Next: 4.1.2 Assembly
Up: 4.1 The Finite Element
Previous: 4.1 The Finite Element
4.1.1 Galerkin's Method
Multiplying (4.1) by a function
, which is called test or trial function, and integrating over the simulation domain gives the variational formulation
![$\displaystyle \int_{\symDomain} v(\vec r) L[u(\vec r)] d\symDomain = \int_{\symDomain} v(\vec r) f(\vec r) d\symDomain.$](img435.png) |
(4.2) |
Using the notation
 |
(4.3) |
(4.2) can be written as
![$\displaystyle \left(L[u], v\right) = \left(f, v\right).$](img437.png) |
(4.4) |
In order to obtain the corresponding discrete problem, the simulation domain, , is divided in a set of
elements,
, which do not overlap, i.e.
. The mesh obtained by such a domain discretization is represented by
 |
(4.5) |
Further, one defines a set
of grid points, also called nodes, with each point
being described by a unique global index
, where
is the total number of grid points in the mesh.
The approximate solution,
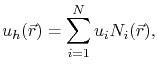
, for the unknown function,
, is given by [152]
 |
(4.6) |
where
are the so-called basis (or shape) functions. The approximate solution of (4.4) is determined by the coefficients
, which represent the value of the unknown function at the node
.
At the node
, where the point is given by the coordinates
, the basis functions must satisfy the condition
 |
(4.7) |
Typically, the basis functions are chosen to be low order polynomials.
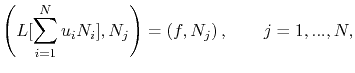
Substituting (4.6) in (4.4), and choosing
one obtains
![$\displaystyle \left(L[\sum_{i=1}^{N} u_iN_i], N_j\right) = \left(f, N_j\right), \qquad j=1,...,N,$](img452.png) |
(4.8) |
and since
is a linear operator and the coefficients
are constants one can write
![$\displaystyle \sum_{i=1}^{N}u_i\left(L[N_i], N_j\right) = \left(f, N_j\right), \qquad j=1,...,N.$](img453.png) |
(4.9) |
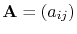
Equation (4.9) is, in fact, a linear system of
equations with
unknowns,
. Thus, it can be written in matrix notation as
 |
(4.10) |
where
is called stiffness matrix, given by the elements
![$\displaystyle a_{ij} = \left(L[N_i], N_j\right) = \int_{\symDomain} L[N_i(\vec r)] N_j(\vec r) d\symDomain,\qquad i,j=1,...,N,$](img457.png) |
(4.11) |
is the vector of unknown coefficients, and
is the load vector, given by
 |
(4.12) |
Next: 4.1.2 Assembly
Up: 4.1 The Finite Element
Previous: 4.1 The Finite Element
R. L. de Orio: Electromigration Modeling and Simulation