![]() |
|
||||
BiographyWeifeng Zhou was born in 1988 in Suzhou, China. He studied Electrical Engineering in Shanghai Jiao Tong University, China, where he received his bachelor's degree in 2011. In 2014 he received his dual-master degrees from Shanghai Jiao Tong University and Georgia Institute of Technology, US. Starting in 2014 he worked as a research assistant at the Institute of Electromagnetic Theory at RWTH Aachen University, Germany, where he received his doctoral degree (Dr.-Ing.) in 2020 for his work on numerical simulations of organic light-emitting diodes. In 2021 he joined the Institute for Microelectronics at TU Wien as a post-doctoral researcher and is currently working on modeling of tunneling current in SiC MOS transistors. |
|||||
The Study of Organic Light-Emitting Diodes through Master Equations
In our work, a self-consistent numerical model of the master equations for charge carriers and excitons coupled with the Poisson equation was developed for simulating the electrical and luminescent features of organic light-emitting diodes (OLEDs).
In past decades, numerical modeling of OLEDs has been done through drift-diffusion models and Monte Carlo methods. The drift-diffusion model, however, is fundamentally inappropriate for the treatment of disordered organic materials, which possess carrier relaxation effects and filamentary carrier hopping paths. The Monte Carlo method has a rather low CPU efficiency, which makes a series of simulations with different sets of parameters challenging.
The very first master equation model that can perform simulations of small-signal quantities, current noise, stationary and time-resolved electroluminescence of OLEDs was demonstrated in our work. It has the advantage of being closer to OLED physics than the drift-diffusion model and of higher CPU efficiency at extreme current levels than the Monte Carlo method. Moreover, a full Newton-Raphson approach ensures a quadratically converging system, which can be seen in Fig. 1.
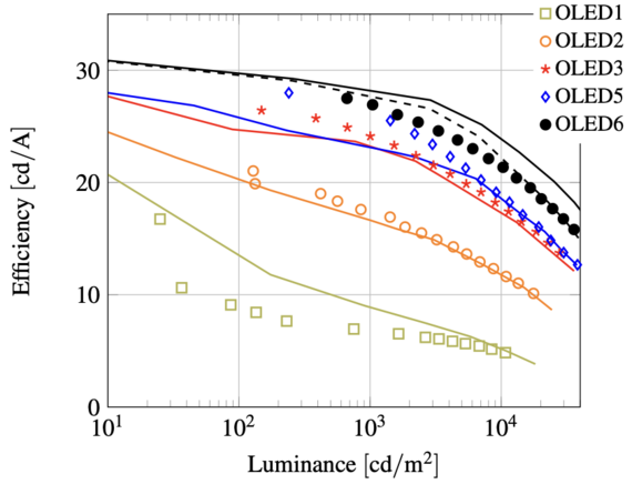
By including charge carrier generation and recombination in the master equation model, carrier transport under bipolar injection in OLEDs can be calculated. The stationary IV characteristics are calculated according to a Ramo-Shockley-type theorem. Based upon stationary results, the small-signal analysis is carried out under sinusoidal steady-state conditions at arbitrary biases and frequencies (cf. Fig. 2). The power spectral density of the terminal current, which is a measure of the fluctuation in charge carrier numbers, can be obtained by noise analysis based on the Langevin approach. Moreover, by further extending the master equation model to consider exciton effects, stationary IV characteristics and luminous efficacies of phosphorescent OLEDs doped with various emitter profiles were successfully reproduced (Fig. 3). Strategies for improving the device efficiencies can therefore be tested. Furthermore, the time-resolved current and luminescence properties of the phosphorescent OLEDs were also modeled by transient simulations based on the implicit Euler scheme. Results from the transient simulations are found to be consistent with those from the stationary and small-signal analyses.
Fig. 1: The root-mean-square of the change in potential as a function of the number of the Gummel loop (circle) and full Newton iteration (plus) in a simulation of a typical OLED.
Fig. 2: Measured (symbols) and simulated (lines) frequency-dependent negative small-signal susceptance at different temperatures of a polymer LED with a Ca cathode.
Fig. 3: Measured (symbols) and simulated (lines) luminous efficacies of a phosphorescent OLED with different doping concentrations and profiles.



