Professors
![]() |
|
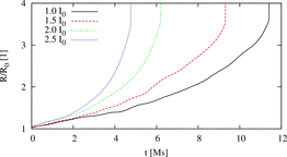
Volatility as a Clue to the Chemical Nature of Oxide Defects |
![]() |
|
Electronic Transport in Semiconductor Nanostrucutures |
Administration
Researchers
![]() |
|
A Deterministic Approach for the Wigner Equation |
![]() |
|
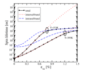
Reduction of the Intersubband Spin Relaxation and Enhancement of the Spin Lifetime in Strained-SOI Films |
![]() |
|
Structure Optimization of a Bias-Field-Free Spin-Torque Oscillator Based on Two MgO-MTJs |
![]() |
|
ViennaUtils - Code Unification and Dependency Simplification for Semiconductor Device |
![]() |
|
Template-Based Mesh Generation and CAD-Based Mesh Healing for Semiconductor Device Simulation |
![]() |
|
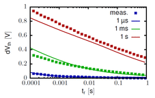
Characterization of the Permanent Component of MOSFET Degradation Mechanisms |












































