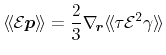
3.5.5.4 Energy Flux Equation

The energy flux equation is obtained analogously to the particle current equation starting from equation (3.30) with the weight $ \ensuremath{\ensuremath{\mathitbf{X}}}=
\ensuremath{{\tau}}\ensuremath{\mathcal{E}}\ensuremath{\ensuremath{\mathitbf{p}}}$

$\displaystyle \underbrace{\vphantom{\frac{1}{\hbar}}\ensuremath{\ensuremath{\en...
...\langle \ensuremath{\mathcal{E}}\ensuremath{\ensuremath{\mathitbf{p}}} \rangle}$ (3.66)

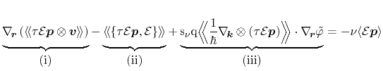
The estimation of all tensor valued quantities with their traces as outlined in (3.39) as well as the expansion of the kinetic energy $ \ensuremath{\mathcal{E}}$ using the product ansatz (3.40) are applied on equation (3.66). Part (i) is straight-forward

$\displaystyle \ensuremath{\ensuremath{\ensuremath{\mathitbf{\nabla_{\!r}}}}}\en...
...h{{\tau}}\ensuremath{\mathcal{E}}^2 \ensuremath{\gamma} \rangle \! \rangle} \,.$ (3.67)

The Poisson bracket in part (ii) has to be expanded using (A.10)

$\displaystyle \ensuremath{\langle \! \langle \ensuremath{\{\ensuremath{{\tau}}\...
...{\{\ensuremath{\mathcal{E}},\ensuremath{\mathcal{E}}\}} \rangle \! \rangle} \,.$ (3.68)

The second term vanishes because of (A.8) while the first term is treated according to (3.45) and yields

$\displaystyle - \ensuremath{\langle \! \langle \ensuremath{\mathcal{E}}^2 \ensu...
...math{\theta_\ensuremath{\ensuremath{\mathitbf{r}}}^\ensuremath{\mathcal{E}}}\,.$ (3.69)

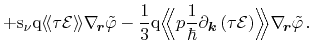
Application of identity (B.4) to part (iii) and assembly of all three terms results in
$\displaystyle \ensuremath{\langle \! \langle \ensuremath{\mathcal{E}}\ensuremat...
...emath{{\tau}}\ensuremath{\mathcal{E}}^2 \ensuremath{\gamma} \rangle \! \rangle}$     (3.70)
$\displaystyle + \ensuremath{\langle \! \langle \ensuremath{\mathcal{E}}^2 \ensu...
...uremath{\theta_\ensuremath{\ensuremath{\mathitbf{r}}}^\ensuremath{\mathcal{E}}}$      
$\displaystyle + \ensuremath{\mathrm{s}_\nu}\mathrm{q}\ensuremath{\langle \! \la...
...suremath{\ensuremath{\mathitbf{\nabla_{\!r}}}}}\ensuremath{\tilde{\varphi}}
\,.$      

Next, the power-law ansatz is introduced for the relaxation time $ \ensuremath{{\tau}}$
$\displaystyle \ensuremath{\langle \! \langle \ensuremath{\mathcal{E}}\ensuremat...
...al{E}}^{{\ensuremath{r_\nu}}+2} \ensuremath{\gamma} \rangle \! \rangle} \right)$     (3.71)
$\displaystyle + \ensuremath{\tau_0}\left( k_\ensuremath{\mathrm{B}}\ensuremath{...
..._{\mathrm{L}}}}
\right)^{{\ensuremath{r_\nu}}} \Bigr\rangle \! \! \Bigr\rangle}$      
$\displaystyle + \frac{1}{3} \ensuremath{\tau_0}\left( k_\ensuremath{\mathrm{B}}...
...uremath{\theta_\ensuremath{\ensuremath{\mathitbf{r}}}^\ensuremath{\mathcal{E}}}$      
$\displaystyle + \ensuremath{\mathrm{s}_\nu}\mathrm{q}\ensuremath{\tau_0}\left( ...
...suremath{\ensuremath{\mathitbf{\nabla_{\!r}}}}}\ensuremath{\tilde{\varphi}} \,.$      

For the next steps, parabolic bands and a heated, displaced Maxwellian (3.51) are assumed. The statistical average in part (i) is carried out similarly to (3.53), normalized using (3.54), and reads

$\displaystyle \ensuremath{\langle \! \langle \ensuremath{\mathcal{E}}^{{\ensure...
...rac{7}{2}}\ensuremath{\Gamma \left({\ensuremath{r_\nu}}+\frac{7}{2}\right)} \,.$ (3.72)

