Next: 3.5.2 The k.p Method
Up: 3.5 Strain and Bulk
Previous: 3.5 Strain and Bulk
Subsections
Bardeen and Shockley [165] originally developed the deformation potential theory. Herring and Vogt [166] generalized this theory. Bir and Pikus [161] studied various semiconductors via group theory and showed how to calculate strain effects on the band structure with deformation potentials. A short introduction into the deformation potential theory is given subsequently.
The deformation potential theory introduces an additional Hamiltonian
, that is attributed to strain and its effects on the band structure. This Hamiltonian is based on first order perturbation theory and its matrix elements are defined by
 |
(3.15) |
denotes the deformation potential operator which transforms under symmetry operations as second rank tensor [167] and
describes the
strain tensor component. The subscripts
in
denote the matrix element of the operator
. Due to the symmetry of the strain tensor with respect to
and
, also the deformation potential operator has to obey this symmetry
and thus limits the number of independent deformation potential operators to six.
In the case of cubic semiconductors the edges of the conduction band and the valence band are located on symmetry lines. These symmetries are reproduced in the energy band structure and in the basis states. Furthermore, the symmetry of the basis states allows to describe the deformation potential operator of a particular band via two or three deformation potential constants [166].
Although, theoretically the deformation potential constants can be calculated via the empirical pseudo potential method or by ab initio methods, it is more convenient to fit the deformation potentials to experimental results obtained by electrical, optical, microwave techniques, or by analyzing stress induced absorption edges. Even though, theoretical predictions and measurements match quite well, deformation potentials in literature and found by different methods deviate from each other [168].
Cubic crystalls exhibit a strain induced energy shift for the non-degenerate energy levels of the conduction band. Along the
symmetry line it is sufficient to describe the deformation potential operators
as scalars by one or two independent constants. The energy shifts of the conduction band edge of valleys along the
and
directions is determined by two independent deformation potential constants 3.1 [169]:
 |
(3.16) |
describes the uniaxial- and
the dilatation deformation potential constants for valleys of the type
.
denotes the unit vector parallel to the
vector of valley
. The
conduction band minimum valley shift can be determined from a single deformation potential constant
 |
(3.17) |
Via the two relations from above the valley splitting from uniaxial stress along arbitrary directions can be calculated.
Additionally to strain induced energy shifts of energy levels of the conduction band edges, there can also be a partially or complete lifting of degeneracy for degenerate bands, caused by the reduction of symmetry. Due to the special symmetry of the diamond structure (three glide reflection planes at
,
and
), the lowest two conduction bands
and
touch at the zone boundary
. Shear strain
due to stress along
reduces the symmetry of the diamond crystal structure and produces an orthorhombic crystal.
The glide reflection plane
is removed by the shear strain component and thus the degeneracy of the two lowest conduction bands
and
at the symmetry points
is lifted [161,170]. It should be mentioned that in biaxially strained
layers grown on
substrates and for uniaxially strained/stressed
along a fourfold rotation axis
the glide reflection symmetry is preserved.
Bir and Pikus found from k.p theory, that when the degeneracy at the zone boundary
is lifted, a relatively large change in the energy dispersion of the conduction band minimum located close to this
point arises [161]. This effect was experimentally proved for
by Hensel and Hasegawa [170], who measured the change in effective mass for stress along
, and by Laude [171], who showed the effect via the indirect exciton spectrum.
Therefore, in order to take the lifting of the degeneracy of the two lowest conduction bands
and
at the
points
into account, (3.16) has to be adapted [170]
 |
(3.18) |
where
denotes a new deformation potential,
 |
(3.19) |
The solutions of the eigenvalue problem look like:
 |
(3.20) |
which shows that at the
points
the band shifts by an amount of
(like before in (3.16)) plus an additional splitting of
, which lifts the degeneracy. (3.19) shows the proportional dependence on shear strain
for the splitting
![$\displaystyle \left(E_{\Delta_{1}}- E_{\Delta_{2'}}\right) \Big\vert _{X_{\left[001\right]}}=2 \delta E_{1} = 4 \Xi_{\mathrm{u}'} \varepsilon_{xy} \quad.$](img416.png) |
(3.21) |
A value of
eV has been predicted by Hensel for the shear deformation potential
[170]. Laude [171] confirmed this value by his measurement of
eV via the indirect exciton spectrum of
.
The splitting is already strongly pronounced for shear strain
. Due to the lifting of the degeneracy the
conduction band is deformed close to the symmetry points
(Fig. 3.2).
Figure 3.2:
Energy dispersion of the conduction bands
and
near the zone boundary
point along
. For
the conduction bands are degenerate at the zone boundary. Introduction of shear strain
lifts this degeneracy and opens up a gap. The energy separation
between the bands becomes larger with increasing strain
. At the same time the two minima of the lower conduction band
move closer to the zone boundary with rising strain
, until they merge at the zone boundary and stay there for further increasing strain.
![\includegraphics[width=1.1\textwidth]{figures/energydispersion.ps}](img422.png) |
i
A non-vanishing shear strain component
has the following effects on the energy dispersion of the lowest conduction band:
- The band edge energy of the valley pair along
direction shifts down with respect to the other four valleys along
and
.
- The effective mass of the valley pair along
changes with increasing
.
- The conduction band minima along
move to the zone boundary
points at
with increasing
.
Figure:3.3
Energy dispersion of the two lowest conduction bands at the zone boundaries
and
. The band separation of unstrained
at the conduction band edge
is denoted by
. Contrary to the conduction bands along
the conduction bands along
and
are not affected by shear strain
.
![\includegraphics[width=1.1\textwidth]{figures/energydispersion2.ps}](img425.png) |
For differing strains (
), the conduction band minima along the
axes are different in their energies, causing a repopulation between the six conduction band valleys. This kind of effect is not covered with (3.16), due to the negligence of possible degeneracy liftings by shear strain and by ignoring a possible repopulation of energy states.
The model presented shows no change in the conduction bands near the zone boundaries
and
for a shear component
(Fig. 3.3). However, shear components like
or
lift the degeneracy at
or
.
Applying a degenerate k.p theory at the zone boundary
point [161,170] enables an analytical description for the valley shift along the
direction. Shear strain
causes an energy shift between the conduction band valleys along
/
and the valleys along
.
This shift is described by
 |
(3.22) |
is a dimensionless parameter and
denotes the band separation between the lowest two conduction bands at the conduction band edge
 |
(3.23) |
denotes the position of the band edge in the unstrained lattice.
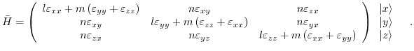
Caused by the degeneracy at the maximum of the valence bands the deformation potential is different than that of the conduction bands. The deformation potential operators
are no longer scalars and have to be expressed as
matrices. Using symmetries the six independent operators can be described via three independent entries, commonly named
or
, related to the applied set of eigenfunctions [172].
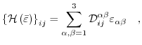
For the basis
,
,
, with
denoting the spin state, the perturbation Hamiltonian takes the following form:
 |
(3.24) |
denotes the
matrix
 |
(3.25) |
In the case of the valence band the description of the strain induced shifts of the heavy-hole, light-hole, and the split-off band are more complex[169].
Footnotes
- ... constants3.1
- neglecting strain induced splitting of the degenerate conduction bands
and
at the
point
Next: 3.5.2 The k.p Method
Up: 3.5 Strain and Bulk
Previous: 3.5 Strain and Bulk
T. Windbacher: Engineering Gate Stacks for Field-Effect Transistors