Next: 4.3.4 Calculation of the
Up: 4.3 Simulation in FEDOS
Previous: 4.3.2 Assembly of the
4.3.3 Assembly of the Vacancy Dynamics Problem
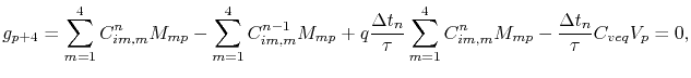
The vacancy dynamics problem requires the solution of
and
for
.
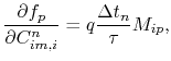
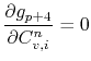
Applying Newton's method the Jacobian matrix has the form
 |
(4.89) |
where the entries are computed by
and
The corresponding residuals are given by
.
Next: 4.3.4 Calculation of the
Up: 4.3 Simulation in FEDOS
Previous: 4.3.2 Assembly of the
R. L. de Orio: Electromigration Modeling and Simulation