Next: B. Expressing the Equations
Up: Appendix
Previous: Appendix
A. Re-expressing X1 as a Function of X2
In the first step the Hamiltonian (4.1) and the energy dispersion (4.4) are transformed into dimensionless units with the expressions:
 |
(7.1)
|
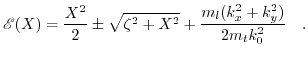
The energy dispersion then takes the following form:
 |
(7.2) |
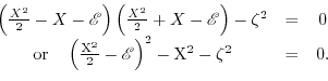
Setting the determinant of the dimensionless Hamiltonian to zero allows to express
as a function of energy
:
 |
(7.3) |
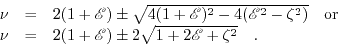
Re-expressing the fourth order equation (7.3) as a second order equation
by
 |
(7.4) |
we find the solution,
 |
(7.5) |
This formulation preserves all four solutions for
. Embracing two sets of
values in two separate equations leads to the following expressions:
 |
(7.6) |
Using the following identities:
 |
(7.7) |
leads to the desired expressions
and
.
 |
(7.8) |
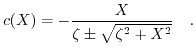
The transformation to dimensionless units of the corresponding expression for
is:
 |
(7.9) |
Next: B. Expressing the Equations
Up: Appendix
Previous: Appendix
T. Windbacher: Engineering Gate Stacks for Field-Effect Transistors