Thus, part (i) becomes

$\displaystyle \ensuremath{\ensuremath{\ensuremath{\mathitbf{\nabla_{\!r}}}}}\le...
...m{L}}}\right)^2 \ensuremath{\ensuremath{\mu}_\nu}\frac{m^*}{\mathrm{q}} \right)$ (3.73)

using the mobility definition (3.55). With the assumption of a $ \ensuremath{\ensuremath{\mathitbf{k}}}$ -independent $ {\ensuremath{r_\nu}}$ and basic arithmetic operations, the first term of part (ii) is expressed in terms of an effective mass gradient $ \ensuremath{\ensuremath{\ensuremath{\mathitbf{\nabla_{\!r}}}}}m^*$ . The second term is split into a $ \ensuremath{\ensuremath{\ensuremath{\mathitbf{\nabla_{\!r}}}}}\ensuremath{T_{\mathrm{L}}}$ and a $ \ensuremath{\ensuremath{\ensuremath{\mathitbf{\nabla_{\!r}}}}}m^*$ term, while the $ \ensuremath{\ensuremath{\ensuremath{\mathitbf{\nabla_{\!r}}}}}m^*$ -term cancels with the third term. Thus, part (ii) finally reads

$\displaystyle -\frac{3}{2} \frac{m^*}{\mathrm{q}} \ensuremath{\ensuremath{\mu}_...
...{\!r}}}}}\left( k_\ensuremath{\mathrm{B}}\ensuremath{T_{\mathrm{L}}}\right) \,.$ (3.74)

While the first term of part (iii) is handled straight-forwardly with the statistical average (3.53), the derivative in the second term has to be expressed before processing the statistical average. While the first term contributes with a factor of $ \frac{3}{2}$ , the second's contribution is $ {\ensuremath{r_\nu}}+
1$ . Thus, the sum reads

$\displaystyle \left( {\ensuremath{r_\nu}}+ \frac{5}{2} \right) \ensuremath{\ens...
...nsuremath{\ensuremath{\mathitbf{\nabla_{\!r}}}}}\ensuremath{\tilde{\varphi}}\,.$ (3.75)

With a definition of the energy flux analogously to (3.58)

$\displaystyle \ensuremath{\ensuremath{\mathitbf{j}}_\nu^\mathrm{u}}= \ensuremat...
...suremath{\mathcal{E}}\ensuremath{\ensuremath{\mathitbf{p}}} \rangle \! \rangle}$ (3.76)

the final energy flux for parabolic bands and a heated, displaced Maxwellian reads
$\displaystyle \ensuremath{\ensuremath{\mathitbf{j}}_\nu^\mathrm{u}}= - \frac{1}...
...{\nu}}\right)^2 \ensuremath{\ensuremath{\mu}_\nu}\frac{m^*}{\mathrm{q}} \right)$     (3.77)
$\displaystyle + \frac{3}{2} \frac{1}{\mathrm{q}} \ensuremath{\ensuremath{\mu}_\...
...bla_{\!r}}}}}\left( k_\ensuremath{\mathrm{B}}\ensuremath{T_{\mathrm{L}}}\right)$      
$\displaystyle - \ensuremath{\mathrm{s}_\nu}\left( {\ensuremath{r_\nu}}+ \frac{5...
...suremath{\ensuremath{\mathitbf{\nabla_{\!r}}}}}\ensuremath{\tilde{\varphi}}
\,.$      

Introducing the electrochemical potential as defined in Eqs. (3.60) and (3.62) yields
$\displaystyle \ensuremath{\ensuremath{\mathitbf{j}}_\nu^\mathrm{u}}= - \ensurem...
...nsuremath{\ensuremath{\mathitbf{\nabla_{\!r}}}}}\ensuremath{T_\ensuremath{\nu}}$     (3.78)
$\displaystyle \quad - \frac{k_\ensuremath{\mathrm{B}}^2}{\mathrm{q}} \ensuremat...
...h{\nu}}^2 \ensuremath{\ensuremath{\ensuremath{\mathitbf{\nabla_{\!r}}}}}\ln
m^*$      
$\displaystyle \quad - {\ensuremath{r_\nu}}\frac{k_\ensuremath{\mathrm{B}}^2 \en...
...ensuremath{\ensuremath{\mathitbf{\nabla_{\!r}}}}}\ensuremath{T_{\mathrm{L}}}\,.$      

M. Wagner: Simulation of Thermoelectric Devices