6.4 Stacked Lead Telluride Thermoelectric Devices

Due to the temperature dependence of several material parameters, every material configuration has its maximum conversion efficiency in a specified temperature range. Thermoelectric generators built from one single block of homogeneous materials suffer from the spatial limitation of matched thermal conditions which follows from the temperature gradient throughout the device. A possibility to overcome this limitation is the introduction of stacked thermoelectric devices. There, the material parameters are locally adapted in order to match the required temperature range.

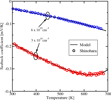
Figure 6.17: Temperature dependent Seebeck coefficients for a lead telluride n-type device.
\includegraphics[width=10cm]{figures/simulation/shinohara_seebeck.eps}

This concept is discussed for the example of an n-type lead telluride leg, as experimentally carried out in [297]. Two ingots of lead telluride with a quadratic cross section of $ 3.45\,\ensuremath{\mathrm{mm}}$ side length and lengths of $ 2.78\,\ensuremath{\mathrm{mm}}$ and $ 4.35\,\ensuremath{\mathrm{mm}}$ build the basis for the analysis. The ingots are doped with $ \ensuremath{\mathrm{PbI_2}}$ , where the shorter sample has an impurity concentration of $ 3\times10^{18}\,\ensuremath{\mathrm{cm}}^{-3}$ and the longer one $ 6\times10^{19}\,\ensuremath{\mathrm{cm}}^{-3}$ .

In order to ensure accurate simulation results, the parameter models have been calibrated to measurement data. While good agreement between resistivity data given in [297] and the mobility model presented in Section 5.4 is obtained, experimental data on the Seebeck coefficient has to be treated carefully, since the second conduction band gives a contribution to carrier transport for elevated energies. In the simulations, a two-band model has been applied, where the Seebeck coefficient has been calibrated to measurement data from [297] following equation (3.188). Fig. 6.17 demonstrates the calibration of the model to the measured Seebeck coefficients.

Figure 6.18: Temperature dependent power factor for a lead telluride n-type device.
\includegraphics[width=10cm]{figures/simulation/shinohara_powerfact.eps}

Furthermore, the power factor $ \ensuremath{\alpha}^2\ensuremath{\sigma}$ as the electric part of the thermoelectric figure of merit $ Z$ incorporates both the Seebeck coefficient as well as the electric conductivity and thus the carrier mobility. Besides the models for the Seebeck coefficients and the effective mass, Fig. 6.18 illustrates the conformance of the mobility model.

The basic principle behind stacked thermoelectric devices can be recognized in Fig. 6.18 as well. A lower Seebeck coefficient limits the power factor of the higher doped ingot in spite of its relatively high conductivity. For the lower doped ingot, the higher Seebeck coefficient dominates over the lower conductivity at lower temperatures. Thus, at lower temperatures, the lowly doped ingot outperforms the higher doped one, which is reversed at temperatures above about $ 550\,\ensuremath{\mathrm{K}}$ for the considered dopant concentrations of $ 3\times10^{18}\,\ensuremath{\mathrm{cm}}^{-3}$ and $ 6\times10^{19}\,\ensuremath{\mathrm{cm}}^{-3}$ , respectively.

Fig. 6.19 illustrates the maximum specific power output at matched load conditions of both the single higher doped ingot and the stacked combination of both ingots as illustrated in the inlay. Since the power output depends on the device length, the specific power outputs are used for comparison. The stacked module outperforms the single ingot over the entire temperature range, where the curve for the single ingot represents the total generated power.

The beneficial effect of stacking is further amplified by the relation of the thermal conductivities. In the higher doped ingot, the carrier contribution of the thermal conductivity plays a significant role, as also predicted in Fig. 5.3. As illustrated in Fig. 6.22, the temperature distribution shifts to elevated temperatures in the higher doped ingot and a steeper gradient in the lower doped one. Following Fig. 6.18, ideal power output is obtained with the interface between the two ingots at a temperature of about $ 550\,\ensuremath{\mathrm{K}}$ . This can been applied as a design rule for the length ratio of the two parts.

Figure 6.19: Electric power output with respect to temperature difference for a lead telluride n-type device.
\includegraphics[width=10cm]{figures/simulation/shinohara_output.eps}

The adaption of a stacked thermoelectric generator to given thermal boundary conditions within a desired range of temperatures is illustrated in Figures 6.20 and 6.21. In Fig. 6.20, the influence of the temperature at the heated end as well as the stack assembly on the electrical power output is analyzed. There, the temperature at the cooled end is kept constant at $ 300\,\ensuremath{\mathrm{K}}$ . For this analysis, the overall length of the entire stacked thermogenerator is $ 7.13\,\ensuremath{\mathrm{mm}}$ and the length ratio of the two differently doped ingots is varied. For decreasing temperatures at the heated end, the optimum length of the highly doped ingot located at the heated end decreases. This is obvious, since the highly doped sample outperforms the lowly doped one only at elevated temperatures, as shown in Fig. 6.18. Thus, the optimum length ratio maintains the crossover temperature of $ 550\,\ensuremath{\mathrm{K}}$ at the ingot interface. In Fig. 6.21, the interface temperature is plotted with respect to the temperature of the heated end and the ingot length ratio. The red line depicts the optimum interface temperature, whose parameters are congruent with these of the optimum power output.

While the maximum power output directly depends on the thermoelectric power factor, the conversion efficiency is additionally affected by the heat flux throughout the device.

Figure 6.20: Power output with respect to the temperature at the heated end and the ingot length ratio for a stacked lead telluride device.
\includegraphics[width=12cm]{figures/simulation/aufbau.eps}

Figure 6.21: Temperature at the ingot interface with respect to the heated end's temperature and the ingot length ratio for a stacked lead telluride device.
\includegraphics[width=12cm]{figures/simulation/midtemp.eps}

Figure 6.22: Spatial distribution of thermal conductivity as well as temperature within a stacked lead telluride device.
\includegraphics[width=10.7cm]{figures/simulation/temp_thc.eps}

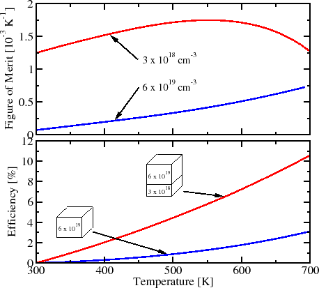
Figure 6.23: Temperature dependent thermoelectric figure of merit for the lowly and highly doped ingots as well as conversion efficiencies for the stacked device and the highly-doped ingot with respect to the heated end's temperature.
\includegraphics[width=10cm]{figures/simulation/fom_eff.eps}

The corresponding material parameter -- the thermoelectric figure of merit -- therefore incorporates the thermal conductivity. As indicated in Fig. 6.23, the figure of merit of the highly doped ingot is outperformed by the lower doped one throughout the entire temperature range due to the high electric contribution to the thermal conductivity. Thus, the effect of the heat flux on the efficiency is dominant and the efficiencies decrease with increasing length of the highly doped ingot.

Thermoelectric generators consisting of two differently doped legs benefit from the stacking concept as well. Besides the adaption of local doping, as presented for the example of the n-type lead telluride leg, the legs can consist of different materials in order to match the local thermal environment [32]. There, the materials are chosen from several classical thermoelectric materials, such as bismuth telluride, lead telluride, and SiGe, as well as novel materials such as clathrates [298,183,110].

M. Wagner: Simulation of Thermoelectric Devices