next up previous contents
Next: 7. Summary and Outlook Up: 6. Mesh Refinement for Previous: 6.4 k-Space Mesh Generation

Subsections



6.5 Examples

In the following three examples are presented which are carried out with the VMC(Vienna Monte Carlo) simulator developed at the Institute for Microelectronics. The very first version of VMC was written in Fortran for stationary electron transport in polar semiconductors, assuming analytical multi-valley band structures and bulk material [119] generalized to covalent cubic semiconductors and semiconductor alloys. Over the years this simulator has been extended to a full band, selfconsistent Monte Carlo device simulator.



6.5.1 Density of States Example


As described in the preamble of Section 6, any bounded volume of silicon will contain a finite number of states. These energy values can be derived from the number of energy levels in the isolated atoms. For the determination of the properties of a semiconductor such as silicon it is important to know the contributions from each occupied state and to sum them up. The number of states is normally very large and so it is more convenient to sum up over a range of states in $ \mathbf{k}$ -space. However, to do so, one needs to know the density of states (DoS) in $ \mathbf{k}$ -space. A good introduction into calculating the density of states is given in [114].

In the first example, the density of states for the conduction band of silicon with the typical parabolic and non-parabolic energy band approximations are compared to the results found by a full band Monte Carlo approach with unstructured meshes for the $ \mathbf{k}$ -space. First a short overview on the calculation of the density of states is given.

6.5.1.1 Density of States Calculations

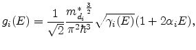
The density of states in the $ i$ -th band, is defined by the following formula [112,120]:

$\displaystyle g_i(E)=\frac{1}{(2\pi )^3} \underset{BZ}{\int} \delta (E-E_i(\mathbf{k})) \; d^3 k.$ (6.17)

For the analytical non parabolic band structure Equation (6.17) evaluates to:

$\displaystyle g_i(E)=\frac{1}{\sqrt{2}} \frac{ {m_{d_i}^\ast}^\frac{3}{2} }{\pi^2 \hbar^3} \sqrt{\gamma_i (E)} (1+2\alpha_i E),$ (6.18)

where $ m_{d_i}^\ast$ is the density of states effective mass for the $ i$ -th valley, and $ \gamma_i (E)$ denotes the band form function, cf. Equation (6.15):

$\displaystyle \gamma_i (E) = E(1+\alpha_i E).$ (6.19)

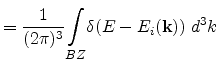
For the full band case the density of states for one energy band reads:

$\displaystyle g_i(E)$ $\displaystyle =\frac{1}{(2\pi )^3} \underset{BZ}{\int} \delta (E-E_i(\mathbf{k})) \; d^3 k$    
$\displaystyle \quad$ $\displaystyle = \frac{16}{(2\pi)^3 \hbar} \underset{A_i(E)}{\int} \frac{d^2 k}{\vert\mathbf{v}_i(\mathbf{k})\vert},$ (6.20)

where $ A_i(E)$ is the iso-surface for the given energy and band in the irreducible wedge. Due to the symmetry of the band structure it is sufficient to evaluate the integral only over the irreducible wedge and the factor $ 16$ accounts for all simular wedges in the Brillouin zone. Since the energy is linearly interpolated, the velocity is constant and the iso-surface of energy is plane within a tetrahedron. The contribution of the $ n$ -th tetrahedron to the density of states is

$\displaystyle g_{i,n}^{tet}(E)=\frac{1}{(2\pi)^3 \hbar} \frac{A_{i,n}^{tet}(E)}{\vert\mathbf{v}_{i,n}^{tet}\vert},$ (6.21)

where $ A_{i,n}^{tet}(E)$ is the area of the intersection of the iso-surface of energy and the $ n$ -th tetrahedron in the $ i$ -th energy band.

In this example a direct comparison between a full band calculation for the density of states and the analytical formula given in Equation (6.18) is carried out. For the density of states the effective mass for an ellipsoidal valley $ m_{d_i}^\ast$ is given by

$\displaystyle m_{d_i}^\ast = (m_\ell{} m_t^2 )^\frac{1}{3},$ (6.22)

where the free electron rest mass is given by $ m_0 = 9.109 3826(16) \cdot 10^{-31} 
\MR{kg}$ . The problem here is that different values for longitudinal $ m_\ell$ , the transversal effective mass $ m_t$ , and for $ \alpha$ of silicon can be found in the literature, e.g., [121,114,122]. In this work $ m_\ell /m_0 = 0.98$ and $ m_t /m_0 = 0.19$ was used for the following calculations. For the band form function in Equation (6.19) $ \alpha = 0.5  (\MR{eV})^{-1}$ was chosen.




