6.2 Non-Ideal Devices and Thermal Environment

In real-world thermoelectric devices, several thermal and electrical losses outside the thermoelectrically active parts occur. Furthermore, heat source and sink are not ideally rigid as well, meaning that their temperature changes with their thermal load, which is the heat flux traversing the thermoelectric device. Beside the internal thermal resistances of several subparts, thermal contact resistances occur.

Figure 6.7: Temperature distribution for a non-ideal thermoelectric generator.
\includegraphics[width=10cm]{figures/svg/realdevice.eps}

The thermal relations can be described using an electrical analogon, where the temperature takes the same place as the electrical potential [296]. Furthermore, the heat flux corresponds to the electrical current and the thermal conductivity takes the place of the electrical conductivity. A thermal network is formulated similarly to an electric circuit, and consequently can be treated with the same toolkit as an electric circuit. The basic relation is the analogon to Ohm's law, connecting the temperature drop along a structure with its thermal resistance and the traversing heat flux.

The thermal relations within a thermoelectric generator as well as its environment are sketched in Fig. 6.7. A corresponding circuit using the electrical analogon is shown in Fig. 6.8.

A thermoelectric device is connected to a heat source and a heat sink throughout electrically insulating layers. The heat source's "contact" temperature available for the device is given in terms of its off-load temperature, the internal thermal resistance, and the load heat flux as

$\displaystyle \ensuremath{T_{\mathrm{H}}}= \ensuremath{T}_{\ensuremath{\mathrm{...
...ot}}}^\mathrm{q}} R_{\ensuremath{\mathrm{int,H}}}^{\ensuremath{\mathrm{th}}}\,.$ (6.3)

Subtracting the temperature drop throughout the electrical insulation at the heated end $ \Delta \ensuremath{T}_{\ensuremath{\mathrm{ins,H}}}$ from the heat source temperature $ \ensuremath{T_{\mathrm{H}}}$ , the temperature at the hot side thermal contact of the thermoelectric generator is obtained. The electric contact further slightly reduces the temperature to the one at the hotter end of the thermoelectrically active legs. It is considered that the temperature drops include both the ones caused by internal and thermal contact resistances.

Figure 6.8: Thermal equivalent network of a thermoelectric device accounting for non-ideal thermal environment.
\includegraphics[width=10cm]{figures/svg/therm_ersatz.eps}

The same considerations work for the cooled end of the assembly starting at the non-ideal heat sink. The lower temperature at the active legs is obtained by adding the temperature drops along the electrical insulation to the heat sink's temperature under thermal load conditions $ \ensuremath{T_{\mathrm{C}}}$ . The resulting temperature difference available for thermoelectric conversion is reduced from the idealized value of $ \ensuremath{T_{\mathrm{H}}}-\ensuremath{T_{\mathrm{C}}}$ to $ \ensuremath{T}_1-\ensuremath{T}_0$ .

Depending on the geometrical relations as well as the kind of insulation medium between the legs, a more or less pronounced parasitic heat flux parallel to the legs can occur. This heat flux contributes to the thermal load of heat source and sink, but not to the thermoelectric conversion process and thus has a detrimental effect on the conversion efficiency by reducing the temperature difference available for thermoelectric exploitation. However, the gaps between the legs are minimized in order to gain a best possible spatial utilization and normally, the thermal conductivity of the legs is by far larger than that of the gaps. Thus, this heat flux parallel to the legs can be neglected safely.

In the following example, all external thermal resistances as well as the non-ideal behavior of the heat source are treated as a lumped thermal resistance between the heat source and the heated end of the thermoelectric generator. Furthermore, the cooled end is assumed to be ideally connected to a heat sink held constantly at $ 300\,\ensuremath{\mathrm{K}}$ .

The assembly works as a temperature divider between the lumped external thermal resistance and the thermoelectrically active generator itself. Thus, at a certain heat flux, the temperature drop at the legs is reduced to

$\displaystyle \Delta \ensuremath{T}_\ensuremath{\mathrm{te}} = \left( \ensurema...
...\ensuremath{\mathrm{th,TEG}}}+ \ensuremath{R_\ensuremath{\mathrm{th,ext}}}} \,,$ (6.4)

where $ \ensuremath{R_\ensuremath{\mathrm{th,TEG}}}$ denotes the thermal resistance of the thermoelectric generator and $ \ensuremath{R_\ensuremath{\mathrm{th,ext}}}$ is the serial external thermal resistance.

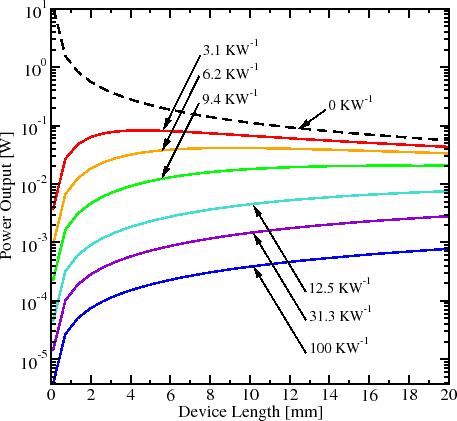
Figure 6.9: Electric power output with respect to the device leg length.
\includegraphics[width=10cm]{figures/simulation/power_length.eps}

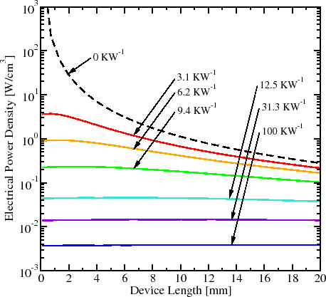
Fig. 6.9 illustrates the influence of the thermal relations to the power output of the thermoelectric generator. At a certain external thermal resistance, longer devices benefit from their increased thermal resistance and thus increased temperature drop. On the other hand side, higher thermal losses decrease the available thermal potential for the thermoelectrically active parts and thus reduce the power output. For relatively low external thermal resistances, the power output first increases with decreasing device length due to the elevated heat flux throughout the structure. However, below a certain length, the detrimental effect of the reduction of the device's temperature drop exceeds the increase of heat flux resulting in strongly decreasing power outputs. This behavior vanishes in the border case of ideal thermal conditions, as indicated by the dashed line. The behavior of the power density is shown in Fig. 6.10.

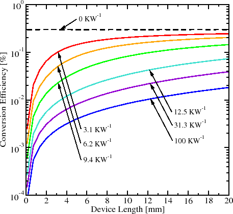
The according conversion efficiencies are presented in Fig. 6.11. For ideal thermal environment conditions, the conversion efficiency is constant over a wide region, since a change of the device length affects both the heat flux and the power output via the according internal resistances. For increasing external thermal resistances, the conversion efficiency reduces remarkably. In contrast to the power output, the initial increase with decreasing leg length can not be identified for the efficiency since the advantage at the electric power side is compensated by an increased heat flux, which also enters the efficiency.

In any case, a reduction of the external thermal resistance is beneficial for the device performance, as pointed out in Fig. 6.12. Especially for very short devices, the negative influence on power output at already relatively low thermal resistances is pronounced.

Figure 6.10: Electric power density with respect to the device leg length.
\includegraphics[width=10cm]{figures/simulation/powerdens_length.eps}

Figure 6.11: Conversion efficiency with respect to the device leg length.
\includegraphics[width=10cm]{figures/simulation/eff_length.eps}

Figure 6.12: Electric power output with respect to the external thermal resistance.
\includegraphics[width=10cm]{figures/simulation/power_rth.eps}

M. Wagner: Simulation of Thermoelectric Devices