Dissertation Christian Poschalko
Previous:
7.1.1 Derivation of the cavity model with the
Up:
7.1 Analytical cavity model for a rectangular enclosure
Next:
7.1.3 Interpretation of the analytical model
7.1.2
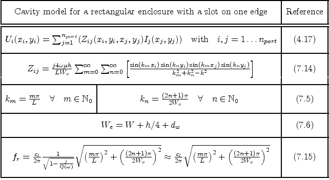
Summary of the analytical cavity model of the rectangular enclosure with a slot on one edge
 
Previous:
7.1.1 Derivation of the cavity model with the
Up:
7.1 Analytical cavity model for a rectangular enclosure
Next:
7.1.3 Interpretation of the analytical model
C. Poschalko: The Simulation of Emission from Printed Circuit Boards under a Metallic Cover