3.5.8 Summary of Equations
In the following, the equations derived applying both Stratton's and
Bløtekjær's approach are summarized. While the balance equations, which belong to
scalar weights are equivalent for both approaches, the flux equations differ
due to the different approaches of relaxation time approximations to the
collision term as well as the associated choice of weights. For both
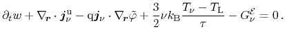
Stratton's and Bløtekjær's approach the carrier balance equation and energy
balance equation read
 |
|
|
(3.111) |
 |
|
|
(3.112) |
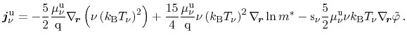
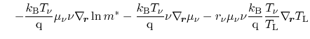
The carrier flux and energy flux equations derived by using Stratton's
microscopic relaxation time ansatz are
The according formulation with the electrochemical potential introduced reads
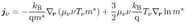
In some cases, it is convenient to formulate the energy flux in terms of the
particle flux. For Stratton's equations, it is given by
 |
(3.117) |
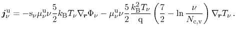
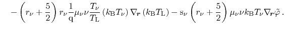
Bløtekjær's concept of macroscopic relaxation times yields for the particle and
energy flux equations, respectively
 |
|
|
(3.118) |
 |
|
|
(3.119) |
With the electrochemical potential, they are
 |
|
|
(3.120) |
 |
|
|
(3.121) |
Formulation of the energy flux in terms of the particle flux yields
 |
(3.122) |
Compared to Bløtekjær's model, Stratton's equations incorporate additional
gradients of the mobility and the lattice temperature resulting from the
formulation of the microscopic relaxation time in a power-law. The exponent
enters the equations as a further model parameter, which has to be
approximated to account for the dominant scattering mechanisms. It depends on
both the doping profile and the temperature and can be in the range
[73]. Generally, both approaches are
able to cover the physical background on the same level [92].
However, it has to be kept in mind that the definitions of the mobilities
employed in both model equations differ significantly. In the homogeneous
case, the mobilities are equal [92,93], but for locally changing
driving forces, they diverge. While the mobility in Bløtekjær's equations can be
approximated by the energy dependent bulk value, the definition in
Stratton's model is always different [86]. Thus, for
engineering purposes, transport description based on Bløtekjær's equations is more
convenient.
M. Wagner: Simulation of Thermoelectric Devices