Next: 3.3.3 Total Electromigration Strain
Up: 3.3 Electromigration Induced Stress
Previous: 3.3.1 Strain due to
3.3.2 Strain due to Vacancy Generation/Annihilation
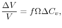
The generation or annihilation of vacancies is accompanied by a change in the concentration of lattice sites, so that
[139]. Thus, the relative volume change of a given test volume due to the addition or removal of lattice sites through a change in the local vacancy concentration
by means of generation/annihilation processes is [147]
 |
(3.36) |
where
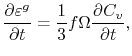
accounts for the vacancy volume. Following the same procedure as described above, the strain rate is given by
 |
(3.37) |
where
refers to the strain produced due to vacancy generation/annihilation processes.
Since the change in vacancy concentration is given by generation or annihilation processes
 |
(3.38) |
which leads to the generation/annihilation strain rate components
![$\displaystyle \ensuremath{\ensuremath{\frac{\partial \symVacGenStrain}{\partial t}}} = \left[\frac{1}{3}\symVacRelFactor\symAtomVol\G\right]\symKronecker.$](img369.png) |
(3.39) |
Next: 3.3.3 Total Electromigration Strain
Up: 3.3 Electromigration Induced Stress
Previous: 3.3.1 Strain due to
R. L. de Orio: Electromigration Modeling and Simulation