1.4.5 Bravaix Model

The model of Bravaix inherits the main features of both the Hess and the Rauch/LaRosa approaches: the interplay between single- and multiple-carrier mechanisms as well as the idea that the damage is defined by the carrier DF, which is implemented using Rauch/LaRosa's "fashion", that is, calculations of the DF are substituted by operation/stress condition-related empirical factors.

To describe the MP-process the authors use the formalism of Hess where the Si-H bond is considered as a truncated harmonic oscillator. Following Hess they employ a system of rate equations to describe the kinetics of the oscillator [32,30]

(1.11)

where [H*] is the concentration of the mobile hydrogen and ni is the occupancy of the the ith oscillator level. In the last equation corresponding to the last bonded level (labeled as Nl, see Figure 1.2) the terms representing the passivation (i.e. from the transport to the last bonded state) and transition from the Nl to Nl-1 state are omitted. The hydrogen released to the transport state is characterized by the rate with Eemi the height of the barrier separating bonded and transport states (see Figure 1.2) and νemi the attempt frequency. Similar to [32], the phonon excitation/decay rates are written in a slightly modified form compared to (1.3)

(1.12)

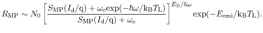
with Id being the source-drain current. Employing the energy-driven paradigm the hot carrier acceleration factor - the first term in (1.12) - substituted by the empirical factor SMP

(1.13)

The solution of the system (1.11) for the case of weak bond-breakage rate (λemit ≪1) leads to a square root time dependence of Nit [30]

(1.14)

In addition it was assumed that the bond is predominately situated in the ground state, i.e. . The MP-related interface state generation rate is

(1.15)

An important question is the choice of quantities (such as EB, Eemi, ℏω) defining the energetics of the Si-H bond. In fact, the two main vibrational modes of the Si-H bond are the stretching and bending mode [145] with the main parameters summarized in Table 1.1 [30].

Table 1.1:The parameters of the stretching and bending vibrational modes of the Si-H bond [30].
ParametersStretchingBending
EB, eV2.51.5
ℏω, eV0.250.075
we, ps-11/2951/10

However, as was previously shown, the experimental data is better fitted by the bending mode and therefore the values corresponding to this mode are employed. The formalism elaborated by Hess and co-authors and refined by Bravaix et al. with reasonably chosen simulation parameters allows for a perfect representation of the bond dissociation rate by the MP-mechanism (see [31] and the graph therein (Figure 1.10)).

Figure 1.10: Experimental bond dissociation rate for the multiple-particle process vs. the theoretical one. The information about stress conditions is shown on the canvas. The data are borrowed from [31].

Furthermore, the SP- and MP-mechanisms for defect creation are considered within Rauch's energy-driven paradigm, meaning that they are related to the regimes distinguished by Rauch et al. [17,28]. The regime with low drain current and high carrier energies corresponds to the "hot-carrier" regime where the SP-mechanism plays the dominant role [31]. In this case the "lucky electron" model is valid and the device life-time is

(1.16)

where Is is the substrate current, W the device width and the factor m is the ratio between the powers in the impact ionization and interface state creation cross sections, i.e. .

Another limiting case corresponds to the high electron flux with low carrier energies. In this situation the MP-process dominates the bond dissociation and the device life-time is 1/RMP (1.15). According to the knee energy concept, , and we have

(1.17)
The intermediate case with moderate drain current and moderate Vds is governed by electron-electron scattering with the corresponding life-time [31]
(1.18)

This quadratic signature is due to impact ionization which generates electron-hole pairs which are still cold in terms of bond-breakage but being further accelerated by electron-electron scattering up to energies ensuring to trigger bond dissociation. Since under real device stress/operation conditions all modes are present, one writes the device life-time considering these competing mechanisms as

(1.19)

that is, different contributions are weighted with corresponding probabilities (KSP, KEES, KMP which are fitting parameters) and summed. Figure 1.11 shows a fit of the model to experimental life-times.

Figure 1.11: Comparison between the experimental device life-time and that calculated within the Bravaix framework (for devices fabricated in a 65nm node). The data are taken from [18].


I. Starkov: Comprehensive Physical Modeling of Hot-Carrier Induced Degradation