3.5.12 Seebeck Coefficient

While the Seebeck coefficient has been treated on a phenomenological basis in Section 2.1.1, the identification of its inclusion in the semiconductor current equations is the topic of this section.

Assuming a block of homogeneous material, a thermoelectric voltage can be measured between the two ends of the solid in the case of a non-zero temperature gradient. The Seebeck coefficient is defined as the ratio of the resulting voltage and the temperature difference. Expressed in "internal" quantities, the negative gradient of the electrochemical potential is equal to the temperature gradient times the Seebeck coefficient

$\displaystyle -\ensuremath{\ensuremath{\ensuremath{\mathitbf{\nabla_{\!r}}}}}{\...
...math{\nu}}}\ensuremath{\ensuremath{\ensuremath{\mathitbf{\nabla_{\!r}}}}}{T}\,.$ (3.174)

This relation is limited to thermoelectric devices in the open circuit case, which is characterized by zero current. The current equation (3.88) derived after Bløtekjær in the formulation incorporating the electrochemical potential reads

$\displaystyle \ensuremath{\ensuremath{\mathitbf{j}}_\nu}= - \ensuremath{\mathrm...
...ath{\ensuremath{\ensuremath{\mathitbf{\nabla_{\!r}}}}}\ensuremath{T}\doteq 0\,,$ (3.175)

whereby the carrier gas is assumed to be in local thermal equilibrium with the lattice. Thus, the carrier temperature is equal to the lattice temperature, which is expressed by a single temperature in the current relations

$\displaystyle \ensuremath{T_\ensuremath{\nu}}= \ensuremath{T_{\mathrm{L}}}= \ensuremath{T}\,.$ (3.176)

An identification of the Seebeck coefficient in (3.175) with its definition after (3.174) results in

$\displaystyle \ensuremath{\ensuremath{\alpha}_{\ensuremath{\nu}}}= \ensuremath{...
...ac{5}{2} - \ln \frac{\ensuremath{\nu}}{\ensuremath{N_\mathrm{c,v}}} \right) \,.$ (3.177)

Finally, the current equations for electrons and holes read

$\displaystyle \ensuremath{\ensuremath{\mathitbf{j}}_{n}}= \ensuremath{\ensurema...
...ath{\ensuremath{\ensuremath{\mathitbf{\nabla_{\!r}}}}}\ensuremath{T}\right) \,,$     (3.178)
$\displaystyle \ensuremath{\ensuremath{\mathitbf{j}}_{p}}= {-}\ensuremath{\ensur...
...uremath{\ensuremath{\ensuremath{\mathitbf{\nabla_{\!r}}}}}\ensuremath{T}\right)$     (3.179)

with the modeled Seebeck coefficients
$\displaystyle \ensuremath{\ensuremath{\alpha}_{\ensuremath{n}}}= -\frac{k_\ensu...
...( \frac{5}{2} - \ln \frac{\ensuremath{n}}{\ensuremath{N_\mathrm{c}}} \right)\,,$     (3.180)
$\displaystyle \ensuremath{\ensuremath{\alpha}_{\ensuremath{p}}}= \frac{k_\ensur...
...( \frac{5}{2} - \ln \frac{\ensuremath{p}}{\ensuremath{N_\mathrm{v}}} \right)\,.$     (3.181)

In literature, they are also often referred to as thermoelectric forces. The different sign of the Seebeck coefficients is the basis for thermoelectric devices consisting of two legs with opposite doping. Their construction with the legs parallel in a thermal sense and electrically serial yields a constructive interference of both leg's contributions.

Stratton's equations can be treated analogously to Bløtekjær's approach. They yield additional $ {\ensuremath{r_\nu}}$ summands within the brackets due to the formulation of the microscopic relaxation time in a power-law ansatz, which refer to the dependence of the Seebeck coefficients on different dominant scattering mechanisms, which are expressed explicitly in this case. Thus, the Seebeck coefficients within Stratton's framework for electrons and holes are modeled as

$\displaystyle \ensuremath{\ensuremath{\alpha}_{\ensuremath{n}}}= -\frac{k_\ensu...
...nsuremath{r_n}- \ln \frac{\ensuremath{n}}{\ensuremath{N_\mathrm{c}}} \right)\,,$     (3.182)
$\displaystyle \ensuremath{\ensuremath{\alpha}_{\ensuremath{p}}}= \frac{k_\ensur...
...nsuremath{r_p}- \ln \frac{\ensuremath{p}}{\ensuremath{N_\mathrm{v}}} \right)\,.$     (3.183)

Figure 3.6: Doping dependent Fermi energy with respect to temperature.
\includegraphics[width=10cm]{figures/transport/fermilevel/fermi.eps}

The modeled Seebeck coefficients incorporate several physical mechanisms causing an additional driving force to carriers by a temperature gradient. In order to clarify the situation, the expressions for the Seebeck coefficients in n- and p-type semiconductors (3.180) and (3.181) are rewritten in terms of the energy levels in the semiconductor. Therefore, the carrier concentrations are expressed by Maxwell statistics

$\displaystyle \ensuremath{n}= \ensuremath{N_\mathrm{c}}\exp \left( \frac{\ensur...
...}}_{\ensuremath{\mathrm{c}}}}}{k_\ensuremath{\mathrm{B}}\ensuremath{T}} \right)$     (3.184)
$\displaystyle \ensuremath{p}= \ensuremath{N_\mathrm{v}}\exp \left( \frac{\ensur...
...}}_{\ensuremath{\mathrm{f}}}}}{k_\ensuremath{\mathrm{B}}\ensuremath{T}} \right)$     (3.185)

is inserted and yields
$\displaystyle \ensuremath{\ensuremath{\alpha}_{\ensuremath{n}}}= -\frac{k_\ensu...
...}}_{\ensuremath{\mathrm{c}}}}}{k_\ensuremath{\mathrm{B}}\ensuremath{T}} \right)$     (3.186)
$\displaystyle \ensuremath{\ensuremath{\alpha}_{\ensuremath{p}}}= \frac{k_\ensur...
...{\ensuremath{\mathrm{f}}}}}{k_\ensuremath{\mathrm{B}}\ensuremath{T}} \right)\,.$     (3.187)

Several temperature dependencies within (3.186) and (3.187) are analyzed in the sequel. First, the temperature dependence of the Fermi level itself causes a gradient along a thermoelectric device and thus a driving force to the carriers. Furthermore, in semiconductors the temperature dependent band-gap enters into the position of the band edges and thus also contributes to the driving force. Within Stratton's formulation, the scattering parameter $ r$ is influenced by the dominance of the single scattering mechanisms. Due to the temperature dependence of single carrier scattering mechanisms, $ r$ changes as well and thus has an influence on the Seebeck coefficients.

Fig. 3.6 illustrates the temperature dependent energy relations for doped silicon. The band-gap $ \ensuremath{\ensuremath{\mathcal{E}}_{\ensuremath{\mathrm{c}}}}-\ensuremath{\ensuremath{\mathcal{E}}_{\ensuremath{\mathrm{v}}}}$ decreases with increasing temperature. Furthermore, the intrinsic Fermi level for undoped samples moves towards the conduction or valence band edge for n-doped and p-doped samples, respectively. With increasing temperatures, the Fermi level for doped samples converges against the intrinsic level of undoped samples again.

Both the models incorporated in Bløtekjær's as well as Stratton's equations have been derived assuming Maxwell-Boltzmann statistics. However, in order to account for high doping concentrations, Fermi-Dirac statistics have to be considered. Furthermore, the phonon system has been assumed to be in equilibrium, which act as scattering centers for carriers. However, this is not the case in thermoelectric devices, where strong temperature gradients cause a phonon movement throughout the structure. Due to this phonon net movement driven by a temperature gradient from the hot to the cold end, the carriers gain additional momentum. This term caused by the net movement of the phonons is referred to as the phonon-drag effect [97,98,99,100] and can be modeled as additional driving force for the carriers within the expressions for the Seebeck-coefficients [101,102,103]. Since Boltzmann's equation does not incorporate a net movement of the phonon gas itself, but relies on thermal equilibrium, this effect is not incorporated in the derivation carried out in the last sections. A theoretical approach including the phonon-drag effect as well can be found in [104]. In silicon, the phonon-drag plays a role in the temperature range between $ 10\,\ensuremath{\mathrm{K}}$ and $ 500\,\ensuremath{\mathrm{K}}$ [102].

