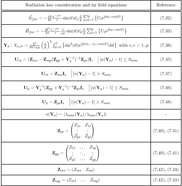
7.2.4 Summary of the equations for the introduction of the radiation loss into the cavity model and the far field calculation

\includegraphics[width=8cm,viewport=90 560 365 750,clip]{pics/Encl_Measurement.eps}

The condition number of matrix $ \textbf {Y}_{a}$ is $ \kappa(\textbf{Y}_{a})$ and $ \lambda_{max}(\textbf{Y}_{a})$ and $ \lambda_{min}(\textbf{Y}_{a})$ are the maximum and minimum eigenvalues, respectively. $ S_{min}$ denotes a threshold value which determines whether or not matrix $ \textbf {Y}_{a}$ is nearly singular. An extension of the equations to include more ports is performed by simply adding additional rows and columns to the matrixes.

C. Poschalko: The Simulation of Emission from Printed Circuit Boards under a Metallic Cover