next up previous contents
Next: 2.6 On the Void Up: 2. Physics of Electromigration Previous: 2.4.2 Models of Stress


2.5 Void Nucleation

Initially, void nucleation was attributed to the accumulation of vacancies at sites of flux divergence caused by their drift due to electromigration. As the vacancy concentration at a particular site reached a certain critical magnitude, vacancy condensation would lead to the formation of a void [50,51,52,98,101,102,103,104]. However, an unrealistically high vacancy supersaturation would be necessary for spontaneous void formation by vacancy condensation [72,105]. Therefore, according to classical thermodynamics homogeneous void nucleation by a vacancy condensation mechanism cannot be supported under electromigration.

Meanwhile, several works investigated the impact of mechanical stress on void nucleation at various conditions [106,107,108,109]. The importance of mechanical stress build-up in an interconnect line under electromigration was recognized, so that the development of a critical stress became the major criterion for void formation [53,54,85,95,110]. Nevertheless, the stress threshold value is still an open issue, varying from work to work.

Gleixner et al. [89] carried out a thorough analysis of the nucleation rates at various locations within an interconnect line. For a copper dual-damascene interconnect, the free energy change upon creation of an embryo of volume $ V_e$ is given, in general, by

$\displaystyle \Delta F = -\symHydStress V_e + \symSurfEnergy A_{Cu} + (\symCapEnergy - \symCuCapEnergy)A_i- \symGBEnergy A_{gb},$ (2.56)

where $ \Delta F$ is the Helmholtz free energy per unit volume of the embryo, $ \symHydStress$ is the stress, $ \symSurfEnergy$, $ \symCapEnergy$, $ \symCapEnergy$, and $ \symGBEnergy$ are the surface free energies of the metal, capping layer, Cu/capping layer interface, and grain boundary, respectively, and the $ A's$ are the areas of the surfaces created or destroyed upon formation of the embryo. The energy barrier for void nucleation, $ \Delta F^*$, is then given by the condition

$\displaystyle \Delta F^* = \Delta F\vert_{\partial(\Delta F)} = 0,$ (2.57)

which determines a critical embryo volume. For homogeneous nucleation the barrier is given by [89]

$\displaystyle \Delta F^* = \frac{16\pi\symSurfEnergy^3}{3\symHydStress^2}.$ (2.58)

According to Backer-Döring nucleation theory a nucleation event takes place when a vacancy sticks to a critical embryo. In this way, the nucleation can be expressed as [111]

$\displaystyle I = R n_s Z,$ (2.59)

where $ R$ is the sticking rate of vacancies, $ n_s$ is the number of vacancies in the matrix at the surface of a critical embryo, and $ \Z$ represents the number of critical embryos. The number of critical embryos per unit volume is a function of the energy barrier, [111]

$\displaystyle Z=\frac{1}{\symAtomVol\,n}\Bigl(\frac{\Delta F^{*}}{3\pi\kB\T}\Bigr)^{1/2}\exp\left(-\frac{\Delta F^{*}}{\kB\T}\right),$ (2.60)

where $ n$ is the number of vacancies in a critical embryo. The sticking rate of vacancies can be related to the exchange frequency of the diffusive process [89],

$\displaystyle R = \nu\exp\left(-\frac{U_d}{\kB\T}\right),$ (2.61)

where $ \nu$ is the frequency of vibration of the atoms, and $ U_d$ is the activation energy of the jump process. Combining (2.59), (2.60), and (2.61) yields

$\displaystyle I = \nu\exp\left(-\frac{U_d}{\kB\T}\right) \frac{1}{\symAtomVol\,...
... F^{*}}{3\pi\kB\T}\Bigr)^{1/2}\exp\left(-\frac{\Delta F^{*}}{\kB\T}\right) n_s.$ (2.62)

