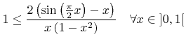
Proof.
The denominator is positive for
![$ {x}\in\left]0,1\right[$](img904.png)
. Thus, the inequality is equivalent to the next statement which is proved in the following for all
![$ {x}\in\left[0,1\right]$](img905.png)
:
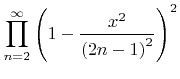
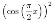
Using the product representation of the cosine function (
C.2):
Since all factors of this product series are in the range
![$ \left[0,1\right]$](img715.png)
, it is sufficient to show that:
Using

for all
![$ {x}\in\left[0,1\right]$](img905.png)
:
Using again

: