next up previous contents
Next: 4.2.2 Analysis and Discussion Up: 4.2 Silicon Thin Layers Previous: 4.2 Silicon Thin Layers   Contents

4.2.1 Anisotropy in Ultra-Thin Silicon Layers

Figure 4.8 shows the transmission functions for the four surface orientations of interest along two particular transport orientations for each case, that, as shown below, provide the lowest and the highest thermal conductance for that particular surface. The layer thickness in all cases is $ 2~\mathrm{nm}$ . In the case of the thin-layer with $ \{100\}$ surface orientation, in Fig. 4.8-a we consider the $ \{100\}/\textless110\textgreater$ and the $ \{100\}/\textless100\textgreater$ transport channels. The transmissions of the two channels are almost the same, indicating negligible anisotropy. In the case of the thin-layer with $ \{111\}$ surface orientation, in Fig. 4.8-c we consider the $ \{111\}/\textless110\textgreater$ and the $ \{111\}/\textless112\textgreater$ transport channels. Again in this case, the transmissions are almost the same.

Figure 4.8: Transmission function versus energy for thin-layers of thickness H=2nm with (a) $ \{100\}$ , (b) $ \{110\}$ , (c) $ \{111\}$ , and (d) $ \{112\}$ surfaces, for two transport orientations in each case. The different transport orientations are the ones that yield the highest (blue-solid) and the lowest (red-dashed) thermal conductance for the corresponding surface orientation.
Image TLTrans

The transmission function of the thin-layers with $ \{110\}$ and $ \{112\}$ surfaces, on the other hand, is orientation-dependent. For the $ \{110\}$ surface thin-layers in Fig. 4.8-b, the $ \{110\}/\textless110\textgreater$ channel (blue line) shows the highest transmission function, and the $ \{110\}/\textless100\textgreater$ channel (red-dotted line) the lowest. An even larger difference is observed in the case of the $ \{112\}$ surface thin-layers in Fig. 4.8-d. The highest transmission is observed for the $ \{112\}/\textless110\textgreater$ channel (blue line), and the lowest for the $ \{112\}/\textless111\textgreater$ channel (red-dotted line). The difference in the transmission of the channels in different transport orientations is largest for energies between $ 10-30~\mathrm{meV}$ for both the $ \{110\}$ and the $ \{112\}$ thin-layers.

Using the transmission functions extracted from the bandstructures, the ballistic lattice thermal conductance is calculated using the Landauer formula for the thin layers with the four different surface orientations of interest. The thermal conductance as a function of the transport orientation $ \theta$ , varying from 0 to $ \pi$ is shown in Fig. 4.9 for room temperature. We calculate the conductance of thin layers for thicknesses of $ 1$ , $ 4$ , $ 8$ and $ 16~\mathrm{nm}$ . With symbols the high symmetry orientations are denoted using the Miller index notation, i.e. $ \textless 110\textgreater$ - circle, $ \textless 111\textgreater$ - star, $ \textless112\textgreater$ - triangle, and $ \textless 100\textgreater$ - square. These orientations are marked on the $ 16~\mathrm{nm}$ thin-layer result in Fig. 4.9. In all cases, the conductance increases linearly as the thickness increases because the thicker layers contain more phonon modes that contribute to the thermal conductance.

With regards to anisotropy, for the thin-layers with $ \{100\}$ surface in Fig. 4.9-a, the conductance has a maximum along the $ \textless 100\textgreater$ direction (square), and a minimum is along the $ \textless 110\textgreater$ direction (circle), although the difference is small (only $ \sim 5\%$ ). Interestingly, this observation is the same for all thicknesses considered. The conductance of the channels with $ \{110\}$ surface is shown in Fig. 4.9-b. The conductance is biggest in the $ \textless 110\textgreater$ transport orientation ( $ \theta=0$ , circle) and smallest for the $ \textless 100\textgreater$ channels ( $ \theta=\pi/2$ , square). The variation between the maximum and minimum values, however, in this case is $ \sim 30\%$ for the $ 1~\mathrm{nm}$ thin layer, and decreases to $ \sim 20\%$ for the $ 16~\mathrm{nm}$ layer. The conductance of channels with $ \{111\}$ surface is shown in Fig.4.9-c. The conductance in this case also peaks along the $ \textless 110\textgreater$ direction (circle) and is smallest along the $ \textless112\textgreater$ direction (triangle). The variation of the conductance with transport orientation in this case is negligible for the thinner layers, but increases to $ \sim 10\%$ in the $ 16~\mathrm{nm}$ case. The thermal conductance for channels with $ \{112\}$ surface is shown in Fig. 4.9-d. The maximum and minimum conductance is observed along $ \textless 110\textgreater$ (circle) and $ \textless 111\textgreater$ (star), respectively. Channels with this surface orientation exhibit the largest variation in thermal conductance compared to other surfaces. The difference varies from $ \sim 40\%$ for the $ 1~\mathrm{nm}$ layers to $ \sim 30\%$ for the $ 16~\mathrm{nm}$ layers. Overall, considering all surface and transport orientations, the maximum thermal conductance is observed for the $ \{110\}/\textless110\textgreater$ channels, and the minimum for the $ \{112\}/\textless111\textgreater$ channels. Interestingly, however, regardless of surface orientation, the thermal conductance is high in $ \textless 110\textgreater$ direction. This agrees well with previous works on silicon nanowires, where it is reported that the $ \textless 110\textgreater$ oriented nanowires have the highest thermal conductance [111,107]. A similar conclusion was found for thin layers of larger sizes [112]. As it will be explained in next section, the phonon dispersions along the $ \textless 110\textgreater$ orientations are more dispersive compared to other orientations, which yield higher group velocities and, therefore, higher thermal conductance.

Figure 4.9: Ballistic lattice thermal conductance for different thin-layers with (a) $ \{100\}$ , (b) $ \{110\}$ , (c) $ \{111\}$ , and (d) $ \{112\}$ surfaces. The angle $ \theta$ as shown in Fig. 4.7 specifies the transport orientation. Some of the high symmetry orientations are denoted by symbols. Results for different layers thicknesses are shown. From bottom to top, the thicknesses are $ 1$ , $ 2$ , $ 4$ , $ 8$ , and $ 16~\mathrm{nm}$ .
Image TLCond

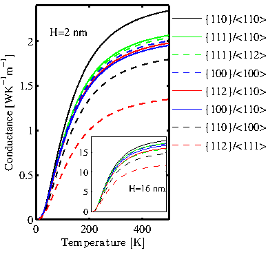
Figure 4.10 shows the thermal conductance of the $ H=2~\mathrm{nm}$ layers as a function of temperature. For every surface orientation two transport orientations, the one with the maximum and the one with the minimum conductance are shown (as in Fig. 4.8). The conductance increases with temperature as expected from a ballistic quantity, and starts to saturate around $ 300~\mathrm{K}$ . The reason is that the phononic window function [57]:

$\displaystyle W_{\mathrm{ph}}=\frac{3}{\pi^2} \left( \frac{\hbar \omega}{k_{\mathrm{B}}T} \right)^2 \frac{\partial n}{\partial (\hbar \omega)}$ (4.2)

which weights the contribution of phonons with different energy, is nearly constant within the entire phonon energy spectrum of silicon ( $ \sim 65~\mathrm{meV}$ ) for sufficiently high temperatures. This causes the thermal conductance to saturate. Figure 4.10 shows that the $ \{110\}/\textless110\textgreater$ channel has the largest conductance, and the $ \{112\}/\textless111\textgreater$ channel the smallest in the entire temperature range. The conductances of the other channels lie in between and do not deviate significantly from one another. The same trend is observed for the $ H=16~\mathrm{nm}$ channels (inset of Fig. 4.10), although the spread is smaller. Below, explanations for this geometry dependence are provided in terms of the phonon bandstructure, by extracting the phonon density of states and the effective group velocity.

Figure 4.10: The thermal conductance of thin-layers of $ H=2~\mathrm{nm}$ for various surface and transport orientations, as a function of temperature. The transport orientations are the ones that result in the highest (solid) and lowest (dashed) thermal conductance for the respective surface orientation. Inset: The same quantity for thin-layers of $ H=16~\mathrm{nm}$ .
Image TLCondT


next up previous contents
Next: 4.2.2 Analysis and Discussion Up: 4.2 Silicon Thin Layers Previous: 4.2 Silicon Thin Layers   Contents
H. Karamitaheri: Thermal and Thermoelectric Properties of Nanostructures