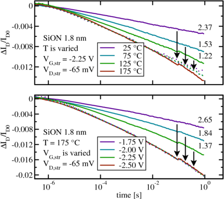
The temperature dependence of
is displayed in Fig. 6.11 (top)
for the thinnest device (
) with
. In the
range
to
, the data can be perfectly fit by a logarithmic
time dependence (differences would not even be visible in the plots). A
slight deviation is observed for higher temperatures for
,
possibly due to the onset of the mechanism responsible for the long-time
power-law behavior with a larger power-law exponent
. This
might be due to the dependence of two compound power-laws which are
discussed in literature [49]. Apart from that, different temperatures can
be scaled well to the data at
, as shown by the dotted
lines in Fig. 6.11 (top), and the indicated scaling factors marked by
arrows.

,
,
, and
) and
voltage dependence (
,
,
, and
) of
degradation. Scaling to the dotted lines works perfectly for
various stress voltages at equal temperatures, while different temperatures
lead to a small deviation for
. The scaling factors are also given.