Up to now it was only shown that the universality holds for various
pMOS/nMOS-NBTI/PBTI-combinations. As temperature and voltage
acceleration play an important role for lifetime projection, the study of the
universal relaxation is now extended towards these stress conditions. How the
two components
and
behave is therefore analyzed under different stress
temperatures
and stress voltages
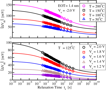
, cf. Fig. 4.7. In this graph only the last
long relaxation tail of the MSM-sequence is depicted. The different stress
conditions described by the relaxation model (4.5) yield excellent agreement with
the measurement results. The activation energies
are extracted for
and
, and the components of
and
. They are depicted in Fig. 4.8.
While
and
show an Arrhenius-like behavior with
respectively
for different stress times,
is constant.
on the other
hand depends on the stress time, which rules out Arrhenius-like behavior
[6, 30].

stress is
considered under various temperatures (Top) and voltages (Bottom), the
fit shows universal behavior.

,
,
, and
in our relaxation model (4.5). While
and
are Arrhenius,
is not (due to different values of
), and
is constant.