Next: 4. Numerical Implementation
Up: 3. A General TCAD
Previous: 3.5 Mechanical Deformation
3.6 Model Summary
The developed electromigration model consists of several submodels.
The electrical and temperature distribution in the interconnect is determined by the system of equations
 |
(3.71) |
 |
(3.72) |
with temperature dependent conductivities
 |
(3.73) |
The vacancy flux is given by
 |
(3.74) |
which takes into account all driving forces for vacancy transport.
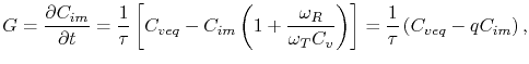
The vacancy dynamics is then described by the equations
 |
(3.75) |
![$\displaystyle \G = \ensuremath{\ensuremath{\frac{\partial \Cim}{\partial t}}}= ...
...R}{\symOmT\CV}\right)\right] = \frac{1}{\symVacRelTime}\left(\Ceq-q\Cim\right),$](img424.png) |
(3.76) |
where the latter is calculated at grain boundaries and interfaces only.
The trace of the total electromigration strain is calculated by
![$\displaystyle \ensuremath{\ensuremath{\frac{\partial \symStrain^{v}}{\partial t...
...\symVacRelFactor)\ensuremath{\nabla\cdot{\vec\JV}} + \symVacRelFactor\G\right],$](img425.png) |
(3.77) |
which together with (3.75) and (3.76) can be conveniently expressed as
 |
(3.78) |
The resultant line deformation and mechanical stress is determined by the set of equations
 |
(3.79) |
 |
(3.80) |
 |
(3.81) |
where
 |
(3.82) |
The solution of these equations allows a complete cycle of simulation of electromigration in general three-dimensional interconnet structures.
Next: 4. Numerical Implementation
Up: 3. A General TCAD
Previous: 3.5 Mechanical Deformation
R. L. de Orio: Electromigration Modeling and Simulation