Next: 3.3.2 Strain due to
Up: 3.3 Electromigration Induced Stress
Previous: 3.3 Electromigration Induced Stress
3.3.1 Strain due to Vacancy Migration
When an atom is exchanged for a vacancy, the neighboring atoms relax, leading to a total volume change given by
 |
(3.30) |
Given a test volume
, the relative volume change associated with a change in vacancy concentration
is [147]
 |
(3.31) |
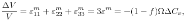
so that the volumetric strain has the form
 |
(3.32) |
where
refers to the migration strain.
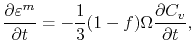
Taking the time derivative of the above equation one gets
 |
(3.33) |
and, since for the test volume the atom-vacancy exchange is governed by the continuity equation
 |
(3.34) |
the components of the migration strain rate is given by
![$\displaystyle \ensuremath{\ensuremath{\frac{\partial \symVacMigStrain}{\partial...
...mVacRelFactor)\symAtomVol\ensuremath{\nabla\cdot{\vec\JV}}\right]\symKronecker.$](img362.png) |
(3.35) |
Next: 3.3.2 Strain due to
Up: 3.3 Electromigration Induced Stress
Previous: 3.3 Electromigration Induced Stress
R. L. de Orio: Electromigration Modeling and Simulation