Subsections


2.3.1 Deal-Grove Model

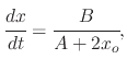
The main idea behind the Deal-Grove model is illustrated in Figure 2.12 [42]. The figure represents the materials and interfaces involved during oxidation in a one-dimensional form. The transport and interaction of oxidants is viewed as going through the following stages:

  1. Oxidant is transported from the bulk, gas ambient to the outer surface of the oxide, where it is adsorbed with a flux $ F_1$.
  2. Oxidant diffuses through the oxide film with a flux $ F_2$.
  3. Oxidant reaches the surface with a flux $ F_3$ and reacts with silicon atoms to form new SiO$ _2$.

Figure 2.12: One-dimensional Deal-Grove model for the oxidation of silicon.
\includegraphics[width=0.70\linewidth]{chapter_oxidation/figures/one-dimDG.eps}

The first step in the model is characterized by the surface reaction of free oxidants in the gas phase interacting with the oxide surface. The adsorption of oxidants through the top surface of the oxides is written as

$\displaystyle F_{1}=h\left(C^{*}-C_{0}\right),$ (33)

where $ h$ is the gas-phase transport coefficient, $ C^*$ is the equilibrium concentration of the oxidants in the gas ambient, and $ C_0$ is the concentration of oxidants at the oxide surface at any time during oxidation. Experiments have shown that variations in gas flow rates in the furnace, changes in spacing between wafers, and changes in wafer orientation (vertical or horizontal) have very little influence on the oxidation rate. This suggests that a large value for $ h$ or that a small $ \left(C^*-C_0\right)$ is required to provide the necessary $ F_1$.

Assuming an over-saturation of oxidant in the gas, $ C^*$ is effectively the solubility limit in the oxide. This value is related to the partial pressure in the atmosphere using Henry's law

$\displaystyle C^{*}=H\cdot p,$ (34)

where $ p$ is the partial pressure and $ H$ is the inverse Henry's law constant, which depends on the solute, solvent, and temperature. At an atmospheric pressure of 1atm and a temperature of 1000 $ ^\textrm {o}$C, the solubility limits $ C^*$ for dry and wet oxidation are $ 5.2\times10^{16}cm^{-3}$ and $ 3.0\times10^{19}cm^{-3}$, respectively. During the oxidation process, the diffusivity of oxidants from the ambient to the SiO$ _2$ surface is much faster than the other two processes (diffusion through the oxide and chemical reaction at the Si surface). Therefore, $ F_1$ is largely unimportant in determining the overall growth kinetics.

The second flux $ F_2$ from Figure 2.12 represents the diffusion of the oxidant from the oxide surface to the oxide-silicon interface. Using Fick's law, the diffusion can be expressed as

$\displaystyle F_{2}=D\,\cfrac{\partial C}{\partial x}=D\,\cfrac{C_{0}-C_{S}}{x_{o}},$ (35)

where $ D$ is the oxidant diffusivity in the oxide, $ C_S$ is the concentration of oxidant at the Si-SiO$ _2$ interface, and $ x_{o}$ is the thickness of the oxide film. Since Fick's law assumes steady state conditions, the environment must not change significantly with time in order for this relationship to be valid. This means that there must be no loss of oxidants as they diffuse through the oxide, but rather it is direct movement from regions of high oxidant concentration to regions of low oxidant concentration. The diffusion of oxygen (O$ _2$) is quite straightforward, as it maintains its molecular form throughout the process; however, a water molecule diffuses in a more complex manner, interacting with the SiO$ _2$ matrix.

The final flux $ F_3$ presented in Figure 2.12 is the flux of oxidants consumed during the chemical reaction with silicon atoms at the substrate surface, given by

$\displaystyle F_{3}=k_{s}\cdot C_{S},$ (36)

where $ k_s$ is the surface rate constant. The parameter $ k_s$ is a simplified value which represents many ongoing reactions at the interface, such as Si-Si bond breaking, Si-O bond formation, and possibly O$ _2$ and H$ _2$O bond dissociation into 2O and H$ \slash$OH, respectively.