6.5.1.2 Results




In Figure 6.10(a) the density of states of the first three conduction bands and the sum of them are plotted separately. It can be seen that the third conduction band comes into play only at energies higher than $ 3.5  \MR{eV} -
E_g$ . For transport calculations higher bands are of less importance and therefore are frequently not taken into account.



Figure 6.10(b) shows a comparison between the analytical parabolic and non-parabolic approximations as discussed in Section 6.3 and the density of states calculated by the full band approach. The parabolic model is valid only for energies smaller than $ 1.5  \MR{eV} - E_g$ . Beyond this value the parabolic model underestimates the density of states. The non-parabolic approximation model overestimates the density of states and gives a more or less feasible approximation for an energy up to $ 2.5  \MR{eV}-E_g$ . However, for higher energies or more accurate simulations the full band Monte Carlo method should be used.



Figure 6.10: In the left part of the figure the density of states for the first three conduction bands and the sum of them is plotted versus energy. Note that the energy axes have an offset according to the band gap energy of silicon $ E_g \approx 1.12  \MR{eV}$ . The right part shows a direct comparison between two analytical models and the more accurate full band approach.
\begin{figure*}\setcounter{subfigure}{0}
\center
\mbox{\subfigure[Density of sta...
...roach.]
{\epsfig{figure =pics/diff.eps,width=0.48\textwidth}}}
\end{figure*}


6.5.2 Average Kinetic Energy Example



Two different meshing approaches are used to calculate the average kinetic energy for different temperature values. For the structured approach the mesh density is constant over the whole octant of the first Brillouin zone, whereas for the unstructured approach the mesh density is finer in particular regions of interest and therefore the mesh density varies over the domain.



6.5.2.1 Mesh Properties



For the construction of the structured case a cubic grid based approach was used, as described in Section 6.4.1.Further different grid spacing is used to adjust the overall grid density. Figure 6.11 shows the used grid spacings. The coarser mesh features $ 40$ equally distributed cube ticks along the $ \langle 100
\rangle$ -axes, where every cube is divided into six tetrahedra as shown in the second row of Figure 6.6. For the finer mesh, shown in Figure 6.11(b) a grid spacing of $ 80$ ticks along the $ \langle 100
\rangle$ -axes was chosen. The same cubic grid representation was chosen for different conduction bands.



Figure 6.11: One quarter of the $ \{100\}$ -planes of the first octant of the silicon Brillouin zone. For the spatial discretization an cubic grid based tessellation scheme was used with constant grid spacing of $ 40$ (Figure 6.11(a)), and $ 80$ (Figure 6.11(b)) ticks along the coordinate axes were used. The coloration gives the energy values of the first conduction band of silicon. The wave vector is plotted in units of $ 2\pi /a_0$ and the energy in $ \MR{eV}$ with a band gap offset for silicon of $ 1.12   \MR{eV}$ .
\begin{figure*}\setcounter{subfigure}{0}
\centering\setlength{\subfigcapskip}{...
...{figure=pics/80_struct_iso_contour_2d.eps2,width=0.76\textwidth}}\end{figure*}

For the unstructured mesh of the first conduction band additional to the mesh depicted in Figure 6.9(a) a finer mesh was used to see the impact of the granularity of unstructured meshes. The second and third conduction band was discretized with the meshes shown in Figure 6.9(b) and Figure 6.9(c), respectively.



Table 6.1 gives an overview about the amount of points and tetrahedra used for the spatial discretization of the first octant of the Brillouin zone. The main distinction is focused on two meshing approaches, namely the cubic grid approach, named structured, and the pure unstructured mesh approach. Different overall mesh densities are used in both areas, in the structured and the unstructured case. Additional for the unstructured mesh representation of the first conduction band, a fine and a coarse mesh is used. For the second and third band only one mesh is used, see Figure 6.9(b) and Figure 6.9(c), respectively. In the structured case the same granularity is used for all bands.





Table 6.1: For the tessellation of the first octant of the first Brillouin zone different mesh approaches are compared. The main distinction is focused on the cubic grid approach, named structured, and the pure unstructured mesh approach.
group granularity points tetrahedra
  fine $ 278  166$ $ 1  536  134$
structured; 1st, 2nd, and 3rd conduction band coarse $ 37  286$ $ 192  618$
  fine $ 39  330$ $ 180  294$
unstructured, 1st conduction band coarse $ 20  346$ $ 88  938$
unstructured, 2nd conduction band - $ 22  674$ $ 104  893$
unstructured, 3rd conduction band - $ 20  514$ $ 99  018$



6.5.2.2 Theoretical Value

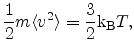
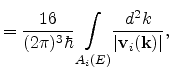
The particles of matter at ordinary temperatures can be considered to be in ceaseless, random motion. The average kinetic energy for these particles can be deduced from the classical Boltzmann distribution and gives for three-dimensional motion the theoretical formula [123]:

$\displaystyle \frac{1}{2} m \langle v^2 \rangle = \frac{3}{2} \mathrm{k_B}{}T,$ (6.23)

where $ \mathrm{k_B}$ denotes the Boltzmann constant ( $ \mathrm{k_B}{}=1.380 6505(24)\cdot
10^{-23}\MR{J/K}$ ), $ T$ the temperature, $ v$ the velocity of particles, and $ m$ the electron restmass.

