![]() |
|
Biography
Viktor Sverdlov received his MSc and PhD degrees in physics from the State University of St.Petersburg, Russia, in 1985 and 1989, respectively. From 1989 to 1999 he worked as a staff research scientist at the V.A.Fock Institute of Physics, St.Petersburg State University. During this time, he visited ICTP (Italy, 1993), the University of Geneva (Switzerland, 1993-1994), the University of Oulu (Finland,1995), the Helsinki University of Technology (Finland, 1996, 1998), the Free University of Berlin (Germany, 1997), and NORDITA (Denmark, 1998). In 1999, he became a staff research scientist at the State University of New York at Stony Brook. He joined the Institute for Microelectronics at the Technische Universität Wien, in 2004. In May 2011 he received the venia docendi in microelectronics. His scientific interests include device simulations, computational physics, solid-state physics, and nanoelectronics.
Advanced Spin-Orbit Torque MRAM Cells
The persistent increase in performance of modern integrated circuits is facilitated by the continuing miniaturization of complementary metal-oxide semiconductor (CMOS) devices. However, controlling the rapid growth of stand-by and leakage power has become a challenge. A viable path to slow down and reverse the trend of increasing stand-by power penalty is to introduce non-volatility. Spin-transfer torque magnetoresistive random access memory (STT-MRAM) is an electrically addressable non-volatile memory combining higher speed, superior endurance and lower costs as compared to flash memory. The potential market for STT-MRAM is huge, ranging from emerging Internet of Things and automotive applications to traditional DRAM, currently the most common computer memory, or even last-level L3 caches, currently based in CMOS. However, the switching current increases rapidly if STT-MRAM is operated at 10 ns or faster and is not suitable to replace SRAM.
Spin-orbit torque MRAM (SOT-MRAM) combines non-volatility, high speed and high endurance and is thus suitable for applications in high-level caches. However, its development is still hindered by the need for an external magnetic field for the deterministic switching of perpendicular structures. Several paths to achieving deterministic switching without magnetic fields have been suggested. They require unusual solutions to break the mirror symmetry, either by means of having a specific free layer shape or by using antiferromagnetic materials with a low charge-to-spin conversion ratio.
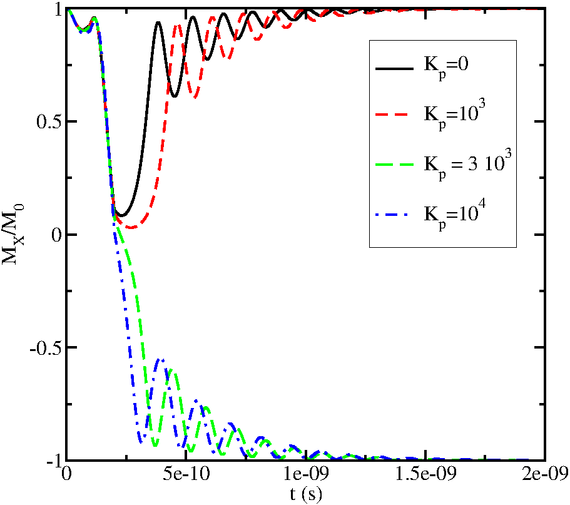
In addition, SOT-MRAM cells suffer from relatively high switching current values, which still have to be reduced to avoid electromigration in practical applications. The switching scheme, which works by means of two orthogonal current pulses, initially suggested for in-plane structures and schematically shown in Fig. 1, is also suitable for reliably switching the structures in the case of perpendicular magnetic anisotropy. Perpendicular interface-induced anisotropy, combined with the two-pulse switching scheme, allows for a reduction in the switching current by a factor of 3 and at the same time achieves sub-0.5 ns switching (Fig. 2).
Fig. 1: Perpendicular SOT-MRAM memory cell switched by two consecutive current pulses.
Fig. 2: Adding perpendicular magnetization anisotropy, Kp, in a two-pulse scheme allows one to achieve sub-0.5 ns switching at smaller currents.




