![]() |
|
||||
BiographyNils Petter Jørstad was born in Warsaw, Poland, in 1995. He received his Bachelor’s degree in Physics at the Norwegian University of Science and Technology (NTNU), Norway, in 2019. After a summer internship at Manipal University in Jaipur, India, he enrolled in the Master’s program in Physics at NTNU. He obtained his Master’s degree in 2021, specializing in computational physics. Nils joined the Institute for Microelectronics in September 2021, where he is pursuing a PhD degree focusing on the implementation of spin and magnetization dynamics in simulations of non-volatile magnetic memory devices. |
|||||
Spin-orbit Torque Modeling in Heavy Metal/Ferromagnet Bilayers
Spintronic magnetoresistive random access memory (MRAM) is a proven technology, showing great promise for replacing cache and conventional standalone memories in the near future. MRAM offers non-volatility and long endurance, as well as fast, low power switching between logical states. The two types of MRAM which have gained the most attention are spin-transfer torque (STT) and spin-orbit torque (SOT) MRAM. STT MRAM is an already well-established type of MRAM used in commercially available products, while SOT MRAM is an emerging type of MRAM that promises sub-nanosecond switching and even higher endurance, at the cost of being less scalable than STT. SOT MRAM introduces many new design challenges which need to be overcome.
Versatile software capable of simulating the dynamics in such devices is essential to accelerate and facilitate the optimization and development of SOT MRAM. A micro-magnetic simulator based on solving the Landau-Lifshitz-Gilbert (LLG) equation with the finite element method has been developed to accurately model the spin and magnetization dynamics in MRAM cells. The software has been successful in accurately simulating the dynamics of STT-MRAM cells. The capabilities of the software have been extended to allow for the simulation of SOTs.
The main effect responsible for SOTs in heavy metal/ferromagnet (HM/FM) bilayers is the spin Hall effect (SHE). When a charge current is passed through an HM with a non-zero spin Hall angle, the SHE generates a spin current perpendicular to the charge current. In HM/FM bilayers, the SHE-induced spin current is injected into the FM, where the components transverse to the magnetization are absorbed, resulting in SOTs. The drift-diffusion model used to calculate the spin dynamics was extended to include the SHE and the inverse SHE. With the included effects, the SHE-generated spin accumulation in an HM wire was calculated numerically and is shown in Fig. 1.
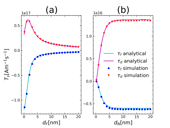
We consider a Pt/CoFeB bilayer with a current passing through the Pt layer. The simulated and analytical damping-like and field-like torques are shown in Fig. 2 as functions of the thickness of the HM and FM layer in panels (a) and (b), respectively. The simulations are in excellent agreement with the analytical thickness dependence. By solving the drift-diffusion equations together with the LLG equation we can simulate switching of the magnetization state of the FM layer. In Fig. 3, we show an in-plane switching simulation for a Pt(4 nm)/CoFeB(2 nm) bilayer. The switching is achieved within 0.2 ns, demonstrating one of the main advantages of magnetization switching with SOTs.
Fig. 1: SHE-generated spin accumulation in an HM wire.
Fig. 2: Damping-like and field-like torque as functions of the FM and NM thicknesses. The thickness of the HM and FM was set to 10 nm in panels (a) and (b), respectively.
Fig. 3: Components of the magnetization as functions of time. The magnetization is normalized with respect to the saturation magnetization.