Since steady-state conditions are assumed, the three fluxes representing the different stages of the oxidation process must be equal. The processes occur in series with each other and the rate of the overall process will be determined by the rate of the slowest process. Equating all fluxes results in

$\displaystyle F_{1}=F_{s}=F_{3}=F=\cfrac{C^{*}}{\cfrac{1}{k_{s}}+\cfrac{1}{h}+\cfrac{x_{o}}{D}}.$ (37)

Physically, the system can be viewed as one involving two interfaces ($ k_s$ and $ h$), with a diffusion process. Since $ h$ is very large, it can be neglected and the physical idea of oxidation reduces itself to a diffusion of oxidant followed by a chemical reaction. For thin oxides ( $ k_s \cdot x_{o} \slash D\ll1$), the chemical rate of reaction occurs much slower than it takes the oxidant to fall through the oxide, making it the limiting step. For thick oxides ( $ k_s \cdot x_o \slash D\gg1$), it is the diffusion which is much slower than the chemical reaction rate, making it the limiting step for the overall oxidation process.

The overall oxidation rate is proportional to the flux of oxidant molecules,

$\displaystyle \cfrac{dx}{dt}=\cfrac{F}{N}=\cfrac{\cfrac{C^{*}}{N}}{\cfrac{1}{k_{s}}+\cfrac{1}{h}+\cfrac{x_{o}}{D}},$ (38)

where $ N$ is the number of oxidant molecules per unit volume of oxide grown. $ N=2.2\times10^{22}cm^{-3}$ for dry oxidation and is approximately double that value for wet oxidation.

The differential equation (2.15) can be simplified to

$\displaystyle \cfrac{dx}{dt}=\cfrac{B}{A+2x_{o}},$ (39)

where $ A$ and $ B$ are the physically based parameters

$\displaystyle A=2D\left(\cfrac{1}{k_{s}}+\cfrac{1}{h}\right),$ (40)

$\displaystyle B=2D\cfrac{C^{*}}{N}.$ (41)

By integrating (2.15), from an initial oxide thickness $ x_i$ to a final oxide thickness $ x_o$, a final result regarding oxide kinetics can be written as

$\displaystyle N\intop_{x_{i}}^{x_{o}}\left[1+\cfrac{k_{s}}{h}+\cfrac{k_{s}x}{D}\right]dx=k_{s}C^{*}\intop_{0}^{t}dt.$ (42)

Introducing the simplified form from (2.16), (2.19) can be re-written to

$\displaystyle \intop_{x_{i}}^{x_{o}}\left(A+2x\right)dx=B\intop_{o}^{t}dt,$ (43)

yielding the quadratic equation

$\displaystyle x_{o}^{2}+Ax_{o}=B\left(t+\tau\right),$ (44)

where the parameter $ \tau$ is introduced in order to account for the initial oxide $ x_i$, given by

$\displaystyle \tau=\cfrac{x_{i}^{2}+Ax_{i}}{B}.$ (45)

Although the parameters $ \tau$ and $ x_i$ are meant to account for any oxide present at the start of oxidation, they can also be useful fitting parameters when a better fit to data in the thin oxide regime is required.

Sometimes, it is useful to view (2.21) in the following form

$\displaystyle t+\tau=\cfrac{x_{o}^{2}+x_{i}^{2}}{B}+\cfrac{x_{o}+x_{i}}{B\slash A},$ (46)

enabling a direct calculation for the time required to grow a desired thickness of oxide. However, solving (2.21) in order to directly enable the calculation of the oxide thickness after a specific oxidation time $ t$ results in

$\displaystyle x_{o}=\cfrac{A}{2}\left(\sqrt{1+\cfrac{4B}{A^{2}}\left(t+\tau\right)}-1\right).$ (47)

Observing (2.23) and (2.24), it is clear why the Deal-Grove model survives after so many decades. Being able to directly calculate the oxide thickness, when the oxidation time is known and vice-versa, is the main strength of this model.

