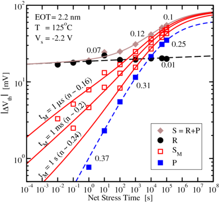
Based on the extracted model parameters of (4.5), a correlation between the
observed degradation and the measurement delay can be obtained. The actually
observable data marked with
in Fig. 4.9 is bound between
(the
extrapolated ‘true’ degradation) and
. The larger the delay time, the closer
and
get and vice versa.

and
, lines:
model). The measurement results (
) lie between
and
. Depending
on the measurement delay of the equipment (
) a broad range of ‘effective’
power-law slopes are observed (limiting values given next to the model lines).
When fitting the single stress sequences with varying
by a power-law,
different values of the slope are obtained which may be a reason why the
power-law exponents reported in NBTI literature vary that strongly. In
Fig. 4.10 the power-law slopes, defined as
, are
shown. As can be seen the extrapolation with a power-law does not seem
to be the best choice to represent the time behavior of NBTI due to
the interplay between
and
. Since the power-law extrapolation is
furthermore only approximately valid over a few decades in time, lifetime
prediction based on this approximate concept should be done with great
care.

and
, lines:
model). The effective power-law slope as a function of the measurement
delay, defined as
is only approximately valid over a
few decades in time within the standard measurement window. This is due
to the interaction between
(depending on the measurement delay) and
(indepenent of
).