In order to account for the deviation between Maxwell-Boltzmann and Fermi-Dirac statistics in the degenerate case as well as for the phonon-drag effect, the correction terms $ \ensuremath{\ensuremath{\zeta}_{\ensuremath{n}}}$ and $ \ensuremath{\ensuremath{\zeta}_{\ensuremath{p}}}$ are introduced, which are generally both dependent on the temperature as well as the dopant concentration. Therefore, the models for the Seebeck coefficients of electrons and holes are expressed as

$\displaystyle \ensuremath{\ensuremath{\alpha}_{\ensuremath{n}}}= -\frac{k_\ensu...
...ath{N_\mathrm{c}}} + \ensuremath{\ensuremath{\zeta}_{\ensuremath{n}}}\right)\,,$     (3.188)
$\displaystyle \ensuremath{\ensuremath{\alpha}_{\ensuremath{p}}}= \frac{k_\ensur...
...ath{N_\mathrm{v}}} + \ensuremath{\ensuremath{\zeta}_{\ensuremath{p}}}\right)\,.$     (3.189)

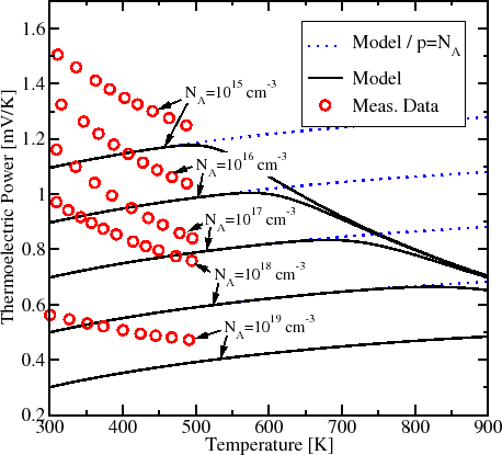
Figure 3.7: Seebeck coefficients for differently doped p-type silicon samples. Solid lines depict the theoretical models, whereby the decrease for elevated temperatures results from the increased hole concentration in the intrinsic range.
\includegraphics[width=10cm]{figures/transport/seebeck/see_ptype.eps}

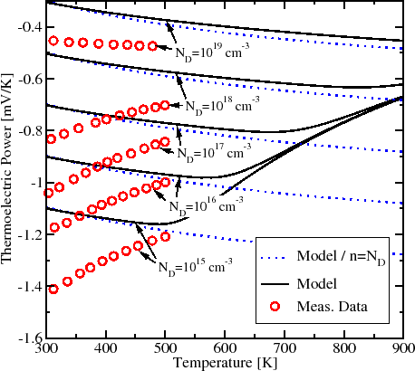
Figure 3.8: Seebeck coefficients for differently doped n-type silicon samples.
\includegraphics[width=10cm]{figures/transport/seebeck/see_ntype.eps}

The Seebeck coefficients for p-type and n-type silicon are analyzed in Figures 3.7 and 3.8. Solid lines depict analytical model data based on (3.180) and (3.181), which have been obtained by a post processing step after self-consistent simulations of a thermoelectric device. Thus, the carrier concentrations increase at certain temperatures from the doping concentrations to the intrinsic values. Constant carrier concentrations at the doping level are illustrated by dotted lines and are the asymptotes in the lower temperature regime. Measurement data has been taken from [105], which is based on original data from [97]. However, there is some uncertainty in the temperature range between $ 350\,\ensuremath{\mathrm{K}}$ and $ 500\,\ensuremath{\mathrm{K}}$ , since in this range data has been obtained by extrapolation following a $ 1/\ensuremath{T}$ -law [106]. In contrast to the analytical expressions, measurement values also incorporate the phonon-drag contribution, which is not relevant in the higher temperature range.

M. Wagner: Simulation of Thermoelectric Devices