next up previous contents
Next: 6.2.3 Diffusive Thermoelectric Figure of Merit Up: 6.2 Thermoelectric Figure of Merit Previous: 6.2.1 The Effects of Boundary Scattering   Contents

6.2.2 Electron versus Phonon Transports in Rough Nanowires

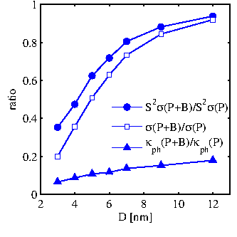
The reason why boundary scattering degrades the thermal conductivity more than the electrical conductivity is that the electronic system is not affected significantly by boundary scattering for larger nanowire diameters, i.e. $ D>10~\mathrm{nm}$ . In the absence of a confining electric field (e.g. flat potential in the nanowires' cross section), electron scattering by surface roughness depends mainly on the shift of the band edges due to confinement, which is only important for diameters $ D<10~\mathrm{nm}$ . On the other hand, from Eq. 5.2, the phonon-boundary scattering rate is inversely proportional to the nanowire diameter as $ D^{-1}$ , a trend that is initiated at very large diameters. At $ D=10~\mathrm{nm}$ the thermal conductivity is already strongly reduced. Although the surface-roughness scattering-limited electron mobility degrades strongly with a power factor of $ D^{-6}$ for $ D<10~\mathrm{nm}$  [146], the overall reduction of the electrical conductivity is less than the $ \kappa_{\mathrm{ph}}$ reduction even for diameters down to $ D=3~\mathrm{nm}$ .

Figure 6.4: Filled circle symbols: The ratio of the power factor with electron-phonon and electron-boundary scattering ( $ \sigma S^2\mathrm{(P+B)}$ ) included to the power factor with only electron-phonon scattering ( $ \sigma S^2\mathrm{(P)}$ ) included. An $ n$ -type $ \textless 100\textgreater$ silicon nanowires at room temperature is considered. Empty square symbols: The same ratio for the electrical conductivity. Filled triangle symbols: For the same nanowires, the ratio of the thermal conductivity with phonon-phonon plus phonon-boundary scattering ( $ \kappa_{ph} \mathrm{(P+B)}$ ) included to the thermal conductivity with phonon-phonon only scattering ( $ \kappa_{ph} \mathrm{(P)}$ ) included.
Image Ratio100

This stronger reduction of the thermal conductivity due to boundary scattering compared to the reduction of the electrical conductivity due to boundary scattering, is illustrated in Fig. 6.4. Here we show the ratio of the thermal conductivity for the $ \textless 100\textgreater$ nanowires including phonon-phonon and phonon-boundary scattering ( $ \kappa_{ph}(\mathrm{P+B})$ ), to the thermal conductivity including only phonon-phonon scattering ( $ \kappa_{ph}(\mathrm{P})$ ) (triangle symbols). We also show the same ratio for the electrical conductivity of the $ n$ -type nanowires, e.g. the ratio of the electrical conductivity including electron-phonon-plus-SRS, to the electrical conductivity including only electron-phonon scattering (empty-square symbols). The figure clearly demonstrates that although the degradation in the electrical conductivity due to SRS becomes stronger as the diameter is reduced, still, the detrimental effect of boundary scattering is larger on the thermal conductivity. Even at the relatively large nanowire diameters $ \sim 12~\mathrm{nm}$ , phonon-boundary scattering is very effective in reducing the thermal conductivity down to $ \sim 20\%$ of its phonon-phonon scattering-limited value. Additionally, the power factor, benefits from an increase in the Seebeck coefficient by diameter reduction and surface-roughness-scattering by $ \sim 70\%$  [147]. This improves the power factor, which partly compensates the reduction of the electrical conductivity as also shown in Fig. 6.4 (circle symbols).


next up previous contents
Next: 6.2.3 Diffusive Thermoelectric Figure of Merit Up: 6.2 Thermoelectric Figure of Merit Previous: 6.2.1 The Effects of Boundary Scattering   Contents
H. Karamitaheri: Thermal and Thermoelectric Properties of Nanostructures