next up previous contents
Next: 3.2 Stress Up: 3. Strain and Semiconductor Previous: 3. Strain and Semiconductor

3.1 Strain

First a basic set of expressions to describe strain in semiconductors is introduced [161,162,163]. The orthonormal vector set $ \vec{x},\,\vec{y},\, \mathrm{and}\,\vec{z}$ is the basis of the unstrained solid. $ \vec{x}',\,\vec{y}',\, \mathrm{and}\,\vec{z}'$ represent the distorted vectors under a uniform deformation,

\begin{displaymath}\begin{array}{ccc} \vec{x}'&=&(1+\epsilon_{xx})\,\vec{x}+\eps...
..._{zy}\,\vec{y}+(1+\epsilon_{zz})\,\vec{z},\nonumber \end{array}\end{displaymath} (3.1)

where $ \epsilon_{i j}$ are the deformation coefficients of the system.

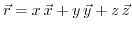
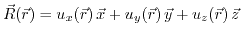
Assuming a uniform deformation, a point located at $ \vec{r}=x\,\vec{x}+y\,\vec{y}+z\,\vec{z}$ will be shifted to $ \vec{r}'=x\,\vec{x}'+y\,\vec{y}'+z\,\vec{z}'$, which leads to the displacement $ \vec{R}$ defined as

\begin{displaymath}\begin{array}{ccl} \vec{R}\equiv\vec{r}'-\vec{r}&=&x\,(\vec{x...
..._{zx}\,x+\epsilon_{zy}\,y+\epsilon_{zz}\,z)\vec{z}. \end{array}\end{displaymath} (3.2)

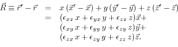
Further generalization leads to a description for non-uniform deformation, introducing a position dependent vector function $ \vec{u}(\vec{r})$,

$\displaystyle \vec{R}(\vec{r})= u_{x}(\vec{r})\,\vec{x}+ u_{y}(\vec{r})\,\vec{y}+u_{z}(\vec{r})\,\vec{z}$ (3.3)

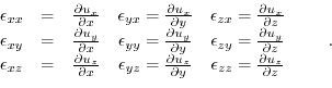
Restricting to small displacements from $ \vec{r}$, the displacement function $ \vec{u}(\vec{r})$ can be developed into a Taylor series and truncated after the linear term at $ \vec{R}\left(\vec{0}\right)=\vec{0}$, leading to a relation between the local displacement tensor and the displacement function,

\begin{displaymath}\begin{array}{ccccc} \epsilon_{xx}&=&\frac{\partial u_{x}}{\p...
...silon_{zz}=\frac{\partial u_{z}}{\partial z} \end{array}\qquad.\end{displaymath}    

Therefore, the displacement can be expressed as $ \varepsilon_{ij}=\frac{\partial u_{j}}{\partial r_{i}}$. Frequently, the displacements $ \varepsilon_{i j}$ are expressed via the strain tensor $ \epsilon_{i j}$ to describe the deformation of a body in three dimensions. In the limit of small deformations, the strain tensor is known as the Green tensor or Cauchy's infinitesimal strain tensor,

$\displaystyle \varepsilon_{ij}=\frac{\epsilon_{ij}+\epsilon_{ji}}{2}\quad.$ (3.4)

The relative length change in the $ \vec{x}_{i}$ direction is described by the diagonal coefficients $ \varepsilon_{ii}$, while the off-diagonal elements $ \varepsilon_{ij}\: (i\neq j)$ denote the angular distortions by shear strains.

Also very common are the engineering strains $ e_{ij}$, which are linked with the strain tensor as follows:

$\displaystyle \left(\begin{array}{ccc} e_{xx}&e_{xy}&e_{xz}\\ e_{yx}&e_{yy}&e_{...
...2\varepsilon_{zx}&2\varepsilon_{zy}&\varepsilon_{zz}\\ \end{array}\right)\quad.$ (3.5)

The Voigt notation uses the six indipendent components of the strain tensor in a more compact vector form

$\displaystyle \left(\varepsilon_{xx}, \varepsilon_{yy},\varepsilon_{zz},\gamma_...
...\gamma_{xy}\right)=\left(e_{1}, e_{2}, e_{3}, e_{4}, e_{5}, e_{6}\right) \quad.$ (3.6)


next up previous contents
Next: 3.2 Stress Up: 3. Strain and Semiconductor Previous: 3. Strain and Semiconductor

T. Windbacher: Engineering Gate Stacks for Field-Effect Transistors