6.3 Reduced Thermal Conductivity by Alloys

In the sequel, the influence of material alloys on thermoelectric device characteristics is discussed on the example of silicon-germanium. As demonstrated in Section 4.3, elevated phonon scattering rates in SiGe alloys lead to a remarkably reduced thermal conductivity compared to pure silicon. However, the electric properties are affected as well. The trade-off between the advantage of lowered thermal conductivity and the drawback of decreased mobility as well yields a more or less pronounced improvement of conversion efficiency.

Simulation studies have been carried out for a thermoelectric generator with a leg length of $ 20\,\ensuremath{\mathrm{mm}}$ and a cross section of $ 5\times1\,\ensuremath{\mathrm{mm}}^2$ . The dopings for both p- and n-type legs are held constant at $ 10^{19}\,\ensuremath{\mathrm{cm}}^{-3}$ . Furthermore, the temperature difference considered is $ 600\,\ensuremath{\mathrm{K}}$ above room temperature.

Both decreased Seebeck voltages as well as reduced mobilities with increasing germanium content over a wide range (compare Fig. 4.4) result in a drop of currents with increasing germanium contents. The according electric power output also takes its highest value at pure silicon, as indicated in Fig. 6.13. The lower mobilities result not only in a reduction of the absolute maximum of the power output, but also on a shift to higher resistances.

However, the impact of the material composition on the thermal conductivity and thus the heat flux traversing the device outweighs the influence on the electrical properties, as presented in Fig. 6.14. The heat flux reduces to a minimum at about $ 50\,\%$ Ge which is one magnitude lower than the one of pure silicon.

Figure 6.13: Current as well as electric power output with respect to the load resistance.
\includegraphics[width=10.5cm]{figures/simulation/sige_power_current.eps}

Figure 6.14: Thermal heat flux as well as conversion efficiency with respect to the load resistance.
\includegraphics[width=10.5cm]{figures/simulation/sige_eff_hf.eps}

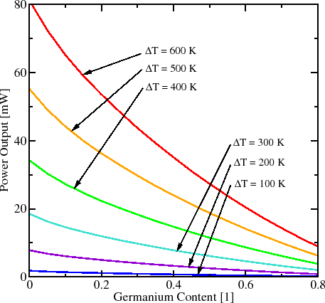
Figure 6.15: Electric power output with respect to the material composition in SiGe alloys for several temperatures.
\includegraphics[width=10cm]{figures/simulation/sige_power_comp.eps}

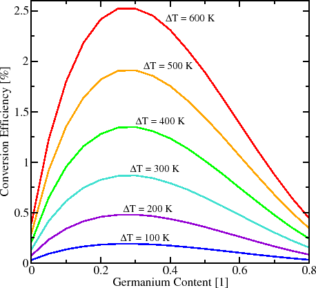
Figure 6.16: Conversion efficiency with respect to the material composition in SiGe alloys for several temperatures.
\includegraphics[width=10cm]{figures/simulation/sige_eff_comp.eps}

The resulting maximum of the conversion efficiency is predicted for about $ 30\,\%$ germanium content, where an optimum relation between thermal and electrical properties occurs. For higher germanium contents, the thermal conductivity still decreases slightly, but cannot outweigh the worse mobility and Seebeck voltages anymore. Fig. 6.15 outlines the dependence of the power output on the material composition at matched load conditions for different temperature differences. The according behavior of the conversion efficiency is presented in Fig. 6.16. While the power output steadily decreases with increasing germanium content, the conversion efficiency has its maximum at about $ 30\,\%$ germanium.

M. Wagner: Simulation of Thermoelectric Devices