next up previous contents
Next: B. Mathematical Goodies Up: A. Principal Component Analysis Previous: A.2 PCA of a


A.3 Glyph Visualization

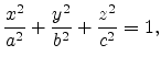
The scope of this section is restricted to symmetric second order tensor fields defined on a tetrahedral grid [52]:

$\displaystyle t:\Bbb{R}^3 \subset D \rightarrow Mat(3 \times 3,\Bbb{R}), \quad ...
...t_{21} & t_{22} & t_{23} \ t_{31} & t_{32} & t_{33} \end{pmatrix} := (t_{ij}).$ (A.16)

The idea is to reinterpret the covariance matrix depicted in Equation (A.15) as symmetric tensor of second order. Literature provides a wide spectrum of different implementations, for the visualization of tensor fields, for e.g. see [128] and [129]. Among the simplest are tensor glyphs, because the shape and orientation of glyph geometry indicates eigenvalues and eigenvectors in one diagram [130]. Glyphs are pointed on discrete locations compared to other visualization techniques, like texture-based methods such as Line Integral Convolution (LIC) [131]. Other methods, like hyper-streamlines, integrate tensor eigenvectors and thus represent particular continuous field features [132].

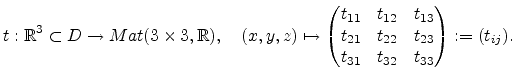
For the visualization of the anisotropic property of tetrahedra an ellipsoidal glyph is used, because glyphs can be placed on any discrete location. The general ellipsoid, also called triaxial ellipsoid, is a quadratic surface which is given in Cartesian coordinates by

$\displaystyle \frac{x^2}{a^2}+\frac{y^2}{b^2}+\frac{z^2}{c^2}=1,$ (A.17)

where the semi-axes are of lengths $ a$ , $ b$ , and $ c$ . The volume of an ellipsoid is given by

$\displaystyle V=\frac{4\pi abc}{3}.$ (A.18)

Back to the tetrahedron depicted in Figure A.1 the volume is given by

$\displaystyle V= \frac{1}{6} \begin{vmatrix}x_1 & y_1 & z_1 & 1\ x_2 & y_2 & z...
...x_3 & y_1 - y_3 & z_1 - z_3 \ x_1 - x_4 & y_1 - y_4 & z_1 - z_4 \end{vmatrix}.$ (A.19)

The reinterpretation of the ellipsoidal semiaxis $ a$ ,$ b$ , and $ c$ by the eigenvectors scaled by the corresponding eigenvalues yields the glyph visualization. Since glyphs are three-dimensional objects, they should not overlap and their spatial expansion should be judiciously scaled. For a good ratio between the glyph and the tetrahedron the scaling was chosen that both objects have the same volume with respect to Equation (A.18) and Equation (A.19). The center of the ellipsoid was placed in the center of gravity of the tetrahedron. Figure A.2 illustrates the principal component analysis based on the ellipsoidal glyph visualization procedure applied to two tetrahedra which are part of explanations in Section 2.3.

Figure A.2: A Principal Component Analysis (PCA) scheme was used to extract the ellipsoidal parameters for a glyph visualization of the anisotropic property of a tetrahedron.
\begin{figure*}\centering
\subfigure[Anisotropy.]
{\epsfig{figure=pics/PCA-Nee...
...psfig{figure=pics/PCA-Regular.eps2,height=0.25\textwidth} }% \\
\end{figure*}


next up previous contents
Next: B. Mathematical Goodies Up: A. Principal Component Analysis Previous: A.2 PCA of a

Wilfried Wessner: Mesh Refinement Techniques for TCAD Tools