A closer look at (2.23) suggests that there are two limiting forms of the linear parabolic growth law. The parabolic or linear limiting form occur when $ \cfrac{x_{o}^{2}}{B}$ or $ \cfrac{x_{o}}{B\slash A}$ are the dominant terms in (2.23), respectively. From (2.24), a limiting case can be identified when the oxidation time is given by $ t\gg \tau$ and $ t\gg A^2\slash 4B$

$\displaystyle x_{o}\cong\sqrt{B\cdot t},$ (48)

where $ B$ is known as the parabolic rate constant given by (2.18). The second limiting case can be identified when the oxidation time is given by $ t\ll A^2\slash 4B$

$\displaystyle x_{o}\cong\cfrac{B}{A}\left(t+\tau\right),$ (49)

where $ B\slash A$ is defined as the linear rate constant:

$\displaystyle \cfrac{B}{A}=\cfrac{C^{*}}{N\left(\cfrac{1}{k_{s}}+\cfrac{1}{h}\right)}\cong\cfrac{C^{*}\cdot k_{s}}{N},$ (50)

The parabolic term (2.25) dominates for large $ x$ values, while the linear term (2.26) dominates for small $ x$ values.

The rate constants $ B$ and $ B\slash A$ which are the main idea behind the linear-parabolic oxide growth model are sometimes referred to as the Deal-Grove parameters. These parameters have been extracted from experimental data and evaluated under a wide range of experimental conditions [175].

2.3.1.1 Temperature

The effects of temperature on the overall oxidation process have been examined in Section 2.2.1 where it was shown that increasing the processing temperature resulted in an increased oxide thickness and a faster oxidation rate. Therefore, in order to model oxidation using the linear-parabolic approach, both the linear ($ B\slash A$) and parabolic ($ B$) parameters must be adjustable for temperature effects. From experimental data, it was found that Arrhenius expressions well describe the temperature effects on $ B$ and $ B\slash A$

$\displaystyle B=C_{1}\,e^{\left(-\frac{E_{1}}{k_B\,T}\right)},$ (51)

$\displaystyle \cfrac{B}{A}=C_{2}\,e^{\left(-\frac{E_{2}}{k_B\,T}\right)},$ (52)

where $ E_1$ and $ E_2$ are the activation energies associated with the physical processes that $ B$ and $ B\slash A$ represent, respectively and $ C_1$ and $ C_2$ are pre-exponential constants. Table 2.2 lists the experimentally determined parameters required to solve (2.28) and (2.29) for a (111) oriented silicon surface. For a (100) oriented silicon surface, only the parameter $ C_2$ must be modified by dividing the (111) value by a factor of 1.68 [175]. The remaining parameters remain the same for both crystal orientations.

Table 2.2: Rate constants describing (111) oriented silicon oxidation kinetics at 1atm pressure. For the corresponding values for (100) oriented silicon, $ C_2$ values should be divided by 1.68.
Ambient: $ B$ $ B\slash A$
Dry (O$ _{2}$) $ C_{1}=7.72\times10^{2}\mu m^{2}\slash hr$ $ C_{2}=6.23\times10^{6}\mu m^{2}\slash hr$
  $ E_{1}=1.23eV$ $ E_{1}=2.00eV$
Wet (H$ _{2}$O) $ C_{1}=3.86\times10^{2}\mu m^{2}\slash hr$ $ C_{2}=1.63\times10^{8}\mu m^{2}\slash hr$
  $ E_{1}=0.78eV$ $ E_{1}=2.05eV$


An analysis of the parabolic rate constant B from Table 2.2 shows that the activation energy $ E_1$ for O$ _2$ and H$ _2$O ambients are quite different. This suggests that the physical mechanism characterized by $ E_1$ might be the oxidant diffusion through SiO$ _2$, since the diffusivity of O$ _2$ and H$ _2$O in oxide are different, $ N$ is a constant value, and $ C^*$ is not expected to exponentially increase with temperature. This suggests that the parameter $ B$ from the linear parabolic model represents the oxidant diffusion process.

The activation energy $ E_2$ for $ B\slash A$ in the table seems to be close to 2$ eV$ for a O$ _2$ system as well as a H$ _2$O system. This suggests that the physical origin of $ E_2$ might be the chemical reaction at the silicon-silicon dioxide interface $ k_s$. The 2$ eV$ activation energy has been associated with the Si-Si bond breaking process as confirmed by measurements performed by Pauling, which suggested the correlation between the $ B\slash A$ values and the activation energies of Si-Si bond breaking [170].