6.5.2.3 Results

The electron gas in a semiconductor material deviates from Equation 6.23 as the parabolic band approximation does not hold. In the following a simulation has been carried out, where the zero field mean energy for electrons in undoped relaxed silicon with a full band structure for the first three conduction bands has been considered and compared with the theoretical value of the kinetic energy for parabolic bands given in (6.23).




Figure 6.12: Average kinetic energy calculations in units of $ \mathrm{k_B}{}T$ over the temperature. Structured and unstructured mesh strategies have been used as discretization scheme.
\includegraphics[width=0.6\textwidth,height=0.5\textwidth]{pics/emean3.eps}




Figure 6.12 shows that for temperatures below $ 300  \MR{K}$ the structured approach delivers results far above the theoretical value, so the structured coarse mesh is useless even for room temperatures. The unstructured approach converges for temperatures less than $ 100  \MR{K}$ against the theoretical value of $ 3 \mathrm{k_B}{}T/2$ . For temperatures above room temperature a difference of approximately $ 5\%$ can be observed which is due to the non-parabolic property of the bands. The comparison between the fine and the coarse unstructured meshes gives rise to the deduction that the influence of the mesh mostly depends on a good resolution of the low energy pockets of the first conduction band, which is obviously clear for low temperatures, because under such conditions all the electrons are found almost exclusively in the first conduction band.

6.5.3 Electron Velocity Example

In Section 6.5.2 an example was presented where almost all electrons are found exclusively in the low energy pockets of the first conduction band. In the following the electric field influence on the electron velocity is calculated. In this scenario electrons gain higher energy values, which causes a population of electrons in the whole Brillouin zone.

The particle motion within the Boltzmann transport equation picture consists of consecutive scattering events and accelerations by external forces [105,124]. In the following the electron velocity is calculated from a Monte Carlo simulation under the influence of an external electric field. For the $ \mathbf{k}$ -space discretization again different meshes are compared, for a detailed overview see Table 6.1 in Section 6.5.2.

Figure 6.13: Electron velocity versus field along $ [100]$ direction at $ 77K$ and $ 300K$ .
\includegraphics[width=0.64\textwidth,height=0.53\textwidth]{pics/highFieldComp3.eps}

6.5.3.1 Results

Figure 6.13 shows a comparison of simulation results for the velocity as a function of the field for both structured and unstructured tetrahedral meshes. As the curves for $ 300$ K and as well for $ 77$ K are grouped very closed together above $ 10 kV/cm$ , it can be concluded that all meshes are equally well suited. These results demonstrate that the unstructured meshes perform very well in the high energy regimes, despite they contain less mesh elements than the structured meshes.

In order to get an impression of computational costs with emphasis on the CPU time, in Table 6.2 an overview, with respect to different mesh approaches is given. The CPU time is divided into the mesh data structure build-up time, which is required only once at the beginning of the simulation and two typical field point calculations, one in the low field regime at $ 0.1 kV/cm$ and a second one at $ 200 kV/cm$ . For every field point calculated the total amount of scattering events was set to $ 5\cdot 10^6$ . For the calculations a commercially obtainable Intel\textregistered Pentium\textregistered 4 CPU with $ 2.4 GHz$ was used and the user processes CPU time was measured.




Table 6.2: CPU time consumption for electron velocity simulations on different meshes.
    data structure    
group granularity built-up time $ 200 kV/cm$ $ 0.1 kV/cm$
  fine $ 12'19''$ $ 18'55''$ $ 14'49''$
structured coarse $ 2'26''$ $ 4'51''$ $ 3'12''$
  fine $ 1'45''$ $ 4'57''$ $ 3'54''$
unstructured coarse $ 1'26''$ $ 4'11''$ $ 3'01''$




One can clearly see that the CPU time consumption is high for the structured meshes. The unstructured fine mesh demands approximately the same time as the coarse structured mesh, but one has to keep in mind, that the structured mesh fails completely for average kinetic energy at temperatures less than room temperature and the coarse unstructured mesh is still feasible.


next up previous contents
Next: 7. Summary and Outlook Up: 6. Mesh Refinement for Previous: 6.4 k-Space Mesh Generation

Wilfried Wessner: Mesh Refinement Techniques for TCAD Tools