5.2.3 Thermoelectric Powers

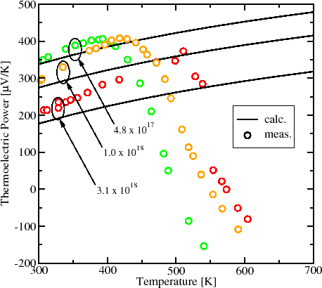
Figure 5.5: Temperature dependence of the thermoelectric power in n-PbTe for different dopings. The lines depict calculated values while the symbols show according measurement data from [228].
\includegraphics[width=10cm]{figures/materials/PbTe/tep_ntype.eps}

The thermoelectric powers, or Seebeck coefficients for electrons and holes depict the ratio between a temperature gradient and the resulting driving forces on the carriers as presented in Section 3.5.12. They show dependencies on both temperature and carrier concentration. A comparison between measurement data for n-type lead telluride [228] and the theoretical models of the Seebeck coefficient is illustrated in Fig. 5.5. Values for the effective densities of states $ \ensuremath{N_\mathrm{c}}$ and $ \ensuremath{N_\mathrm{v}}$ incorporated in the theoretical models are given in Section 5.3.2.

In contrast to silicon, additional gain on the thermoelectric power by phonon-drag is limited to very low temperatures. Thus, good agreement between theoretical and measured data is achieved. At high temperatures, the measured values drop to lower values due to the additionally available free holes in the intrinsic range, as indicated in Figures 5.5 and 5.6.

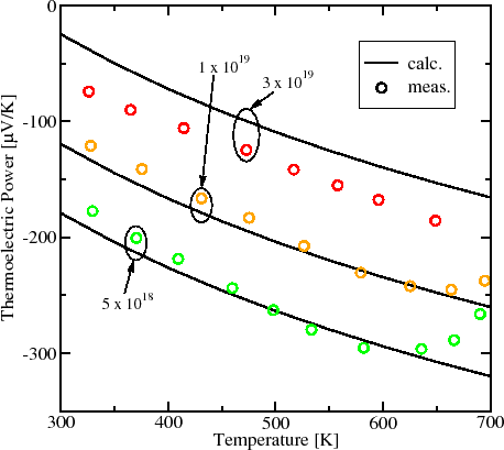
Figure 5.6: Temperature dependence of the thermoelectric power in p-PbTe for different dopings. The lines depict calculated values while the symbols show according measurement data from [229].
\includegraphics[width=10cm]{figures/materials/PbTe/tep_ptype.eps}

Measurement data illustrated by circles in Fig. 5.6 have been taken from [229]. Different concentrations of free carriers have been obtained by deviation from the stoichiometric equilibrium between Pb and Te. The good agreement between theoretical curves and measurement data in the low temperature range indicates that additional phonon-drag is absent in the indicated temperature range. For temperatures above $ 400\,\ensuremath{\mathrm{K}}$ , carriers start to populate the second valence band, thus the averaged effective mass of both valleys must be taken into account [230]. On the transition to the intrinsic range, precipitation of tellurium reduces the thermoelectric powers with increasing temperatures due to the shifted ratio of Pb and Te. With further increasing temperatures, the total thermoelectric powers even change their signs due to the additional contribution of electrons. A comparable behavior is reported for silicon in [97].

Considerably larger values for thermoelectric powers have been measured for sintered samples, where a strong dependence on the grain size has been reported [128,228]. Values for thermoelectric powers double if the grain size is reduced from $ 4\,\mu\ensuremath{\mathrm{m}}$ down to $ 0.7\,\mu\ensuremath{\mathrm{m}}$ . Further investigations of several alloys can be found in [218,231].

M. Wagner: Simulation of Thermoelectric Devices