2.3.1.2 Hydrostatic Pressure

The effects of pressure on the oxide growth kinetics have been examined in Section 2.2.1, where it was shown that increasing pressure causes an increased oxide film thickness when temperature is kept constant. Henry's law, relating to oxide growth shown in (2.11) suggests a linear relationship between pressure and the oxidation rate. Since $ C^*$ is proportional to $ p$, from (2.11) and both $ B$ and $ B\slash A$ are proportional to $ C^*$ from (2.18) and (2.27), respectively, then the growth rate should be proportional to $ p$. Experimental measurements of H$ _2$O oxidation have shown this prediction to be correct for pressures ranging from below to well above atmospheric [175]:

$\displaystyle B_{wet}(p)=B_{wet}(1atm)\cdot p,$ (53)

$\displaystyle \cfrac{B}{A}_{wet}(p)=\cfrac{B}{A}_{wet}(1atm)\cdot p,$ (54)

where $ p$ is the hydrostatic pressure in atm.

However, in the case of dry oxidation with O$ _2$, the situation is somewhat unclear. Experimental results have consistently shown that a linear relationship does not exist between the linear and parabolic rate constants and the applied pressure. In fact, the linear rate constant is proportional to the pressure $ B\propto p$, but the parabolic rate constant varies with $ B\slash A\propto p^{n}$, where $ 0.5<n<1$. Since the linear rate constant is proportional to pressure, it can be concluded that (2.11) is correct and $ C^{*}\propto p$, but that the rate of reaction at the silicon surface $ k_s$ depends on $ p$ in a nonlinear fashion. In order to adjust the Deal-Grove model to satisfy the pressure effects in dry oxidation, the values of $ B$ and $ B\slash A$ should be modified by:

$\displaystyle B_{dry}(p)=B_{dry}(1atm)\cdot p,$ (55)

$\displaystyle \cfrac{B}{A}_{dry}(p)=\cfrac{B}{A}_{dry}(1atm)\cdot p^{0.7-0.8},$ (56)

where $ p$ is the hydrostatic pressure in atm and the value of $ \sim 0.7-0.8$ is an experimentally observed parameter.

2.3.1.3 Crystal Orientation

The crystal orientation of the oxidized silicon surface affects the oxide growth kinetics, as examined in Section 2.2.1. This effect has been observed even before the Deal-Grove model was suggested [126]. In order to associate the differences in oxidation kinetics with varying silicon crystal orientation, an analysis regarding the linear and parabolic rate constants in needed.

When observing the linear rate constant, except at the initial stage of oxidation, the oxide grows on silicon in an amorphous way. Therefore, no information regarding the crystal structure of the underlying silicon is known as the oxide volume increases. The linear rate constant $ B$ should not change with a changing crystal orientation of the underlying silicon. This is also observed in experiments by extracting growth data for various crystal orientations [122].

$\displaystyle {B}_{\left\langle 111\right\rangle }={B}_{\left\langle 100\right\rangle }$ (57)

However, the parabolic rate constant $ B\slash A$ should depend on the silicon crystal orientation. The reason is that it involves the chemical reaction which occurs directly on the Si/SiO$ _2$ interface. The speed of this reaction should depend on the amount of silicon atoms available for the reaction. It was found experimentally that surfaces which provide more available reaction sites to silicon have a higher oxidation rate [122]. The ratio for the parabolic rate constant in silicon crystal orientations (111):(100) was found to be 1.68:1. This can be adjusted in the Deal-Grove model by

$\displaystyle \cfrac{B}{A}_{\left\langle 111\right\rangle }=1.68\cdot\cfrac{B}{A}_{\left\langle 100\right\rangle }.$ (58)

Similarly, it has been suggested that the ratio for the parabolic rate constant in crystal orientations (110):(100) is approximately 1.45:1, noticeable on thicker oxide along sidewall surfaces. However, this value is not readily accepted as there is not a sufficient amount of data to be certain of this value [175]

$\displaystyle \cfrac{B}{A}_{\left\langle 110\right\rangle }=1.45\,\cfrac{B}{A}_{\left\langle 100\right\rangle }.$ (59)


L. Filipovic: Topography Simulation of Novel Processing Techniques