versus 
Based on the determination of
,
,
, and
, the change of
obtained from the measurement-stress-measurement (MSM) routine will now be
compared to the change of
obtained from the on-the-fly (OTF) method.
The results provide valuable information on the applicability of these two
measurement routines and furthermore give new insights into the yet not too well
known dynamics of the contributing defect states.


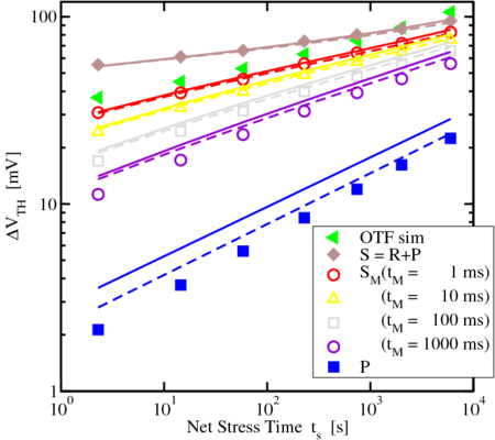
on top of a
permanent/slowly relaxing component
, their sum
, and the pure MSM
data evaluated with a delay of
are extracted from the left figure
as a function of the stress time. The overall degradation of
does
only qualitatively agree with the OTF1 data points.
By using the universality (cf. Section 4.1) [61, 30], the full degradation of an
MSM-stressed device is reconstructed in Fig. 4.11 and Fig. 4.12. Unfortunately,
the extrapolated initial values right after stress do not match the degradation
gained by the OTF1-method. To explain the differences, the numerical device
simulator MINIMOS-NT [89] is used. Applying the drift-diffusion transport
model after [90], Boltzmann statistics for the carrier concentrations [10],
Shockley–Read–Hall (SRH) interface state dynamics after [91], and mobility
variation due to interface state Coulomb scattering [92], a well defined number of
defects (
and
) is placed at the interface of a pMOS as used in [17]. The
simulated
is then post-processed the same way, as already done by the
MSM-setup and finally converted to
. By using definition (1.1) of
, a parametric relationship between
and
the resulting charge caused by defects is obtained [39]. The occupancy of the
interface states
determines the detectable charges following the relation
, where
results in a change of the subthreshold-slope.
This finally affects the calculated
, as already indicated in Fig. 2.7 and
Fig. 2.8.
Simulating the MSM-sequence, shown in Fig. 4.13, yields excellent agreement
when mobility changes during stress are neglected. However, many publications
have emphasized that mobility variations impact the accuracy of the
OTF-method [35, 41]. Simulations performed in [39] showed that an estimated
error of
in the effective mobility results in a spurious shift in
of about
4.
The error in
obtained after an MSM-simulation is roughly
for the
same device which denotes only a tenth of the simulated
-shift. Grasser et
al. confirmed these results as being due to the impact of the mobility
variation on the extracted threshold-voltage shift. Obviously this impact
depends on the applied gate voltage. By employing a numerically simulated
-characteristics including a
mobility degradation, they showed
that the impact of the mobility is largest in the linear OTF-regime and only weak
in the subthreshold MSM-regime [39]. Consequently, the determination of
should be carried out with
safely in the exponential regime of
to avoid additional mobility effects.

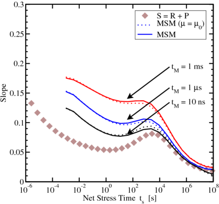
once including (solid) and once not including (dashed) mobility
variation confirms that the extraction only slightly depends on the mobility.
The maximum error of
is observed for
. The dotted lines
are taken from Fig. 4.11.
When now the measurement sequences depicted in Fig. 4.11 are re-simulated
with and without a mobility variation of
after
stress, as done in
[36], Fig. 4.13 is obtained. The extracted
perfectly fits to the expected
values given by
and
when mobility changes are neglected, while those
including mobility variation yield a constant shift of
with respect to the
real measurement. This is due to the fact that only interface states are
assumed to affect mobility. As these states are considered permanent, only
an upwards shift is obtained in the simulation. Moreover, the influence
of the MSM-measurement delay, which strongly affects the extracted
, is very well described by the simulation results as shown in
Fig. 4.14.

and
components (closed symbols) fit the measurement
data (open symbols). Solid lines are with
mobility degradation while
dashed lines are without. The faster the MSM-sequences are recorded, i.e.
the smaller
, the more
approaches
.
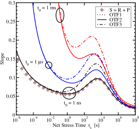
A much more complex behavior is observed for the extracted degradation
when using OTF methods, since OTF is seriously affected by the shift inherent in
the first data point [40]. The larger the delay, the larger the distortion of the
overall data gets, resulting in a problem similar to that caused by the
MSM time delay, both depicted in Fig. 4.15 and Fig. 4.16. While OTF1
and OTF3 are prone to mobility changes, only OTF2 is uninfluenced by
mobility changes. Only when furthermore presuming a
of at least
small for the latter OTF2, a match of simulation and measurement is
achieved.

is.

is able to reproduce the measurement data, while OTF1 and OTF3 are
contaminated by
, the mobility variation, and compact modeling errors
(
, etc.).