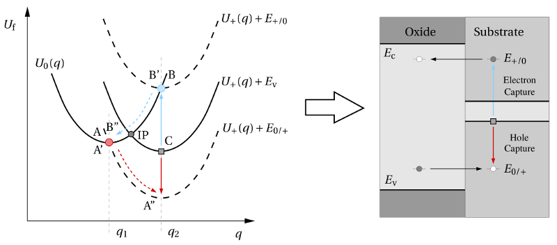
The Frank-Condon theory provides a theoretically profound description of
vibronic transitions and has a wide range of applications in quantum chemistry,
such as the calculation of the absorption and fluorescence spectra. In the
following, this theory will be employed for the case of charge trapping into
oxide defects and will lead to a shift of the defect levels. This level shift
can be best explained using a configuration coordinate diagram of a defect
(depicted in Fig. 2.3). The neutral defect is represented by the curve
,
which can, for instance, be identified with the formation energy
of the
defect1.
In equilibrium, the neutral defect takes on its minimum configuration
labeled
with A in Fig. 2.3. If the defect is charged positively, one electron has to be removed
from the defect and placed within the substrate valence band, for instance at
.
As a consequence, the electron energy
must be added to the defect energy
for a correct comparison with
. But one should consider that
vibronic transitions can occur with each conduction or valence band state
in the substrate, including the energies
and
. As mentioned
before, the transition rates for charge trapping can be calculated using the
Franck-Condon theory. The corresponding equation (2.21) depends most
strongly on the factor
, which is determined by the overlap of the nuclei
wavefunctions. This factor reaches the largest values for vibrational transitions,
whose energies lie close the intersection point (IP) of the adiabatic potentials. In the
classical limit, it is even peaked at the energy of this intersection point, at
which the vibronic transition is assumed to occur. During a hole capture
process, the neutral defect is initially in its equilibrium configuration
(state
in Fig. 2.3). There, the defect has an energy of
, which only
intersects with
when the emitted electron is placed at the energy
level
in the substrate valence band. It is emphasized here that the
defect is assumed not to overcome the barrier over the intersection point
IP (path C
IP
A in Fig. 2.3) in the concept of the level shift.
During the tunneling transition of the electron, the defect is not capable of
adopting the new configuration of the new charge state according to the
Franck-Condon principle. Afterwards, it is in the state
and relaxes to the
equilibrium configuration
(state
). During this process, the defect
dissipates the relaxation energy of
to the heat bath. In the
case of an electron capture process, the defect is initially in its equilibrium
configuration
labeled with B in Fig. 2.3. A vibronic transition is only allowed,
if a substrate electron is excited to the energy
(from state A” to
B) by the heat bath. Then the defect plus the electron have an energy of
(state
in Fig. 2.3), which coincides with the energy of
the neutral defect
. Analogously to the hole capture process, the
defect configuration
is preserved during the tunneling transition (state
). Afterwards the defect undergoes a structural relaxation to state
thereby dissipating an energy of
to the heat bath. The
aforementioned electron levels
and
are usually referred to as switching
levels and can be defined as the difference of adiabatic potential energies:

) and hole
(
) capture. This difference is ascribed to the fact that the defects have
different equilibrium configurations
and
for different charge states
of the defect. As a consequence, an ‘elastic’ vibronic transition can only
occur at different energies in the configuration coordinate diagram. This
requires that the exchanged electron has different energies
and
for electron and hole capture — a fact that has motivated the term ‘level
shift’. It is important to note at this point that the above considerations
are not restricted to defect transitions between positive and neutral charge
states and can in principle be extended to all possible combinations of charge
states.
and
represents the adiabatic
potentials of the positive and neutral defect system, respectively. In the former
case, the tunneling electron is moved to the substrate where it sits at the valence
band edge. When the electron has a different energy, for instance
or
, the corresponding adiabatic potential is shifted on the energy scale
and depicted by the dashed lines. The red and the blue filled circle indicates
the points, where the hole and electron trapping process can occur. These
points only represent the temporary states, which are realized right after the
tunneling process. The band diagram on the right-hand side includes the defect
levels extracted from the configuration coordinate diagram (left). The resulting
electron (
) and hole capture (
) level can be separated by several
electron Volts, where only one of these two levels can be active at a time.
Interestingly, the energy level
must always lie above
due to the
positive curvature of the adiabatic potentials.In conclusion, the conventional concept of fixed trap levels must be questioned if a defect has distinct equilibrium configurations for two charge states. Instead, the trap/defect levels depend on their charge state, which can have a considerable impact on the trapping dynamics. Although this concept has not been applied to charge trapping so far, it can give an explanation for trap-assisted tunneling through dielectrics [112, 113].