The prefactor
of the log-fit for various
,
, and
is displayed in
Fig. 6.13. In agreement with previous experiments, it is observed that low
results in small temperature activation, while
larger than the
operating voltage of the MOSFET gives a notable activation energy of
.
Note that this value is in agreement with activation energies extracted at long
stress times [106]. Fitting the data to a power-law
results in an
exponent
for short-term stress, roughly a third of the often reported
of the long-term behavior. This is in very good accordance with the
standard
for NBTI stress and accounts for a strong
dependence,
excluding elastic hole tunneling.

of the log-fit, extracted
from three different
for different
. An activation energy
of
about
is obtained for
and
, represented
by the black solid line. Degradation for the
devices was too
noisy due to too low
. Scale is equal for all plots.
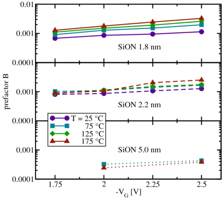
Figure 6.14 represents the prefactor
plotted for different
at different
temperatures. In the devices with
, all the stress voltages
are above the operating voltage and result in a marked temperature
activation. For
the transition from no temperature activation
to temperature activation is observed between
and
for
. For the thickest oxides used in this study,
, the applied stress fields are too small to lead to a meaningful
degradation2 .
Therefore no objective statement can be made on temperature activation
concerning the here presented devices with
.

of the log-fit plotted for different
with
different temperature
. While
shows a clear temperature
activation,
does not due to the low electric stress field. For
the transition of the temperature dependence is visible at
between
and
.
However, the experiments performed on devices with smaller oxide thicknesses support thermally activated tunneling mechanism [98] rather than elastic (and thus temperature-independent) hole tunneling [94].