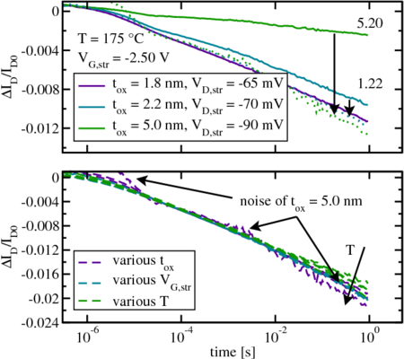
Due to the relatively low
degradation for
resulting
from the low-voltage stress conditions studied here (small
), noise
seriously limits the accuracy. Nonetheless, good scalability for different
devices (
,
, and
) can be obtained (Fig. 6.12
(top)).

for different oxide thicknesses (
,
,
and
) can be scaled as well. Only the thick device is affected by noise
due to the low degradation. The graph at the very bottom combines the
three dependencies.