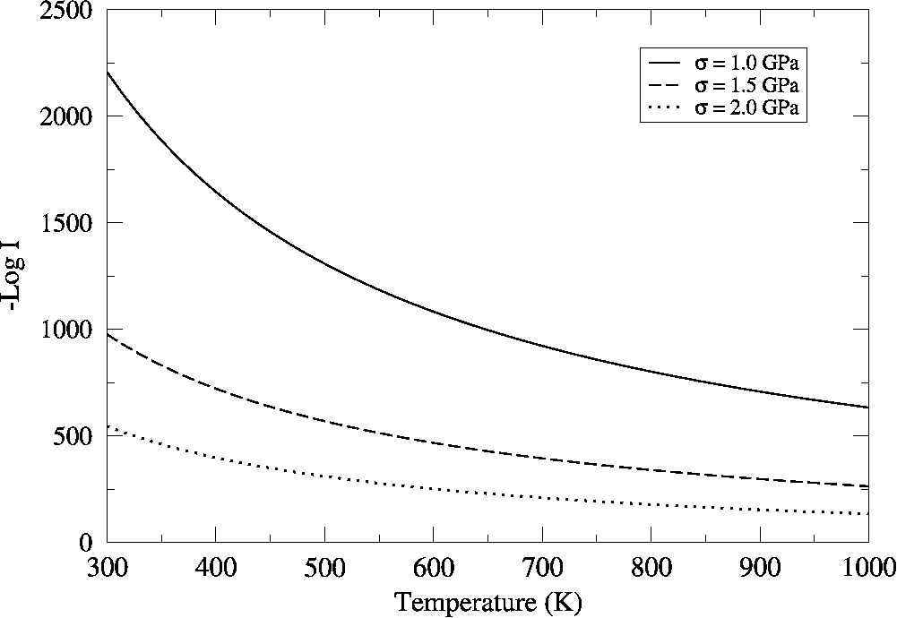
Figure 2.3 shows the rate of homogeneous nucleation as function of the temperature for different levels of stress. One can see that the nucleation rate is very small, and even a very high temperature and a high stress cannot significantly increase the nucleation rate. Gleixner et al. obtained small rates for nucleation at grain boundaries, at the metal/capping layer interface, and even at the metal/capping layer interface intersected by a grain boundary [89]. Therefore, none of these mechanisms can lead to void formation.

Figure 2.3: Homogeneous nucleation rate dependence on temperature and hydrostatic stress. The nucleation rate is small, even at high temperatures and stresses.
\includegraphics[angle=-90, width=0.85\linewidth]{chapter_physics_EM/Figures/nucleation_rate_crop.eps}

The small rate for nucleation at the metal/capping layer interface intersected by a grain boundary is particularly interesting, since voids are frequently observed to nucleate at such locations [10]. This apparent discrepancy was solved by Flinn [88], who suggested that a void could form at a pre-existing free surface. Free surfaces can result from contamination during the line fabrication process, which hinders the bounding of the surrounding layer to the metal surface. In this way, assuming a circular flaw of radius $ R_p$ the critical stress for void nucleation is given by [88]

$\displaystyle \symThresholdStress = \frac{2\symSurfEnergy}{R_p}.$ (2.63)

Clemens et al. [112] showed that the above equation is valid as long as the void grows in the contaminated region. However, it is possible that the void extends beyond the flaw area, as shown by Figure 2.4, once the equilibrium contact angle, $ \theta_c$, is reached. The equilibrium contact angle is determined by interfacial energy balance, and lies in the range $ 0<\theta_c<90^\circ$. In this case, the threshold stress is given by [89,112]

$\displaystyle \symThresholdStress = \frac{2\symSurfEnergy\sin\theta_c}{R_p},$ (2.64)

which may represent a small decrease in the nucleation energy barrier compared to (2.63).

Figure 2.4: Schematic void nucleation at an interface site of weak adhesion.
\includegraphics[width=0.80\linewidth]{chapter_physics_EM/Figures/void_nucleation.eps}

The critical stress is significantly reduced as the flaw area increases. For instance, for a flaw radius as small as 10 nm the critical stress is $ \symThresholdStress\approx 340$ MPa [110], which can be certainly reached by thermal stresses alone. Considering that the contaminated region can extend trough the whole line width, for a 100 nm wide line the critical stress becomes $ \symThresholdStress\approx 70$ MPa. Experimental works have reported values of critical stress for void nucleation of about the same order of magnitude [82,113]. Such a stress value is quite low and can be easily obtained in an interconnect line under electromigration.


next up previous contents
Next: 2.6 On the Void Up: 2. Physics of Electromigration Previous: 2.4.2 Models of Stress

R. L. de Orio: Electromigration Modeling and Simulation