3.5.11 Phenomenological Approach
Besides the systematic approach carried out in the preceding sections, the
thermoelectric behavior of semiconductors can also be explained by an approach
based on phenomenological irreversible thermodynamics
[54,96].
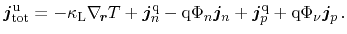
For the non-isothermal case, besides the gradient of the electrochemical
potential a temperature gradient yields an additional driving force which is
known as the Seebeck effect in the particle current relations
 |
|
|
(3.162) |
 |
|
|
(3.163) |
which are similar to the systematically derived equations. The corresponding
heat fluxes are identified as
 |
|
|
(3.164) |
 |
|
|
(3.165) |
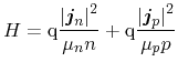
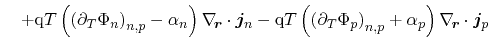
by the application of Onsager's reciprocity theorem. The total energy flux
of all three subsystems is written as
 |
(3.166) |
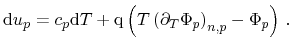
The differential energy densities of electrons and holes are derived using
Maxwell's relations [9] as
 |
|
|
(3.167) |
 |
|
|
(3.168) |
Inserting the accumulated differential energy densities for the electron, hole,
and lattice subsystems into the energy balance equation
 |
(3.169) |
yields the heat conduction equation
 |
(3.170) |
accounting for the conservation of total energy with the heat source term
With the electrochemical potential (3.88) and the Seebeck
coefficient (3.153) for Maxwell-Boltzmann statistics, the heat-source term can be
rewritten to
which can be finally simplified for the static case because of the vanishing
-term in (3.37) to
The final result is equal to the heat-source term of the systematically
derived heat-flow equation in Section 3.5.10 under several simplifying
assumptions, when the electrochemical potential as well as the Seebeck
coefficient are expressed by the corresponding relations for Maxwell-Boltzmann statistics.
M. Wagner: Simulation of Thermoelectric Devices