Next: 4.3.2 Assembly of the
Up: 4.3 Simulation in FEDOS
Previous: 4.3 Simulation in FEDOS
4.3.1 Newton's Method
The non-linear system of equations, which results from the discretization described in Section 4.2, is solved in FEDOS using the conventional Newton method [153,154].
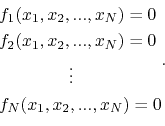
Generally, a non-linear system of
equations is expressed as
If a given solution
,
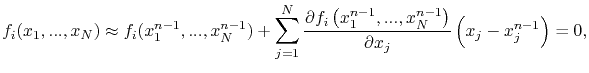
, is known, these equations can expanded in the vicinity of
using Taylor's series, which to the first order are approximated by
 |
(4.69) |
for
.
The system of equations (4.69) is written in matrix form as
 |
(4.70) |
where
is the so-called Jacobian matrix, for which the entries are given by
 |
(4.71) |
Thus, the solution of (4.70) is
 |
(4.72) |
In FEDOS, instead of using (4.72), the linear system of equations
 |
(4.73) |
is assembled and solved, so that the increments
are determined. Here,
is called residual.
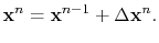
In this way, the new approximate solution
is updated according to
 |
(4.74) |
These calculations are performed as an iterative process, where the solution of the
iteration is used to compute the new solution.
The accuracy of the new approximate solution is controlled by the conditions
 |
(4.75) |
where
is a given tolerance for the solution error, and
 |
(4.76) |
where
is a given tolerance for the residual and
represents the Euclidean norm.
The iterative procedure is terminated, if both criteria are fulfilled.
Next: 4.3.2 Assembly of the
Up: 4.3 Simulation in FEDOS
Previous: 4.3 Simulation in FEDOS
R. L. de Orio: Electromigration Modeling and Simulation