamics is shown in Fig. 1. The switching is deterministic and fast not only for a larger current, but also when the current is reduced to 50% of the critical value. A further reduction of the current yields non-deterministic switching. Fig. 2 shows the switching time as a function of the current magnitude and the pulse duration. For very short pulses (shorter than 100 ps), the switching time increases significantly, even for currents above the critical one. In turn, for longer pulses, the current can be significantly reduced, and the switching time remains practically constant.
Decreasing the current magnitude of the second pulse below the critical value is important because it makes the corresponding torque weaker, thus not disturbing the magnetization of non-selected cells. Therefore, the second heavy metal line can run through several cells in a row, which simplifies the integration of the cells in a crossbar architecture.
Fig. 1: Magnetization switching as a function of time for various magnitudes of the second current pulse. The switching remains deterministic and fast for reduced currents.
Fig. 2: Switching time as a function of the magnitude and the duration of the current pulse through the NM2 wire. For longer pulses, the current can be significantly reduced, and the switching time remains practically constant.



